Номер 3.92, страница 253 - гдз по алгебре 10 класс учебник Арефьева, Пирютко

Алгебра, 10 класс Учебник, авторы: Арефьева Ирина Глебовна, Пирютко Ольга Николаевна, издательство Народная асвета, Минск, 2019, голубого цвета

Авторы: Арефьева И. Г., Пирютко О. Н.

Тип: Учебник

Издательство: Народная асвета

Год издания: 2019 - 2026

Цвет обложки: голубой с графиком

Допущено Министерством образования Республики Беларусь

Популярные ГДЗ в 10 классе

Глава 3. Производная. Параграф 20. Геометрический смысл производной. Связь между знаком производной функции и ее возрастанием или убыванием - номер 3.92, страница 253.

№3.92 (с. 253)
Условие. №3.92 (с. 253)
скриншот условия
Алгебра, 10 класс Учебник, авторы: Арефьева Ирина Глебовна, Пирютко Ольга Николаевна, издательство Народная асвета, Минск, 2019, голубого цвета, страница 253, номер 3.92, Условие

3.92. Примените алгоритм и определите промежутки монотонности функции:

a) $f(x) = x^3 - x^2 - x - 7$;

б) $f(x) = 4x - x^4$;

в) $f(x) = 5 + 3x^2 - \frac{x^3}{3} - \frac{x^4}{4}$.

Решение. №3.92 (с. 253)
Алгебра, 10 класс Учебник, авторы: Арефьева Ирина Глебовна, Пирютко Ольга Николаевна, издательство Народная асвета, Минск, 2019, голубого цвета, страница 253, номер 3.92, Решение Алгебра, 10 класс Учебник, авторы: Арефьева Ирина Глебовна, Пирютко Ольга Николаевна, издательство Народная асвета, Минск, 2019, голубого цвета, страница 253, номер 3.92, Решение (продолжение 2)
Решение 2. №3.92 (с. 253)

Для определения промежутков монотонности функции (промежутков возрастания и убывания) применяется алгоритм, основанный на анализе знака первой производной функции.

  1. Найти область определения функции $D(f)$. Для всех представленных функций, являющихся многочленами, область определения — все действительные числа $D(f) = (-\infty; +\infty)$.
  2. Найти производную функции $f'(x)$.
  3. Найти критические точки. Это точки, в которых производная равна нулю ($f'(x)=0$) или не существует.
  4. Определить знаки производной. Критические точки разбивают числовую ось на интервалы. В каждом из этих интервалов знак производной постоянен. Чтобы определить этот знак, достаточно вычислить значение производной в любой одной точке интервала.
  5. Сделать вывод о монотонности. Если на интервале $f'(x) > 0$, то функция $f(x)$ на этом интервале возрастает. Если $f'(x) < 0$, то функция $f(x)$ убывает.

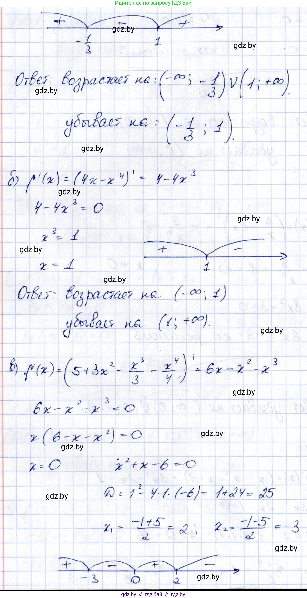
а) $f(x) = x^3 - x^2 - x - 7$

1. Находим производную функции:

$f'(x) = (x^3 - x^2 - x - 7)' = 3x^2 - 2x - 1$

2. Находим критические точки, приравнивая производную к нулю:

$3x^2 - 2x - 1 = 0$

Решаем квадратное уравнение. Дискриминант:

$D = (-2)^2 - 4 \cdot 3 \cdot (-1) = 4 + 12 = 16$

Корни уравнения:

$x_1 = \frac{2 - \sqrt{16}}{2 \cdot 3} = \frac{2 - 4}{6} = \frac{-2}{6} = -\frac{1}{3}$

$x_2 = \frac{2 + \sqrt{16}}{2 \cdot 3} = \frac{2 + 4}{6} = \frac{6}{6} = 1$

3. Критические точки $x = -\frac{1}{3}$ и $x=1$ делят числовую ось на три интервала: $(-\infty; -\frac{1}{3})$, $(-\frac{1}{3}; 1)$ и $(1; +\infty)$.

4. Определяем знак производной на каждом интервале:

  • Интервал $(-\infty; -\frac{1}{3})$: возьмем $x=-1$. $f'(-1) = 3(-1)^2 - 2(-1) - 1 = 3 + 2 - 1 = 4 > 0$. Функция возрастает.
  • Интервал $(-\frac{1}{3}; 1)$: возьмем $x=0$. $f'(0) = 3(0)^2 - 2(0) - 1 = -1 < 0$. Функция убывает.
  • Интервал $(1; +\infty)$: возьмем $x=2$. $f'(2) = 3(2)^2 - 2(2) - 1 = 12 - 4 - 1 = 7 > 0$. Функция возрастает.

Ответ: а) функция возрастает на промежутках $(-\infty; -\frac{1}{3}]$ и $[1; +\infty)$, убывает на промежутке $[-\frac{1}{3}; 1]$.


б) $f(x) = 4x - x^4$

1. Находим производную функции:

$f'(x) = (4x - x^4)' = 4 - 4x^3$

2. Находим критические точки:

$4 - 4x^3 = 0$

$4(1 - x^3) = 0$

$x^3 = 1$

$x = 1$

3. Критическая точка $x=1$ делит числовую ось на два интервала: $(-\infty; 1)$ и $(1; +\infty)$.

4. Определяем знак производной на каждом интервале:

  • Интервал $(-\infty; 1)$: возьмем $x=0$. $f'(0) = 4 - 4(0)^3 = 4 > 0$. Функция возрастает.
  • Интервал $(1; +\infty)$: возьмем $x=2$. $f'(2) = 4 - 4(2)^3 = 4 - 32 = -28 < 0$. Функция убывает.

Ответ: б) функция возрастает на промежутке $(-\infty; 1]$, убывает на промежутке $[1; +\infty)$.


в) $f(x) = 5 + 3x^2 - \frac{x^3}{3} - \frac{x^4}{4}$

1. Находим производную функции:

$f'(x) = (5 + 3x^2 - \frac{x^3}{3} - \frac{x^4}{4})' = 0 + 6x - \frac{3x^2}{3} - \frac{4x^3}{4} = -x^3 - x^2 + 6x$

2. Находим критические точки:

$-x^3 - x^2 + 6x = 0$

$-x(x^2 + x - 6) = 0$

Отсюда $x_1 = 0$. Решаем квадратное уравнение $x^2 + x - 6 = 0$.

По теореме Виета, корни $x_2 = 2$ и $x_3 = -3$.

Критические точки: $x = -3$, $x = 0$, $x = 2$.

3. Критические точки делят числовую ось на четыре интервала: $(-\infty; -3)$, $(-3; 0)$, $(0; 2)$ и $(2; +\infty)$.

4. Определяем знак производной $f'(x) = -x(x-2)(x+3)$ на каждом интервале:

  • Интервал $(-\infty; -3)$: возьмем $x=-4$. $f'(-4) = -(-4)((-4)-2)((-4)+3) = 4(-6)(-1) = 24 > 0$. Функция возрастает.
  • Интервал $(-3; 0)$: возьмем $x=-1$. $f'(-1) = -(-1)((-1)-2)((-1)+3) = 1(-3)(2) = -6 < 0$. Функция убывает.
  • Интервал $(0; 2)$: возьмем $x=1$. $f'(1) = -1(1-2)(1+3) = -1(-1)(4) = 4 > 0$. Функция возрастает.
  • Интервал $(2; +\infty)$: возьмем $x=3$. $f'(3) = -3(3-2)(3+3) = -3(1)(6) = -18 < 0$. Функция убывает.

Ответ: в) функция возрастает на промежутках $(-\infty; -3]$ и $[0; 2]$, убывает на промежутках $[-3; 0]$ и $[2; +\infty)$.

Помогло решение? Оставьте отзыв в комментариях ниже.

Присоединяйтесь к Телеграм-группе @gdz_by_belarus

Присоединиться

Мы подготовили для вас ответ c подробным объяснением домашего задания по алгебре за 10 класс, для упражнения номер 3.92 расположенного на странице 253 к учебнику 2019 года издания для учащихся школ и гимназий.

Теперь на нашем сайте ГДЗ.ТОП вы всегда легко и бесплатно найдёте условие с правильным ответом на вопрос «Как решить ДЗ» и «Как сделать» задание по алгебре к упражнению №3.92 (с. 253), авторов: Арефьева (Ирина Глебовна), Пирютко (Ольга Николаевна), учебного пособия издательства Народная асвета.