Номер 3.142, страница 264 - гдз по алгебре 10 класс учебник Арефьева, Пирютко

Алгебра, 10 класс Учебник, авторы: Арефьева Ирина Глебовна, Пирютко Ольга Николаевна, издательство Народная асвета, Минск, 2019, голубого цвета

Авторы: Арефьева И. Г., Пирютко О. Н.

Тип: Учебник

Издательство: Народная асвета

Год издания: 2019 - 2026

Цвет обложки: голубой с графиком

Допущено Министерством образования Республики Беларусь

Популярные ГДЗ в 10 классе

Глава 3. Производная. Параграф 21. Применение производной к исследованию функций - номер 3.142, страница 264.

№3.142 (с. 264)
Условие. №3.142 (с. 264)
скриншот условия
Алгебра, 10 класс Учебник, авторы: Арефьева Ирина Глебовна, Пирютко Ольга Николаевна, издательство Народная асвета, Минск, 2019, голубого цвета, страница 264, номер 3.142, Условие

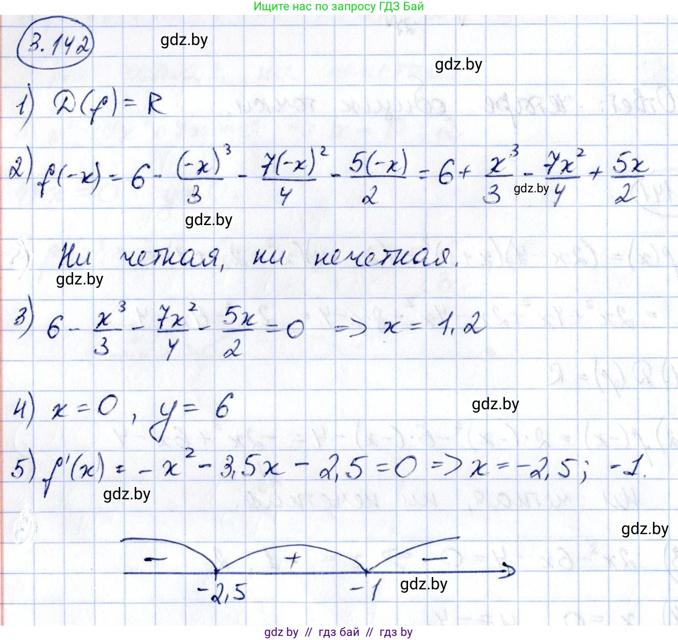
3.142. Исследуйте функцию $y = 6 - \frac{x^3}{3} - \frac{7}{4}x^2 - \frac{5}{2}x$ и постройте ее график.

Решение. №3.142 (с. 264)
Алгебра, 10 класс Учебник, авторы: Арефьева Ирина Глебовна, Пирютко Ольга Николаевна, издательство Народная асвета, Минск, 2019, голубого цвета, страница 264, номер 3.142, Решение Алгебра, 10 класс Учебник, авторы: Арефьева Ирина Глебовна, Пирютко Ольга Николаевна, издательство Народная асвета, Минск, 2019, голубого цвета, страница 264, номер 3.142, Решение (продолжение 2)
Решение 2. №3.142 (с. 264)

Проведем полное исследование функции $y = 6 - \frac{x^3}{3} - \frac{7}{4}x^2 - \frac{5}{2}x$.

1. Область определения. Функция является многочленом, поэтому она определена для всех действительных чисел.
Ответ: $D(y) = (-\infty; +\infty)$.

2. Четность, нечетность, периодичность. Найдем $y(-x)$: $y(-x) = 6 - \frac{(-x)^3}{3} - \frac{7}{4}(-x)^2 - \frac{5}{2}(-x) = 6 + \frac{x^3}{3} - \frac{7}{4}x^2 + \frac{5}{2}x$. Так как $y(-x) \neq y(x)$ и $y(-x) \neq -y(x)$, функция не является ни четной, ни нечетной (является функцией общего вида). Функция непериодическая, так как не является комбинацией периодических функций.
Ответ: Функция общего вида, непериодическая.

3. Точки пересечения с осями координат. a) С осью Oy (полагаем $x=0$): $y(0) = 6 - 0 - 0 - 0 = 6$. Точка пересечения с осью Oy: $(0; 6)$.
b) С осью Ox (полагаем $y=0$): $6 - \frac{x^3}{3} - \frac{7}{4}x^2 - \frac{5}{2}x = 0$. Умножим уравнение на $-12$, чтобы избавиться от дробей: $4x^3 + 21x^2 + 30x - 72 = 0$. Аналитическое решение этого кубического уравнения затруднительно. Из дальнейшего исследования мы увидим, что локальный минимум функции положителен, а при $x \to +\infty$ функция стремится к $-\infty$. Это означает, что график пересекает ось Ox только в одной точке. Проверим значения функции в целых точках: $y(1) = 6 - \frac{1}{3} - \frac{7}{4} - \frac{5}{2} = \frac{72-4-21-30}{12} = \frac{17}{12} > 0$. $y(2) = 6 - \frac{8}{3} - \frac{7}{4}(4) - \frac{5}{2}(2) = 6 - \frac{8}{3} - 7 - 5 = -6 - \frac{8}{3} < 0$. Так как на отрезке $[1; 2]$ функция непрерывна и меняет знак, корень уравнения находится на интервале $(1; 2)$.
Ответ: Точка пересечения с осью Oy: $(0; 6)$. Единственная точка пересечения с осью Ox имеет абсциссу $x_0 \in (1; 2)$.

4. Промежутки монотонности и точки экстремума. Найдем первую производную функции: $y' = \left(6 - \frac{x^3}{3} - \frac{7}{4}x^2 - \frac{5}{2}x\right)' = -x^2 - \frac{7}{2}x - \frac{5}{2}$. Найдем критические точки, приравняв производную к нулю: $-x^2 - \frac{7}{2}x - \frac{5}{2} = 0 \implies 2x^2 + 7x + 5 = 0$. Решим квадратное уравнение. Дискриминант $D = b^2 - 4ac = 7^2 - 4 \cdot 2 \cdot 5 = 49 - 40 = 9$. Корни: $x_1 = \frac{-7 - \sqrt{9}}{4} = \frac{-10}{4} = -2.5$; $x_2 = \frac{-7 + \sqrt{9}}{4} = \frac{-4}{4} = -1$. Определим знаки производной на интервалах, на которые критические точки делят область определения: $(-\infty; -2.5)$, $(-2.5; -1)$ и $(-1; +\infty)$.

  • При $x \in (-\infty; -2.5)$: $y'(-3) = -(-3)^2 - \frac{7}{2}(-3) - \frac{5}{2} = -9 + 10.5 - 2.5 = -1 < 0$. Функция убывает.
  • При $x \in (-2.5; -1)$: $y'(-2) = -(-2)^2 - \frac{7}{2}(-2) - \frac{5}{2} = -4 + 7 - 2.5 = 0.5 > 0$. Функция возрастает.
  • При $x \in (-1; +\infty)$: $y'(0) = -2.5 < 0$. Функция убывает.

В точке $x = -2.5$ производная меняет знак с "-" на "+", следовательно, это точка локального минимума. $y_{min} = y(-2.5) = 6 - \frac{1}{3}(-\frac{5}{2})^3 - \frac{7}{4}(-\frac{5}{2})^2 - \frac{5}{2}(-\frac{5}{2}) = 6 + \frac{125}{24} - \frac{175}{16} + \frac{25}{4} = \frac{288+250-525+300}{48} = \frac{313}{48}$. В точке $x = -1$ производная меняет знак с "+" на "-", следовательно, это точка локального максимума. $y_{max} = y(-1) = 6 - \frac{(-1)^3}{3} - \frac{7}{4}(-1)^2 - \frac{5}{2}(-1) = 6 + \frac{1}{3} - \frac{7}{4} + \frac{5}{2} = \frac{72+4-21+30}{12} = \frac{85}{12}$.
Ответ: Функция убывает на промежутках $(-\infty; -2.5]$ и $[-1; +\infty)$, возрастает на промежутке $[-2.5; -1]$. Точка минимума $(-2.5; \frac{313}{48}) = (-2.5; 6\frac{25}{48})$. Точка максимума $(-1; \frac{85}{12}) = (-1; 7\frac{1}{12})$.

5. Промежутки выпуклости, вогнутости и точки перегиба. Найдем вторую производную: $y'' = (y')' = (-x^2 - \frac{7}{2}x - \frac{5}{2})' = -2x - \frac{7}{2}$. Найдем точку, где вторая производная равна нулю: $-2x - \frac{7}{2} = 0 \implies x = -\frac{7}{4} = -1.75$. Определим знаки второй производной:

  • При $x < -1.75$: $y'' > 0$, график функции вогнутый (выпуклый вниз).
  • При $x > -1.75$: $y'' < 0$, график функции выпуклый (выпуклый вверх).

Так как в точке $x = -1.75$ вторая производная меняет знак, это точка перегиба. Найдем ординату точки перегиба: $y(-1.75) = y(-\frac{7}{4}) = 6 - \frac{1}{3}(-\frac{7}{4})^3 - \frac{7}{4}(-\frac{7}{4})^2 - \frac{5}{2}(-\frac{7}{4}) = 6 + \frac{343}{192} - \frac{343}{64} + \frac{35}{8} = \frac{1152+343-1029+840}{192} = \frac{1306}{192} = \frac{653}{96}$.
Ответ: График функции является вогнутым на $(-\infty; -1.75)$ и выпуклым на $(-1.75; +\infty)$. Точка перегиба $(-1.75; \frac{653}{96}) = (-1.75; 6\frac{85}{96})$.

6. Асимптоты. Поскольку функция является многочленом, она непрерывна на всей числовой оси, и вертикальных асимптот у нее нет. Исследуем поведение функции на бесконечности: $\lim_{x \to +\infty} \left(6 - \frac{x^3}{3} - \frac{7}{4}x^2 - \frac{5}{2}x\right) = \lim_{x \to +\infty} (-\frac{x^3}{3}) = -\infty$. $\lim_{x \to -\infty} \left(6 - \frac{x^3}{3} - \frac{7}{4}x^2 - \frac{5}{2}x\right) = \lim_{x \to -\infty} (-\frac{x^3}{3}) = +\infty$. Поскольку пределы не являются конечными числами, горизонтальных асимптот нет. Наклонных асимптот также нет, так как $k = \lim_{x \to \pm\infty} \frac{y(x)}{x} = -\infty$.
Ответ: Асимптот нет.

7. Построение графика. Используя результаты исследования, построим график функции. Ключевые точки:

  • Локальный минимум: $(-2.5; 6\frac{25}{48}) \approx (-2.5; 6.52)$
  • Локальный максимум: $(-1; 7\frac{1}{12}) \approx (-1; 7.08)$
  • Точка перегиба: $(-1.75; 6\frac{85}{96}) \approx (-1.75; 6.80)$
  • Пересечение с Oy: $(0; 6)$
  • Пересечение с Ox: $x_0 \in (1; 2)$

График функции представлен ниже.
x y 1 2 -1 -2 -3 -4 2 4 6 8 -2 -4 -6 min max перегиб

Помогло решение? Оставьте отзыв в комментариях ниже.

Присоединяйтесь к Телеграм-группе @gdz_by_belarus

Присоединиться

Мы подготовили для вас ответ c подробным объяснением домашего задания по алгебре за 10 класс, для упражнения номер 3.142 расположенного на странице 264 к учебнику 2019 года издания для учащихся школ и гимназий.

Теперь на нашем сайте ГДЗ.ТОП вы всегда легко и бесплатно найдёте условие с правильным ответом на вопрос «Как решить ДЗ» и «Как сделать» задание по алгебре к упражнению №3.142 (с. 264), авторов: Арефьева (Ирина Глебовна), Пирютко (Ольга Николаевна), учебного пособия издательства Народная асвета.