Номер 3.111, страница 255 - гдз по алгебре 10 класс учебник Арефьева, Пирютко

Алгебра, 10 класс Учебник, авторы: Арефьева Ирина Глебовна, Пирютко Ольга Николаевна, издательство Народная асвета, Минск, 2019, голубого цвета

Авторы: Арефьева И. Г., Пирютко О. Н.

Тип: Учебник

Издательство: Народная асвета

Год издания: 2019 - 2026

Цвет обложки: голубой с графиком

Допущено Министерством образования Республики Беларусь

Популярные ГДЗ в 10 классе

Глава 3. Производная. Параграф 20. Геометрический смысл производной. Связь между знаком производной функции и ее возрастанием или убыванием - номер 3.111, страница 255.

№3.111 (с. 255)
Условие. №3.111 (с. 255)
скриншот условия
Алгебра, 10 класс Учебник, авторы: Арефьева Ирина Глебовна, Пирютко Ольга Николаевна, издательство Народная асвета, Минск, 2019, голубого цвета, страница 255, номер 3.111, Условие

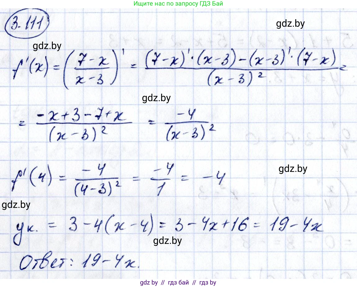
3.111. Составьте уравнение касательной к графику функции $f(x) = \frac{7-x}{x-3}$ в точке графика $A(4; 3)$.

Решение. №3.111 (с. 255)
Алгебра, 10 класс Учебник, авторы: Арефьева Ирина Глебовна, Пирютко Ольга Николаевна, издательство Народная асвета, Минск, 2019, голубого цвета, страница 255, номер 3.111, Решение
Решение 2. №3.111 (с. 255)

Уравнение касательной к графику функции $y = f(x)$ в точке с абсциссой $x_0$ имеет вид:

$y = f(x_0) + f'(x_0)(x - x_0)$

По условию задачи, дана функция $f(x) = \frac{7-x}{x-3}$ и точка касания $A(4; 3)$. Отсюда абсцисса точки касания $x_0 = 4$, а ордината $f(x_0) = 3$.

1. Найдем производную функции $f(x)$, используя правило дифференцирования частного $(\frac{u}{v})' = \frac{u'v - uv'}{v^2}$:

$f'(x) = \frac{(7-x)'(x-3) - (7-x)(x-3)'}{(x-3)^2} = \frac{-1 \cdot (x-3) - (7-x) \cdot 1}{(x-3)^2}$

$f'(x) = \frac{-x + 3 - 7 + x}{(x-3)^2} = \frac{-4}{(x-3)^2}$

2. Найдем угловой коэффициент касательной $k$, который равен значению производной в точке $x_0 = 4$:

$k = f'(4) = \frac{-4}{(4-3)^2} = \frac{-4}{1^2} = -4$

3. Подставим найденные значения $x_0=4$, $f(x_0)=3$ и $k=f'(4)=-4$ в уравнение касательной:

$y = 3 + (-4)(x - 4)$

Раскроем скобки и приведем подобные слагаемые:

$y = 3 - 4x + 16$

$y = -4x + 19$

Ответ: $y = -4x + 19$.

Помогло решение? Оставьте отзыв в комментариях ниже.

Присоединяйтесь к Телеграм-группе @gdz_by_belarus

Присоединиться

Мы подготовили для вас ответ c подробным объяснением домашего задания по алгебре за 10 класс, для упражнения номер 3.111 расположенного на странице 255 к учебнику 2019 года издания для учащихся школ и гимназий.

Теперь на нашем сайте ГДЗ.ТОП вы всегда легко и бесплатно найдёте условие с правильным ответом на вопрос «Как решить ДЗ» и «Как сделать» задание по алгебре к упражнению №3.111 (с. 255), авторов: Арефьева (Ирина Глебовна), Пирютко (Ольга Николаевна), учебного пособия издательства Народная асвета.