Номер 3.1, страница 218 - гдз по алгебре 10 класс учебник Арефьева, Пирютко

Алгебра, 10 класс Учебник, авторы: Арефьева Ирина Глебовна, Пирютко Ольга Николаевна, издательство Народная асвета, Минск, 2019, голубого цвета

Авторы: Арефьева И. Г., Пирютко О. Н.

Тип: Учебник

Издательство: Народная асвета

Год издания: 2019 - 2026

Цвет обложки: голубой с графиком

Допущено Министерством образования Республики Беларусь

Глава 3. Производная. Параграф 18. Определение производной функции - номер 3.1, страница 218.

№3.1 (с. 218)
Условие. №3.1 (с. 218)
скриншот условия
Алгебра, 10 класс Учебник, авторы: Арефьева Ирина Глебовна, Пирютко Ольга Николаевна, издательство Народная асвета, Минск, 2019, голубого цвета, страница 218, номер 3.1, Условие

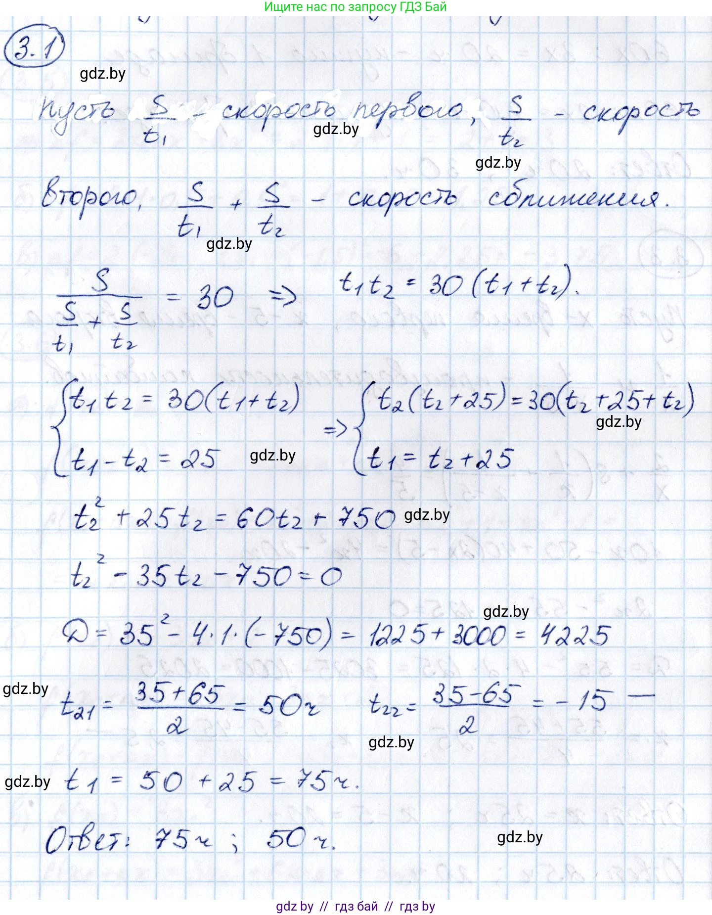
3.1. Из городов A и B навстречу друг другу одновременно вышли два поезда. Двигаясь без остановок с постоянной скоростью, они встретились через 30 ч после выхода. Сколько времени затратил на прохождение пути $AB$ каждый поезд, если известно, что первый прибыл в город B на 25 ч позже, чем второй прибыл в город A?

Решение. №3.1 (с. 218)
Алгебра, 10 класс Учебник, авторы: Арефьева Ирина Глебовна, Пирютко Ольга Николаевна, издательство Народная асвета, Минск, 2019, голубого цвета, страница 218, номер 3.1, Решение
Решение 2. №3.1 (с. 218)

Для решения задачи введем следующие обозначения:

  • $S$ - расстояние между городами A и B.
  • $v_1$ и $t_1$ - скорость и общее время в пути первого поезда (из A в B).
  • $v_2$ и $t_2$ - скорость и общее время в пути второго поезда (из B в A).
  • $t_{встр} = 30$ ч - время до встречи поездов.

Общее время в пути для каждого поезда выражается через расстояние и скорость:

$t_1 = \frac{S}{v_1}$

$t_2 = \frac{S}{v_2}$

Из условия задачи известно, что первый поезд прибыл в B на 25 часов позже, чем второй прибыл в A:

$t_1 = t_2 + 25$ (1)

Поезда движутся навстречу друг другу. До момента встречи они вместе проходят все расстояние $S$. Скорость их сближения равна $v_1 + v_2$. Таким образом, расстояние $S$ можно выразить через время до встречи:

$S = (v_1 + v_2) \cdot t_{встр} = (v_1 + v_2) \cdot 30$

Выразим скорости $v_1$ и $v_2$ через общее время в пути $t_1$ и $t_2$:

$v_1 = \frac{S}{t_1}$ и $v_2 = \frac{S}{t_2}$

Подставим эти выражения в формулу для расстояния:

$S = (\frac{S}{t_1} + \frac{S}{t_2}) \cdot 30$

Разделим обе части уравнения на $S$ (так как расстояние не равно нулю):

$1 = (\frac{1}{t_1} + \frac{1}{t_2}) \cdot 30$

Отсюда получаем второе уравнение:

$\frac{1}{t_1} + \frac{1}{t_2} = \frac{1}{30}$ (2)

Теперь у нас есть система из двух уравнений с двумя неизвестными $t_1$ и $t_2$:

$\begin{cases} t_1 = t_2 + 25 \\ \frac{1}{t_1} + \frac{1}{t_2} = \frac{1}{30} \end{cases}$

Подставим выражение для $t_1$ из первого уравнения во второе:

$\frac{1}{t_2 + 25} + \frac{1}{t_2} = \frac{1}{30}$

Приведем левую часть к общему знаменателю:

$\frac{t_2 + (t_2 + 25)}{t_2(t_2 + 25)} = \frac{1}{30}$

$\frac{2t_2 + 25}{t_2^2 + 25t_2} = \frac{1}{30}$

Используя свойство пропорции, получаем:

$30(2t_2 + 25) = t_2^2 + 25t_2$

$60t_2 + 750 = t_2^2 + 25t_2$

Перенесем все члены в одну сторону, чтобы получить квадратное уравнение:

$t_2^2 - 35t_2 - 750 = 0$

Решим это уравнение с помощью дискриминанта $D = b^2 - 4ac$:

$D = (-35)^2 - 4 \cdot 1 \cdot (-750) = 1225 + 3000 = 4225$

$\sqrt{D} = \sqrt{4225} = 65$

Найдем корни уравнения:

$t_{2,1} = \frac{-(-35) + 65}{2 \cdot 1} = \frac{35 + 65}{2} = \frac{100}{2} = 50$

$t_{2,2} = \frac{-(-35) - 65}{2 \cdot 1} = \frac{35 - 65}{2} = \frac{-30}{2} = -15$

Так как время не может быть отрицательным, единственным подходящим решением является $t_2 = 50$ часов.

Теперь найдем время в пути для первого поезда, используя уравнение (1):

$t_1 = t_2 + 25 = 50 + 25 = 75$ часов.

Итак, мы нашли время, которое затратил на прохождение пути АВ каждый поезд.

Время, затраченное первым поездом: Ответ: 75 часов.

Время, затраченное вторым поездом: Ответ: 50 часов.

Помогло решение? Оставьте отзыв в комментариях ниже.

Присоединяйтесь к Телеграм-группе @gdz_by_belarus

Присоединиться

Мы подготовили для вас ответ c подробным объяснением домашего задания по алгебре за 10 класс, для упражнения номер 3.1 расположенного на странице 218 к учебнику 2019 года издания для учащихся школ и гимназий.

Теперь на нашем сайте ГДЗ.ТОП вы всегда легко и бесплатно найдёте условие с правильным ответом на вопрос «Как решить ДЗ» и «Как сделать» задание по алгебре к упражнению №3.1 (с. 218), авторов: Арефьева (Ирина Глебовна), Пирютко (Ольга Николаевна), учебного пособия издательства Народная асвета.