Номер 3.99, страница 254 - гдз по алгебре 10 класс учебник Арефьева, Пирютко

Алгебра, 10 класс Учебник, авторы: Арефьева Ирина Глебовна, Пирютко Ольга Николаевна, издательство Народная асвета, Минск, 2019, голубого цвета

Авторы: Арефьева И. Г., Пирютко О. Н.

Тип: Учебник

Издательство: Народная асвета

Год издания: 2019 - 2026

Цвет обложки: голубой с графиком

Допущено Министерством образования Республики Беларусь

Глава 3. Производная. Параграф 20. Геометрический смысл производной. Связь между знаком производной функции и ее возрастанием или убыванием - номер 3.99, страница 254.

№3.99 (с. 254)
Условие. №3.99 (с. 254)
скриншот условия
Алгебра, 10 класс Учебник, авторы: Арефьева Ирина Глебовна, Пирютко Ольга Николаевна, издательство Народная асвета, Минск, 2019, голубого цвета, страница 254, номер 3.99, Условие

3.99. Используйте алгоритм и найдите точки экстремума и экстремумы функции:

а) $f(x) = 8 - 6x - x^2$;

б) $f(x) = 4x^2 - x^4$;

в) $f(x) = x + \frac{9}{x}$;

г) $f(x) = \frac{x}{2} + \frac{2}{x}$.

Решение. №3.99 (с. 254)
Алгебра, 10 класс Учебник, авторы: Арефьева Ирина Глебовна, Пирютко Ольга Николаевна, издательство Народная асвета, Минск, 2019, голубого цвета, страница 254, номер 3.99, Решение Алгебра, 10 класс Учебник, авторы: Арефьева Ирина Глебовна, Пирютко Ольга Николаевна, издательство Народная асвета, Минск, 2019, голубого цвета, страница 254, номер 3.99, Решение (продолжение 2)
Решение 2. №3.99 (с. 254)

Для нахождения точек экстремума и экстремумов функции используется следующий алгоритм:

  1. Найти область определения функции.
  2. Найти производную функции $f'(x)$.
  3. Найти стационарные (где $f'(x)=0$) и критические (где $f'(x)$ не существует) точки.
  4. Определить знаки производной на интервалах, на которые область определения разбивается критическими точками.
  5. Определить точки минимума и максимума по смене знака производной.
  6. Вычислить значения функции в точках экстремума (экстремумы).

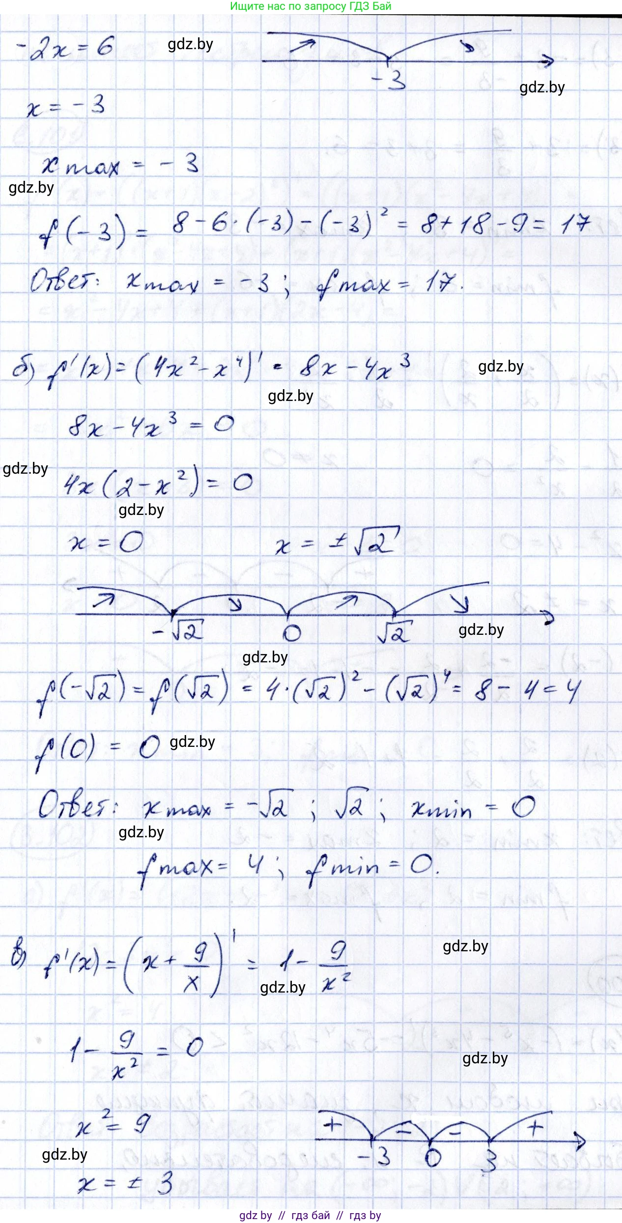
а) $f(x) = 8 - 6x - x^2$
1. Область определения функции: $D(f) = (-\infty; +\infty)$, так как функция является многочленом.
2. Производная функции: $f'(x) = (8 - 6x - x^2)' = -6 - 2x$.
3. Критические точки: Приравняем производную к нулю:
$f'(x) = 0 \implies -6 - 2x = 0 \implies 2x = -6 \implies x = -3$.
Это единственная критическая точка.
4. Анализ знака производной:
- На интервале $(-\infty; -3)$, например, в точке $x=-4$: $f'(-4) = -6 - 2(-4) = -6 + 8 = 2 > 0$. Функция возрастает.
- На интервале $(-3; +\infty)$, например, в точке $x=0$: $f'(0) = -6 - 2(0) = -6 < 0$. Функция убывает.
5. Точка экстремума: В точке $x = -3$ производная меняет знак с «+» на «−», следовательно, $x_{max} = -3$ является точкой максимума.
6. Экстремум функции:
$y_{max} = f(-3) = 8 - 6(-3) - (-3)^2 = 8 + 18 - 9 = 17$.
Ответ: точка максимума $x_{max} = -3$, максимум функции $y_{max} = 17$.

б) $f(x) = 4x^2 - x^4$
1. Область определения функции: $D(f) = (-\infty; +\infty)$.
2. Производная функции: $f'(x) = (4x^2 - x^4)' = 8x - 4x^3$.
3. Критические точки: $f'(x) = 0 \implies 8x - 4x^3 = 0 \implies 4x(2 - x^2) = 0$.
Отсюда получаем три критические точки: $x_1 = 0$, $x_2 = -\sqrt{2}$, $x_3 = \sqrt{2}$.
4. Анализ знака производной на интервалах $(-\infty; -\sqrt{2})$, $(-\sqrt{2}; 0)$, $(0; \sqrt{2})$, $(\sqrt{2}; +\infty)$:
- Интервал $(-\infty; -\sqrt{2})$: $f'(-2) = 8(-2) - 4(-2)^3 = -16 + 32 = 16 > 0$ (возрастает).
- Интервал $(-\sqrt{2}; 0)$: $f'(-1) = 8(-1) - 4(-1)^3 = -8 + 4 = -4 < 0$ (убывает).
- Интервал $(0; \sqrt{2})$: $f'(1) = 8(1) - 4(1)^3 = 8 - 4 = 4 > 0$ (возрастает).
- Интервал $(\sqrt{2}; +\infty)$: $f'(2) = 8(2) - 4(2)^3 = 16 - 32 = -16 < 0$ (убывает).
5. Точки экстремума:
- В точке $x = -\sqrt{2}$ знак меняется с «+» на «−», это точка максимума.
- В точке $x = 0$ знак меняется с «−» на «+», это точка минимума.
- В точке $x = \sqrt{2}$ знак меняется с «+» на «−», это точка максимума.
6. Экстремумы функции:
$y_{max} = f(-\sqrt{2}) = 4(-\sqrt{2})^2 - (-\sqrt{2})^4 = 4(2) - 4 = 4$.
$y_{min} = f(0) = 4(0)^2 - (0)^4 = 0$.
$y_{max} = f(\sqrt{2}) = 4(\sqrt{2})^2 - (\sqrt{2})^4 = 4(2) - 4 = 4$.
Ответ: точки максимума $x_{max} = \pm\sqrt{2}$, максимум функции $y_{max} = 4$; точка минимума $x_{min} = 0$, минимум функции $y_{min} = 0$.

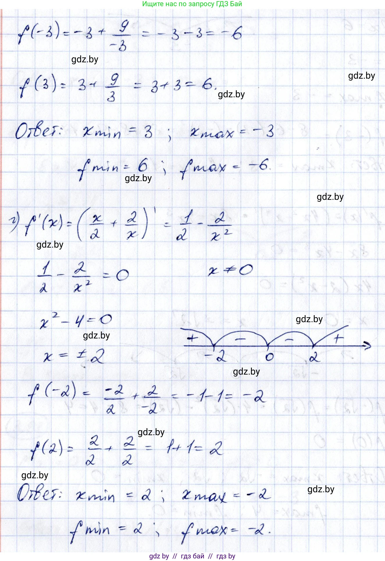
в) $f(x) = x + \frac{9}{x}$
1. Область определения функции: $x \neq 0$, то есть $D(f) = (-\infty; 0) \cup (0; +\infty)$.
2. Производная функции: $f'(x) = \left(x + \frac{9}{x}\right)' = 1 - \frac{9}{x^2}$.
3. Критические точки: $f'(x) = 0 \implies 1 - \frac{9}{x^2} = 0 \implies x^2 = 9 \implies x = \pm 3$.
Точка $x=0$, где производная не существует, не входит в область определения.
4. Анализ знака производной $f'(x) = \frac{x^2 - 9}{x^2}$. Знак зависит от числителя $x^2 - 9$.
- Интервал $(-\infty; -3)$: $f'(-4) = \frac{(-4)^2-9}{(-4)^2} > 0$ (возрастает).
- Интервал $(-3; 0)$: $f'(-1) = \frac{(-1)^2-9}{(-1)^2} < 0$ (убывает).
- Интервал $(0; 3)$: $f'(1) = \frac{1^2-9}{1^2} < 0$ (убывает).
- Интервал $(3; +\infty)$: $f'(4) = \frac{4^2-9}{4^2} > 0$ (возрастает).
5. Точки экстремума:
- В точке $x = -3$ знак меняется с «+» на «−», это точка максимума.
- В точке $x = 3$ знак меняется с «−» на «+», это точка минимума.
6. Экстремумы функции:
$y_{max} = f(-3) = -3 + \frac{9}{-3} = -3 - 3 = -6$.
$y_{min} = f(3) = 3 + \frac{9}{3} = 3 + 3 = 6$.
Ответ: точка максимума $x_{max} = -3$, максимум функции $y_{max} = -6$; точка минимума $x_{min} = 3$, минимум функции $y_{min} = 6$.

г) $f(x) = \frac{x}{2} + \frac{2}{x}$
1. Область определения функции: $x \neq 0$, то есть $D(f) = (-\infty; 0) \cup (0; +\infty)$.
2. Производная функции: $f'(x) = \left(\frac{x}{2} + \frac{2}{x}\right)' = \frac{1}{2} - \frac{2}{x^2}$.
3. Критические точки: $f'(x) = 0 \implies \frac{1}{2} - \frac{2}{x^2} = 0 \implies \frac{x^2-4}{2x^2}=0 \implies x^2 = 4 \implies x = \pm 2$.
4. Анализ знака производной $f'(x) = \frac{x^2 - 4}{2x^2}$. Знак зависит от числителя $x^2 - 4$.
- Интервал $(-\infty; -2)$: $f'(-3) = \frac{(-3)^2-4}{2(-3)^2} > 0$ (возрастает).
- Интервал $(-2; 0)$: $f'(-1) = \frac{(-1)^2-4}{2(-1)^2} < 0$ (убывает).
- Интервал $(0; 2)$: $f'(1) = \frac{1^2-4}{2(1)^2} < 0$ (убывает).
- Интервал $(2; +\infty)$: $f'(3) = \frac{3^2-4}{2(3)^2} > 0$ (возрастает).
5. Точки экстремума:
- В точке $x = -2$ знак меняется с «+» на «−», это точка максимума.
- В точке $x = 2$ знак меняется с «−» на «+», это точка минимума.
6. Экстремумы функции:
$y_{max} = f(-2) = \frac{-2}{2} + \frac{2}{-2} = -1 - 1 = -2$.
$y_{min} = f(2) = \frac{2}{2} + \frac{2}{2} = 1 + 1 = 2$.
Ответ: точка максимума $x_{max} = -2$, максимум функции $y_{max} = -2$; точка минимума $x_{min} = 2$, минимум функции $y_{min} = 2$.

Помогло решение? Оставьте отзыв в комментариях ниже.

Присоединяйтесь к Телеграм-группе @gdz_by_belarus

Присоединиться

Мы подготовили для вас ответ c подробным объяснением домашего задания по алгебре за 10 класс, для упражнения номер 3.99 расположенного на странице 254 к учебнику 2019 года издания для учащихся школ и гимназий.

Теперь на нашем сайте ГДЗ.ТОП вы всегда легко и бесплатно найдёте условие с правильным ответом на вопрос «Как решить ДЗ» и «Как сделать» задание по алгебре к упражнению №3.99 (с. 254), авторов: Арефьева (Ирина Глебовна), Пирютко (Ольга Николаевна), учебного пособия издательства Народная асвета.