Номер 3.144, страница 264 - гдз по алгебре 10 класс учебник Арефьева, Пирютко

Алгебра, 10 класс Учебник, авторы: Арефьева Ирина Глебовна, Пирютко Ольга Николаевна, издательство Народная асвета, Минск, 2019, голубого цвета

Авторы: Арефьева И. Г., Пирютко О. Н.

Тип: Учебник

Издательство: Народная асвета

Год издания: 2019 - 2026

Цвет обложки: голубой с графиком

Допущено Министерством образования Республики Беларусь

Популярные ГДЗ в 10 классе

Глава 3. Производная. Параграф 21. Применение производной к исследованию функций - номер 3.144, страница 264.

№3.144 (с. 264)
Условие. №3.144 (с. 264)
скриншот условия
Алгебра, 10 класс Учебник, авторы: Арефьева Ирина Глебовна, Пирютко Ольга Николаевна, издательство Народная асвета, Минск, 2019, голубого цвета, страница 264, номер 3.144, Условие

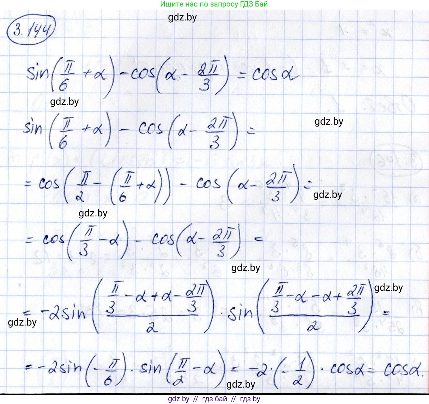
3.144. Докажите тождество

$\sin\left(\frac{\pi}{6} + \alpha\right) - \cos\left(\alpha - \frac{2\pi}{3}\right) = \cos\alpha.$

Решение. №3.144 (с. 264)
Алгебра, 10 класс Учебник, авторы: Арефьева Ирина Глебовна, Пирютко Ольга Николаевна, издательство Народная асвета, Минск, 2019, голубого цвета, страница 264, номер 3.144, Решение
Решение 2. №3.144 (с. 264)

Для доказательства тождества преобразуем его левую часть, используя формулы синуса суммы и косинуса разности.

Формула синуса суммы: $sin(x+y) = sin(x)cos(y) + cos(x)sin(y)$.

Формула косинуса разности: $cos(x-y) = cos(x)cos(y) + sin(x)sin(y)$.

1. Применим формулу синуса суммы к выражению $sin(\frac{\pi}{6} + \alpha)$:

$sin(\frac{\pi}{6} + \alpha) = sin(\frac{\pi}{6})cos(\alpha) + cos(\frac{\pi}{6})sin(\alpha)$

Зная значения тригонометрических функций для угла $\frac{\pi}{6}$: $sin(\frac{\pi}{6}) = \frac{1}{2}$ и $cos(\frac{\pi}{6}) = \frac{\sqrt{3}}{2}$, получаем:

$sin(\frac{\pi}{6} + \alpha) = \frac{1}{2}cos(\alpha) + \frac{\sqrt{3}}{2}sin(\alpha)$

2. Теперь применим формулу косинуса разности к выражению $cos(\alpha - \frac{2\pi}{3})$:

$cos(\alpha - \frac{2\pi}{3}) = cos(\alpha)cos(\frac{2\pi}{3}) + sin(\alpha)sin(\frac{2\pi}{3})$

Найдем значения косинуса и синуса для угла $\frac{2\pi}{3}$ с помощью формул приведения:

$cos(\frac{2\pi}{3}) = cos(\pi - \frac{\pi}{3}) = -cos(\frac{\pi}{3}) = -\frac{1}{2}$

$sin(\frac{2\pi}{3}) = sin(\pi - \frac{\pi}{3}) = sin(\frac{\pi}{3}) = \frac{\sqrt{3}}{2}$

Подставим эти значения в выражение:

$cos(\alpha - \frac{2\pi}{3}) = cos(\alpha) \cdot (-\frac{1}{2}) + sin(\alpha) \cdot (\frac{\sqrt{3}}{2}) = -\frac{1}{2}cos(\alpha) + \frac{\sqrt{3}}{2}sin(\alpha)$

3. Подставим полученные выражения для первого и второго слагаемых в левую часть исходного тождества:

$sin(\frac{\pi}{6} + \alpha) - cos(\alpha - \frac{2\pi}{3}) = (\frac{1}{2}cos(\alpha) + \frac{\sqrt{3}}{2}sin(\alpha)) - (-\frac{1}{2}cos(\alpha) + \frac{\sqrt{3}}{2}sin(\alpha))$

Раскроем скобки и приведем подобные слагаемые:

$\frac{1}{2}cos(\alpha) + \frac{\sqrt{3}}{2}sin(\alpha) + \frac{1}{2}cos(\alpha) - \frac{\sqrt{3}}{2}sin(\alpha) = (\frac{1}{2}cos(\alpha) + \frac{1}{2}cos(\alpha)) + (\frac{\sqrt{3}}{2}sin(\alpha) - \frac{\sqrt{3}}{2}sin(\alpha)) = cos(\alpha) + 0 = cos(\alpha)$

В результате преобразований левая часть тождества оказалась равна его правой части:

$cos(\alpha) = cos(\alpha)$

Следовательно, тождество доказано.

Ответ:

Тождество $sin(\frac{\pi}{6} + \alpha) - cos(\alpha - \frac{2\pi}{3}) = cos(\alpha)$ доказано.

Помогло решение? Оставьте отзыв в комментариях ниже.

Присоединяйтесь к Телеграм-группе @gdz_by_belarus

Присоединиться

Мы подготовили для вас ответ c подробным объяснением домашего задания по алгебре за 10 класс, для упражнения номер 3.144 расположенного на странице 264 к учебнику 2019 года издания для учащихся школ и гимназий.

Теперь на нашем сайте ГДЗ.ТОП вы всегда легко и бесплатно найдёте условие с правильным ответом на вопрос «Как решить ДЗ» и «Как сделать» задание по алгебре к упражнению №3.144 (с. 264), авторов: Арефьева (Ирина Глебовна), Пирютко (Ольга Николаевна), учебного пособия издательства Народная асвета.