Номер 3.90, страница 253 - гдз по алгебре 10 класс учебник Арефьева, Пирютко

Алгебра, 10 класс Учебник, авторы: Арефьева Ирина Глебовна, Пирютко Ольга Николаевна, издательство Народная асвета, Минск, 2019, голубого цвета

Авторы: Арефьева И. Г., Пирютко О. Н.

Тип: Учебник

Издательство: Народная асвета

Год издания: 2019 - 2026

Цвет обложки: голубой с графиком

Допущено Министерством образования Республики Беларусь

Популярные ГДЗ в 10 классе

Глава 3. Производная. Параграф 20. Геометрический смысл производной. Связь между знаком производной функции и ее возрастанием или убыванием - номер 3.90, страница 253.

№3.90 (с. 253)
Условие. №3.90 (с. 253)
скриншот условия
Алгебра, 10 класс Учебник, авторы: Арефьева Ирина Глебовна, Пирютко Ольга Николаевна, издательство Народная асвета, Минск, 2019, голубого цвета, страница 253, номер 3.90, Условие

3.90. Используйте алгоритм и найдите промежутки монотонности функции:

а) $f(x) = 2x^2 - 5$;

б) $f(x) = x^3 - 3x$;

в) $f(x) = x^4 - 2x^2$;

г) $f(x) = 8 - 6x^2 - x^4$.

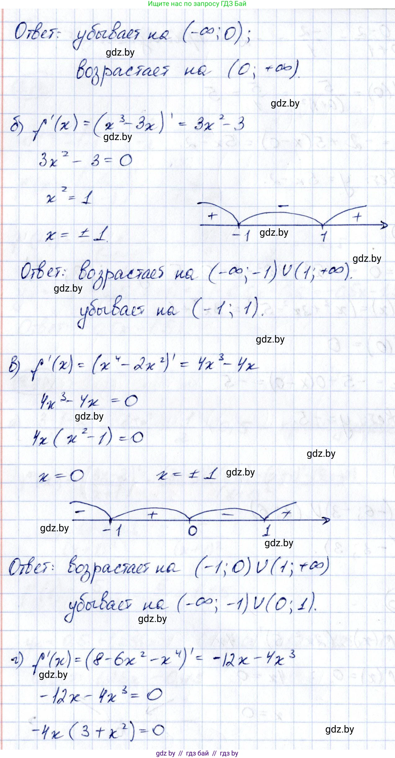
Решение. №3.90 (с. 253)
Алгебра, 10 класс Учебник, авторы: Арефьева Ирина Глебовна, Пирютко Ольга Николаевна, издательство Народная асвета, Минск, 2019, голубого цвета, страница 253, номер 3.90, Решение Алгебра, 10 класс Учебник, авторы: Арефьева Ирина Глебовна, Пирютко Ольга Николаевна, издательство Народная асвета, Минск, 2019, голубого цвета, страница 253, номер 3.90, Решение (продолжение 2)
Решение 2. №3.90 (с. 253)

Для нахождения промежутков монотонности функции используется следующий алгоритм:

  1. Найти область определения функции. Все представленные функции являются многочленами, поэтому их область определения — все действительные числа, $D(f) = (-\infty; +\infty)$.
  2. Найти производную функции $f'(x)$.
  3. Найти критические точки, решив уравнение $f'(x) = 0$.
  4. Определить знаки производной на интервалах, на которые критические точки разбивают числовую ось.
  5. Если на интервале $f'(x) > 0$, функция возрастает. Если $f'(x) < 0$, функция убывает.

а) Дана функция $f(x) = 2x^2 - 5$.

1. Находим производную: $f'(x) = (2x^2 - 5)' = 4x$.

2. Находим критические точки: $f'(x) = 0 \implies 4x = 0 \implies x = 0$.

3. Точка $x=0$ делит числовую ось на два промежутка: $(-\infty, 0)$ и $(0, +\infty)$. Определяем знак производной на каждом из них:

  • При $x < 0$, $f'(x) < 0$, следовательно, функция убывает.
  • При $x > 0$, $f'(x) > 0$, следовательно, функция возрастает.

Ответ: функция убывает на промежутке $(-\infty, 0]$ и возрастает на промежутке $[0, +\infty)$.

б) Дана функция $f(x) = x^3 - 3x$.

1. Находим производную: $f'(x) = (x^3 - 3x)' = 3x^2 - 3$.

2. Находим критические точки: $f'(x) = 0 \implies 3x^2 - 3 = 0 \implies 3(x^2 - 1) = 0 \implies x_1 = -1, x_2 = 1$.

3. Точки $x=-1$ и $x=1$ делят числовую ось на три промежутка: $(-\infty, -1)$, $(-1, 1)$ и $(1, +\infty)$. Определяем знак производной на каждом из них:

  • При $x \in (-\infty, -1)$, например $x=-2$, $f'(-2) = 3(-2)^2 - 3 = 9 > 0$, следовательно, функция возрастает.
  • При $x \in (-1, 1)$, например $x=0$, $f'(0) = 3(0)^2 - 3 = -3 < 0$, следовательно, функция убывает.
  • При $x \in (1, +\infty)$, например $x=2$, $f'(2) = 3(2)^2 - 3 = 9 > 0$, следовательно, функция возрастает.

Ответ: функция возрастает на промежутках $(-\infty, -1]$ и $[1, +\infty)$, убывает на промежутке $[-1, 1]$.

в) Дана функция $f(x) = x^4 - 2x^2$.

1. Находим производную: $f'(x) = (x^4 - 2x^2)' = 4x^3 - 4x$.

2. Находим критические точки: $f'(x) = 0 \implies 4x^3 - 4x = 0 \implies 4x(x^2 - 1) = 0 \implies x_1 = -1, x_2 = 0, x_3 = 1$.

3. Точки $x=-1, x=0, x=1$ делят числовую ось на четыре промежутка: $(-\infty, -1)$, $(-1, 0)$, $(0, 1)$ и $(1, +\infty)$. Определяем знак производной на каждом из них:

  • При $x \in (-\infty, -1)$, например $x=-2$, $f'(-2) = 4(-8) - 4(-2) = -24 < 0$, следовательно, функция убывает.
  • При $x \in (-1, 0)$, например $x=-0.5$, $f'(-0.5) = 4(-0.125) - 4(-0.5) = -0.5 + 2 = 1.5 > 0$, следовательно, функция возрастает.
  • При $x \in (0, 1)$, например $x=0.5$, $f'(0.5) = 4(0.125) - 4(0.5) = 0.5 - 2 = -1.5 < 0$, следовательно, функция убывает.
  • При $x \in (1, +\infty)$, например $x=2$, $f'(2) = 4(8) - 4(2) = 24 > 0$, следовательно, функция возрастает.

Ответ: функция убывает на промежутках $(-\infty, -1]$ и $[0, 1]$, возрастает на промежутках $[-1, 0]$ и $[1, +\infty)$.

г) Дана функция $f(x) = 8 - 6x^2 - x^4$.

1. Находим производную: $f'(x) = (8 - 6x^2 - x^4)' = -12x - 4x^3$.

2. Находим критические точки: $f'(x) = 0 \implies -12x - 4x^3 = 0 \implies -4x(3 + x^2) = 0$. Так как выражение $3+x^2$ всегда положительно, единственная критическая точка $x=0$.

3. Точка $x=0$ делит числовую ось на два промежутка: $(-\infty, 0)$ и $(0, +\infty)$. Определяем знак производной на каждом из них:

  • При $x < 0$, например $x=-1$, $f'(-1) = -12(-1) - 4(-1)^3 = 12 + 4 = 16 > 0$, следовательно, функция возрастает.
  • При $x > 0$, например $x=1$, $f'(1) = -12(1) - 4(1)^3 = -12 - 4 = -16 < 0$, следовательно, функция убывает.

Ответ: функция возрастает на промежутке $(-\infty, 0]$ и убывает на промежутке $[0, +\infty)$.

Помогло решение? Оставьте отзыв в комментариях ниже.

Присоединяйтесь к Телеграм-группе @gdz_by_belarus

Присоединиться

Мы подготовили для вас ответ c подробным объяснением домашего задания по алгебре за 10 класс, для упражнения номер 3.90 расположенного на странице 253 к учебнику 2019 года издания для учащихся школ и гимназий.

Теперь на нашем сайте ГДЗ.ТОП вы всегда легко и бесплатно найдёте условие с правильным ответом на вопрос «Как решить ДЗ» и «Как сделать» задание по алгебре к упражнению №3.90 (с. 253), авторов: Арефьева (Ирина Глебовна), Пирютко (Ольга Николаевна), учебного пособия издательства Народная асвета.