Номер 3.82, страница 252 - гдз по алгебре 10 класс учебник Арефьева, Пирютко

Алгебра, 10 класс Учебник, авторы: Арефьева Ирина Глебовна, Пирютко Ольга Николаевна, издательство Народная асвета, Минск, 2019, голубого цвета

Авторы: Арефьева И. Г., Пирютко О. Н.

Тип: Учебник

Издательство: Народная асвета

Год издания: 2019 - 2026

Цвет обложки: голубой с графиком

Допущено Министерством образования Республики Беларусь

Глава 3. Производная. Параграф 20. Геометрический смысл производной. Связь между знаком производной функции и ее возрастанием или убыванием - номер 3.82, страница 252.

№3.82 (с. 252)
Условие. №3.82 (с. 252)
скриншот условия
Алгебра, 10 класс Учебник, авторы: Арефьева Ирина Глебовна, Пирютко Ольга Николаевна, издательство Народная асвета, Минск, 2019, голубого цвета, страница 252, номер 3.82, Условие

3.82. Используйте алгоритм и найдите угол наклона к оси абсцисс касательной, проведенной к графику функции:

а) $f(x) = x^2$ в точке $x_0 = 0.5$;

б) $f(x) = \frac{x^2}{2} - 1$ в точке $x_0 = \sqrt{3}$;

в) $f(x) = -x^3 + x^2$ в точке $x_0 = 1$;

г) $f(x) = \frac{6 - x}{x}$ в точке $x_0 = -2$.

Решение. №3.82 (с. 252)
Алгебра, 10 класс Учебник, авторы: Арефьева Ирина Глебовна, Пирютко Ольга Николаевна, издательство Народная асвета, Минск, 2019, голубого цвета, страница 252, номер 3.82, Решение
Решение 2. №3.82 (с. 252)

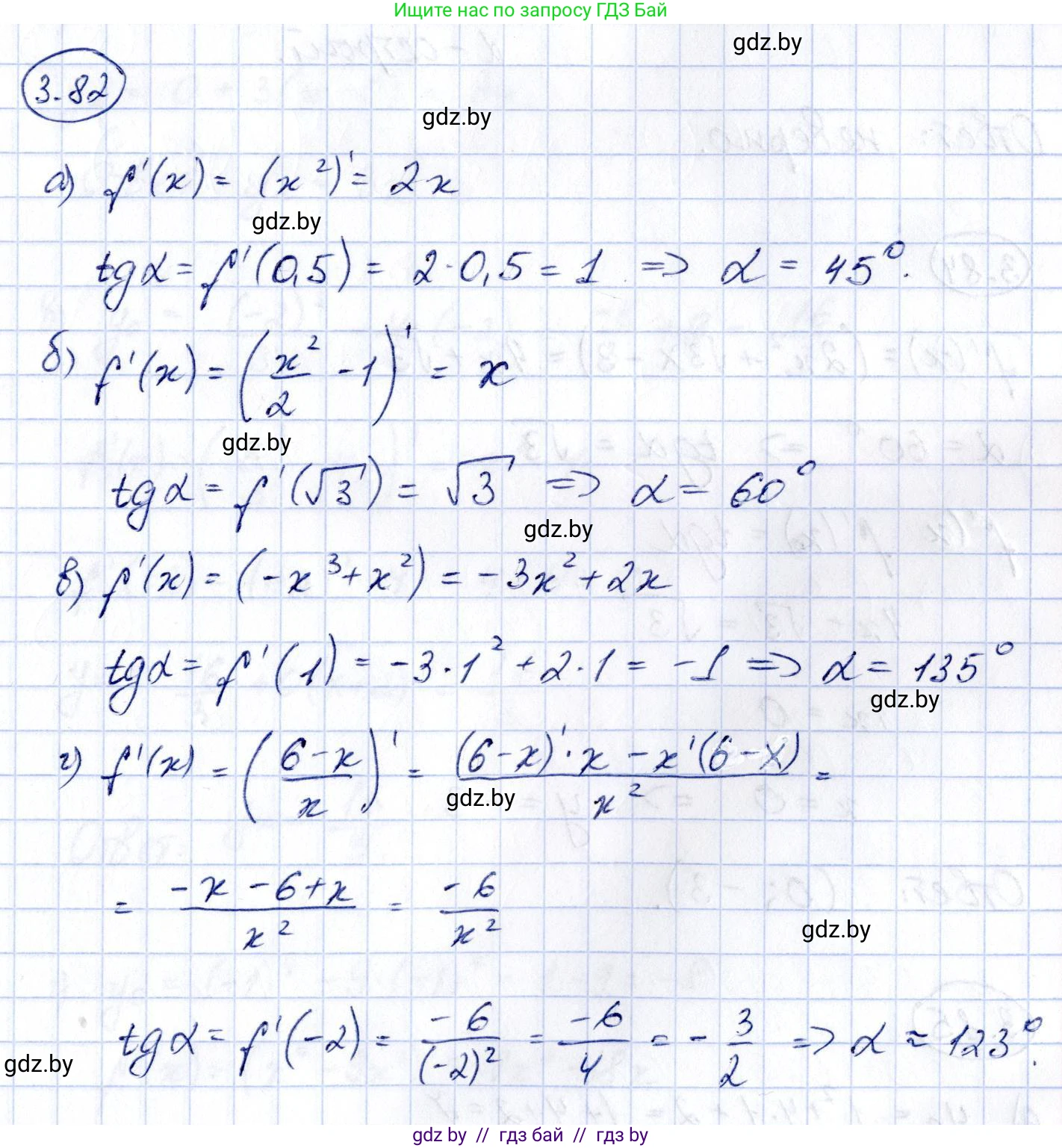
Угол наклона $\alpha$ касательной, проведенной к графику функции $y=f(x)$ в точке с абсциссой $x_0$, определяется из соотношения $\tan \alpha = f'(x_0)$, где $f'(x_0)$ — значение производной функции в точке $x_0$. Алгоритм решения состоит в нахождении производной, вычислении ее значения в указанной точке и определении угла по его тангенсу.

a) $f(x) = x^2$ в точке $x_0 = 0,5$.
1. Находим производную функции: $f'(x) = (x^2)' = 2x$.
2. Вычисляем значение производной в точке $x_0 = 0,5$: $f'(0,5) = 2 \cdot 0,5 = 1$.
3. Угловой коэффициент касательной (тангенс угла наклона) равен 1. Находим угол $\alpha$ из уравнения $\tan \alpha = 1$.
$\alpha = \arctan(1) = 45^\circ$.
Ответ: $45^\circ$.

б) $f(x) = \frac{x^2}{2} - 1$ в точке $x_0 = \sqrt{3}$.
1. Находим производную функции: $f'(x) = \left(\frac{x^2}{2} - 1\right)' = \frac{1}{2} \cdot 2x - 0 = x$.
2. Вычисляем значение производной в точке $x_0 = \sqrt{3}$: $f'(\sqrt{3}) = \sqrt{3}$.
3. Тангенс угла наклона равен $\sqrt{3}$. Находим угол $\alpha$ из уравнения $\tan \alpha = \sqrt{3}$.
$\alpha = \arctan(\sqrt{3}) = 60^\circ$.
Ответ: $60^\circ$.

в) $f(x) = -x^3 + x^2$ в точке $x_0 = 1$.
1. Находим производную функции: $f'(x) = (-x^3 + x^2)' = -3x^2 + 2x$.
2. Вычисляем значение производной в точке $x_0 = 1$: $f'(1) = -3(1)^2 + 2(1) = -3 + 2 = -1$.
3. Тангенс угла наклона равен -1. Находим угол $\alpha$ из уравнения $\tan \alpha = -1$ (угол наклона обычно находится в диапазоне $[0^\circ, 180^\circ)$).
$\alpha = 135^\circ$.
Ответ: $135^\circ$.

г) $f(x) = \frac{6-x}{x}$ в точке $x_0 = -2$.
1. Находим производную функции, используя правило дифференцирования частного:
$f'(x) = \left(\frac{6-x}{x}\right)' = \frac{(6-x)' \cdot x - (6-x) \cdot (x)'}{x^2} = \frac{-1 \cdot x - (6-x) \cdot 1}{x^2} = \frac{-x-6+x}{x^2} = -\frac{6}{x^2}$.
2. Вычисляем значение производной в точке $x_0 = -2$: $f'(-2) = -\frac{6}{(-2)^2} = -\frac{6}{4} = -\frac{3}{2}$.
3. Тангенс угла наклона равен $-\frac{3}{2}$. Так как это не является табличным значением, угол выражается через арктангенс. Выделим целую часть из неправильной дроби: $-\frac{3}{2} = -1\frac{1}{2}$.
4. Угол $\alpha$ равен $\arctan\left(-1\frac{1}{2}\right)$.
Ответ: $\arctan\left(-\mathbf{1}\frac{1}{2}\right)$.

Помогло решение? Оставьте отзыв в комментариях ниже.

Присоединяйтесь к Телеграм-группе @gdz_by_belarus

Присоединиться

Мы подготовили для вас ответ c подробным объяснением домашего задания по алгебре за 10 класс, для упражнения номер 3.82 расположенного на странице 252 к учебнику 2019 года издания для учащихся школ и гимназий.

Теперь на нашем сайте ГДЗ.ТОП вы всегда легко и бесплатно найдёте условие с правильным ответом на вопрос «Как решить ДЗ» и «Как сделать» задание по алгебре к упражнению №3.82 (с. 252), авторов: Арефьева (Ирина Глебовна), Пирютко (Ольга Николаевна), учебного пособия издательства Народная асвета.