Номер 3.84, страница 252 - гдз по алгебре 10 класс учебник Арефьева, Пирютко

Алгебра, 10 класс Учебник, авторы: Арефьева Ирина Глебовна, Пирютко Ольга Николаевна, издательство Народная асвета, Минск, 2019, голубого цвета

Авторы: Арефьева И. Г., Пирютко О. Н.

Тип: Учебник

Издательство: Народная асвета

Год издания: 2019 - 2026

Цвет обложки: голубой с графиком

Допущено Министерством образования Республики Беларусь

Популярные ГДЗ в 10 классе

Глава 3. Производная. Параграф 20. Геометрический смысл производной. Связь между знаком производной функции и ее возрастанием или убыванием - номер 3.84, страница 252.

№3.84 (с. 252)
Условие. №3.84 (с. 252)
скриншот условия
Алгебра, 10 класс Учебник, авторы: Арефьева Ирина Глебовна, Пирютко Ольга Николаевна, издательство Народная асвета, Минск, 2019, голубого цвета, страница 252, номер 3.84, Условие

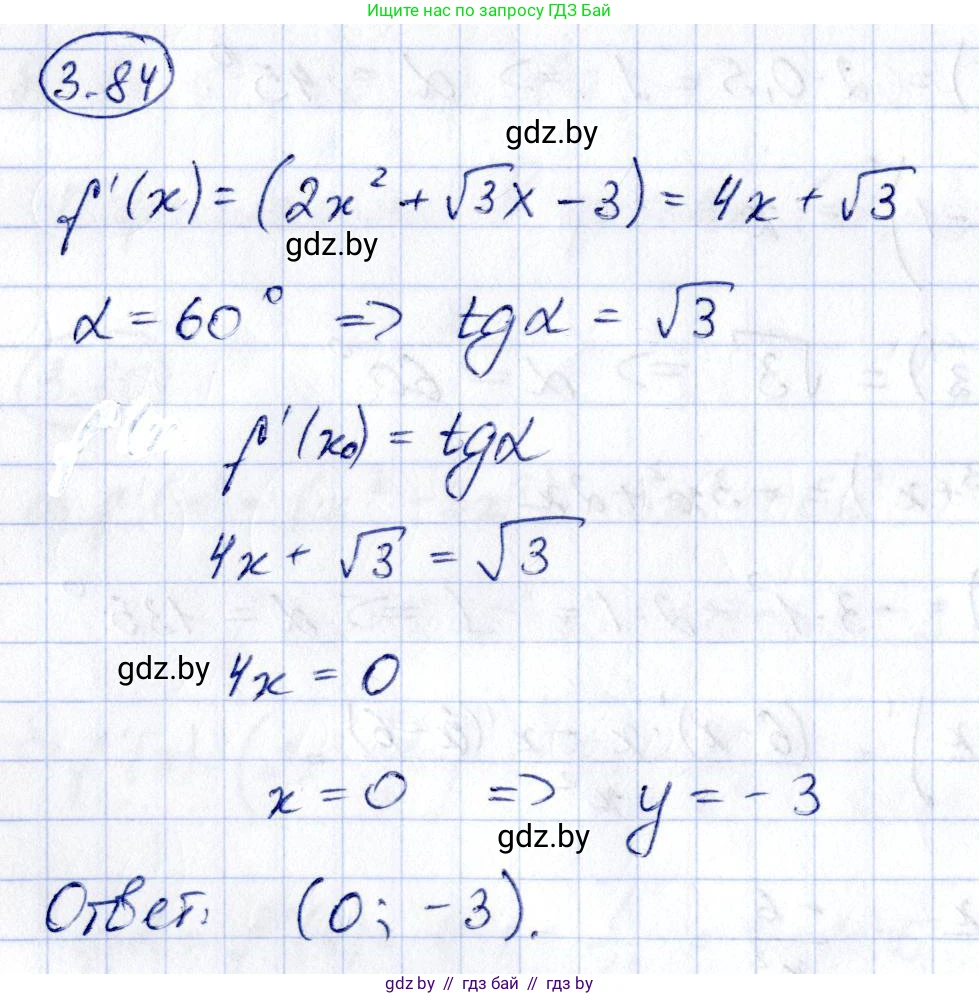
3.84. В какой точке графика функции $f(x) = 2x^2 + \sqrt{3x - 3}$ касательная

к графику данной функции наклонена к оси абсцисс под углом $60^\circ$?

Решение. №3.84 (с. 252)
Алгебра, 10 класс Учебник, авторы: Арефьева Ирина Глебовна, Пирютко Ольга Николаевна, издательство Народная асвета, Минск, 2019, голубого цвета, страница 252, номер 3.84, Решение
Решение 2. №3.84 (с. 252)

Геометрический смысл производной функции в точке $x_0$ заключается в том, что ее значение равно угловому коэффициенту (тангенсу угла наклона) касательной к графику функции в этой точке. Угловой коэффициент $k$ касательной, наклоненной к оси абсцисс под углом $\alpha$, вычисляется по формуле $k = \tan(\alpha)$.

По условию задачи, угол наклона касательной к оси абсцисс составляет $60^\circ$. Найдем угловой коэффициент $k$ этой касательной: $k = \tan(60^\circ) = \sqrt{3}$

Дана функция $f(x) = 2x^2 + \sqrt{3}x - 3$. Чтобы найти абсциссу точки касания $x_0$, необходимо найти производную функции $f(x)$ и приравнять ее к найденному угловому коэффициенту $k$.

1. Найдем производную функции $f(x)$: $f'(x) = (2x^2 + \sqrt{3}x - 3)' = (2x^2)' + (\sqrt{3}x)' - (3)'$ $f'(x) = 4x + \sqrt{3}$

2. Приравняем значение производной к угловому коэффициенту $k = \sqrt{3}$ и решим получившееся уравнение относительно $x$: $f'(x) = \sqrt{3}$ $4x + \sqrt{3} = \sqrt{3}$ $4x = \sqrt{3} - \sqrt{3}$ $4x = 0$ $x = 0$ Таким образом, абсцисса искомой точки касания равна $x_0 = 0$.

3. Для нахождения ординаты этой точки подставим найденное значение $x_0 = 0$ в исходное уравнение функции $f(x)$: $y_0 = f(x_0) = f(0) = 2(0)^2 + \sqrt{3}(0) - 3$ $y_0 = 0 + 0 - 3$ $y_0 = -3$

Следовательно, касательная к графику функции $f(x) = 2x^2 + \sqrt{3}x - 3$ наклонена к оси абсцисс под углом $60^\circ$ в точке с координатами $(0, -3)$.

Ответ: $(0, -3)$.

Помогло решение? Оставьте отзыв в комментариях ниже.

Присоединяйтесь к Телеграм-группе @gdz_by_belarus

Присоединиться

Мы подготовили для вас ответ c подробным объяснением домашего задания по алгебре за 10 класс, для упражнения номер 3.84 расположенного на странице 252 к учебнику 2019 года издания для учащихся школ и гимназий.

Теперь на нашем сайте ГДЗ.ТОП вы всегда легко и бесплатно найдёте условие с правильным ответом на вопрос «Как решить ДЗ» и «Как сделать» задание по алгебре к упражнению №3.84 (с. 252), авторов: Арефьева (Ирина Глебовна), Пирютко (Ольга Николаевна), учебного пособия издательства Народная асвета.