Номер 3.6, страница 227 - гдз по алгебре 10 класс учебник Арефьева, Пирютко

Алгебра, 10 класс Учебник, авторы: Арефьева Ирина Глебовна, Пирютко Ольга Николаевна, издательство Народная асвета, Минск, 2019, голубого цвета

Авторы: Арефьева И. Г., Пирютко О. Н.

Тип: Учебник

Издательство: Народная асвета

Год издания: 2019 - 2026

Цвет обложки: голубой с графиком

Допущено Министерством образования Республики Беларусь

Популярные ГДЗ в 10 классе

Глава 3. Производная. Параграф 18. Определение производной функции - номер 3.6, страница 227.

№3.6 (с. 227)
Условие. №3.6 (с. 227)
скриншот условия
Алгебра, 10 класс Учебник, авторы: Арефьева Ирина Глебовна, Пирютко Ольга Николаевна, издательство Народная асвета, Минск, 2019, голубого цвета, страница 227, номер 3.6, Условие

3.6. Найдите с помощью алгоритма приращение функции при перехо- де от $x_0$ к $x_0 + \Delta x$, если:

a) $f(x) = x^2 + 1;$

б) $f(x) = -3x + 2;$

в) $f(x) = 3x^2;$

г) $f(x) = \frac{8}{x}.$

Решение. №3.6 (с. 227)
Алгебра, 10 класс Учебник, авторы: Арефьева Ирина Глебовна, Пирютко Ольга Николаевна, издательство Народная асвета, Минск, 2019, голубого цвета, страница 227, номер 3.6, Решение Алгебра, 10 класс Учебник, авторы: Арефьева Ирина Глебовна, Пирютко Ольга Николаевна, издательство Народная асвета, Минск, 2019, голубого цвета, страница 227, номер 3.6, Решение (продолжение 2)
Решение 2. №3.6 (с. 227)

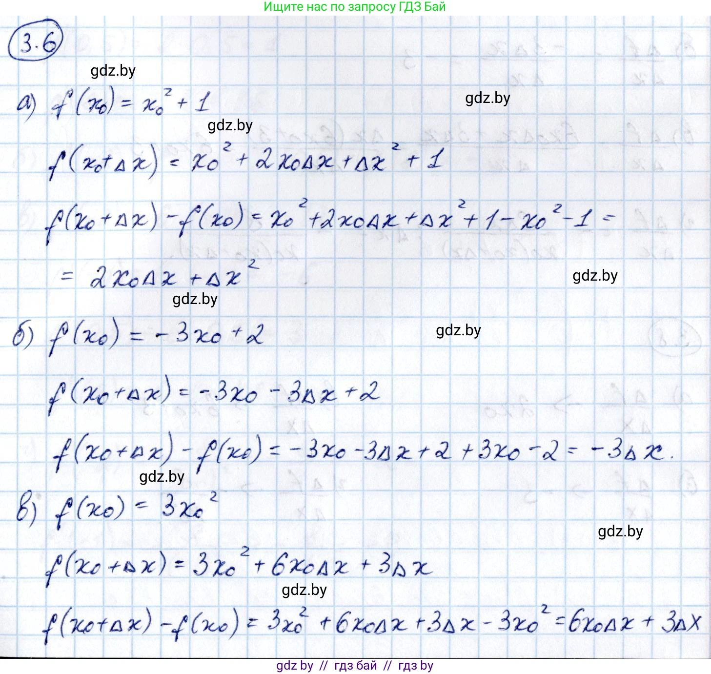
а) Для функции $f(x) = x^2 + 1$ найдем приращение $\Delta f$ по алгоритму. Приращение функции определяется формулой: $\Delta f = f(x_0 + \Delta x) - f(x_0)$.
1. Найдем значение функции в точке $x_0$:
$f(x_0) = x_0^2 + 1$
2. Найдем значение функции в точке $x_0 + \Delta x$:
$f(x_0 + \Delta x) = (x_0 + \Delta x)^2 + 1 = x_0^2 + 2x_0\Delta x + (\Delta x)^2 + 1$
3. Вычислим приращение функции, вычитая из второго значения первое:
$\Delta f = (x_0^2 + 2x_0\Delta x + (\Delta x)^2 + 1) - (x_0^2 + 1) = x_0^2 + 2x_0\Delta x + (\Delta x)^2 + 1 - x_0^2 - 1 = 2x_0\Delta x + (\Delta x)^2$
Ответ: $2x_0\Delta x + (\Delta x)^2$.

б) Для функции $f(x) = -3x + 2$ найдем приращение $\Delta f = f(x_0 + \Delta x) - f(x_0)$.
1. Значение функции в точке $x_0$:
$f(x_0) = -3x_0 + 2$
2. Значение функции в точке $x_0 + \Delta x$:
$f(x_0 + \Delta x) = -3(x_0 + \Delta x) + 2 = -3x_0 - 3\Delta x + 2$
3. Приращение функции:
$\Delta f = (-3x_0 - 3\Delta x + 2) - (-3x_0 + 2) = -3x_0 - 3\Delta x + 2 + 3x_0 - 2 = -3\Delta x$
Ответ: $-3\Delta x$.

в) Для функции $f(x) = 3x^2$ найдем приращение $\Delta f = f(x_0 + \Delta x) - f(x_0)$.
1. Значение функции в точке $x_0$:
$f(x_0) = 3x_0^2$
2. Значение функции в точке $x_0 + \Delta x$:
$f(x_0 + \Delta x) = 3(x_0 + \Delta x)^2 = 3(x_0^2 + 2x_0\Delta x + (\Delta x)^2) = 3x_0^2 + 6x_0\Delta x + 3(\Delta x)^2$
3. Приращение функции:
$\Delta f = (3x_0^2 + 6x_0\Delta x + 3(\Delta x)^2) - (3x_0^2) = 6x_0\Delta x + 3(\Delta x)^2$
Ответ: $6x_0\Delta x + 3(\Delta x)^2$.

г) Для функции $f(x) = \frac{8}{x}$ найдем приращение $\Delta f = f(x_0 + \Delta x) - f(x_0)$.
1. Значение функции в точке $x_0$:
$f(x_0) = \frac{8}{x_0}$
2. Значение функции в точке $x_0 + \Delta x$:
$f(x_0 + \Delta x) = \frac{8}{x_0 + \Delta x}$
3. Приращение функции (приводим дроби к общему знаменателю):
$\Delta f = \frac{8}{x_0 + \Delta x} - \frac{8}{x_0} = \frac{8x_0}{x_0(x_0 + \Delta x)} - \frac{8(x_0 + \Delta x)}{x_0(x_0 + \Delta x)} = \frac{8x_0 - 8(x_0 + \Delta x)}{x_0(x_0 + \Delta x)} = \frac{8x_0 - 8x_0 - 8\Delta x}{x_0(x_0 + \Delta x)} = \frac{-8\Delta x}{x_0(x_0 + \Delta x)}$
Ответ: $\frac{-8\Delta x}{x_0(x_0 + \Delta x)}$.

Помогло решение? Оставьте отзыв в комментариях ниже.

Присоединяйтесь к Телеграм-группе @gdz_by_belarus

Присоединиться

Мы подготовили для вас ответ c подробным объяснением домашего задания по алгебре за 10 класс, для упражнения номер 3.6 расположенного на странице 227 к учебнику 2019 года издания для учащихся школ и гимназий.

Теперь на нашем сайте ГДЗ.ТОП вы всегда легко и бесплатно найдёте условие с правильным ответом на вопрос «Как решить ДЗ» и «Как сделать» задание по алгебре к упражнению №3.6 (с. 227), авторов: Арефьева (Ирина Глебовна), Пирютко (Ольга Николаевна), учебного пособия издательства Народная асвета.