Номер 3.152, страница 272 - гдз по алгебре 10 класс учебник Арефьева, Пирютко

Алгебра, 10 класс Учебник, авторы: Арефьева Ирина Глебовна, Пирютко Ольга Николаевна, издательство Народная асвета, Минск, 2019, голубого цвета

Авторы: Арефьева И. Г., Пирютко О. Н.

Тип: Учебник

Издательство: Народная асвета

Год издания: 2019 - 2026

Цвет обложки: голубой с графиком

Допущено Министерством образования Республики Беларусь

Популярные ГДЗ в 10 классе

Глава 3. Производная. Параграф 22. Наибольшее и наименьшее значения функции - номер 3.152, страница 272.

№3.152 (с. 272)
Условие. №3.152 (с. 272)
скриншот условия
Алгебра, 10 класс Учебник, авторы: Арефьева Ирина Глебовна, Пирютко Ольга Николаевна, издательство Народная асвета, Минск, 2019, голубого цвета, страница 272, номер 3.152, Условие

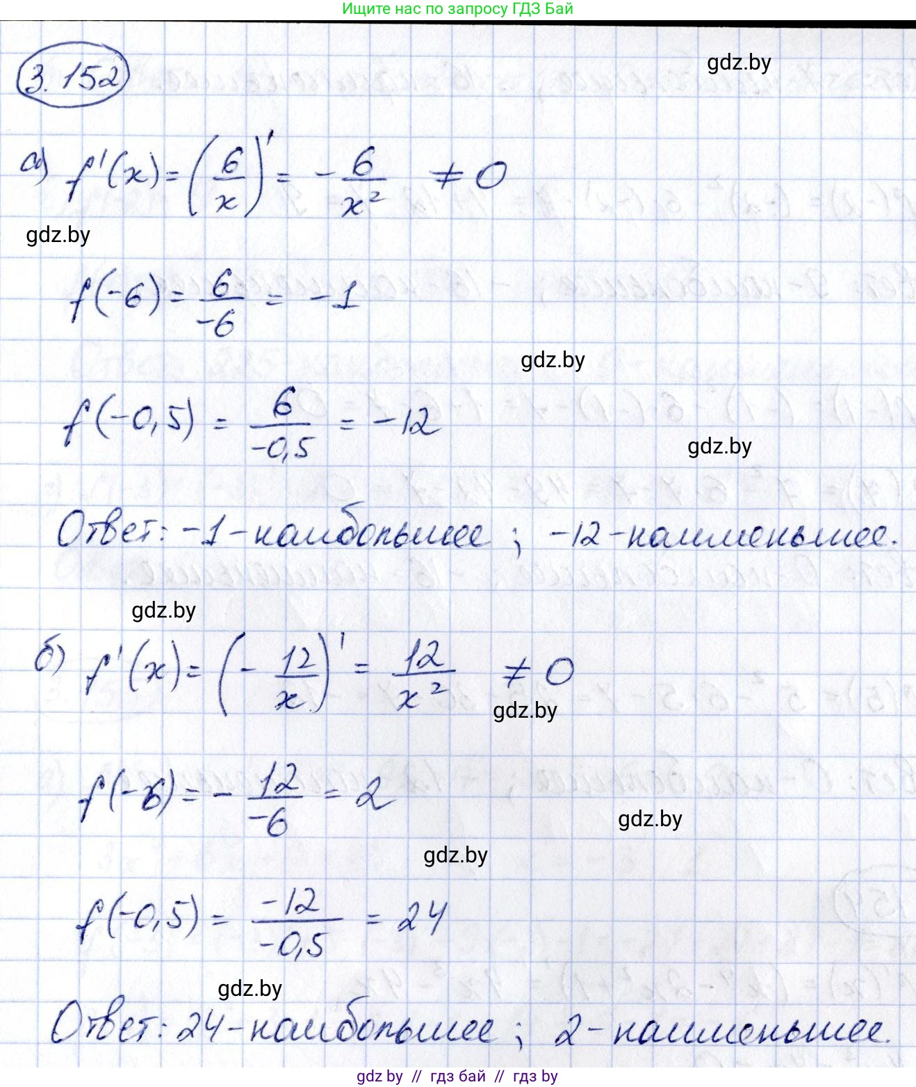
3.152. На отрезке $ [-6; -0.5] $ найдите наибольшее и наименьшее значения функции:

a) $f(x) = \frac{6}{x}$;

б) $f(x) = -\frac{12}{x}$.

Решение. №3.152 (с. 272)
Алгебра, 10 класс Учебник, авторы: Арефьева Ирина Глебовна, Пирютко Ольга Николаевна, издательство Народная асвета, Минск, 2019, голубого цвета, страница 272, номер 3.152, Решение
Решение 2. №3.152 (с. 272)

а) Для функции $f(x) = \frac{6}{x}$ на отрезке $[-6; -0,5]$

Для нахождения наибольшего и наименьшего значений функции на отрезке, найдем её производную, определим критические точки, входящие в этот отрезок, и вычислим значения функции в этих точках и на концах отрезка.

1. Находим производную функции: $f'(x) = (\frac{6}{x})' = (6x^{-1})' = -6x^{-2} = -\frac{6}{x^2}$

2. Находим критические точки. Производная не обращается в ноль ни при каких значениях $x$. Производная не определена в точке $x=0$. Однако, точка $x=0$ не принадлежит заданному отрезку $[-6; -0,5]$. Следовательно, на данном отрезке критических точек нет.

3. Так как на отрезке нет критических точек, наибольшее и наименьшее значения функция принимает на его концах. Вычислим значения функции в точках $x=-6$ и $x=-0,5$:

  • $f(-6) = \frac{6}{-6} = -1$
  • $f(-0,5) = \frac{6}{-0,5} = -12$

4. Сравнивая полученные значения ($-1 > -12$), заключаем, что наибольшее значение функции равно -1, а наименьшее равно -12.

Ответ: наибольшее значение -1, наименьшее значение -12.

б) Для функции $f(x) = -\frac{12}{x}$ на отрезке $[-6; -0,5]$

1. Находим производную функции: $f'(x) = (-\frac{12}{x})' = (-12x^{-1})' = 12x^{-2} = \frac{12}{x^2}$

2. Находим критические точки. Производная не обращается в ноль ни при каких значениях $x$. Производная не определена в точке $x=0$, которая не входит в отрезок $[-6; -0,5]$. Таким образом, на данном отрезке критических точек нет.

3. Наибольшее и наименьшее значения функция принимает на концах отрезка. Вычислим значения функции в точках $x=-6$ и $x=-0,5$:

  • $f(-6) = -\frac{12}{-6} = 2$
  • $f(-0,5) = -\frac{12}{-0,5} = 24$

4. Сравнивая полученные значения ($24 > 2$), заключаем, что наибольшее значение функции равно 24, а наименьшее равно 2.

Ответ: наибольшее значение 24, наименьшее значение 2.

Помогло решение? Оставьте отзыв в комментариях ниже.

Присоединяйтесь к Телеграм-группе @gdz_by_belarus

Присоединиться

Мы подготовили для вас ответ c подробным объяснением домашего задания по алгебре за 10 класс, для упражнения номер 3.152 расположенного на странице 272 к учебнику 2019 года издания для учащихся школ и гимназий.

Теперь на нашем сайте ГДЗ.ТОП вы всегда легко и бесплатно найдёте условие с правильным ответом на вопрос «Как решить ДЗ» и «Как сделать» задание по алгебре к упражнению №3.152 (с. 272), авторов: Арефьева (Ирина Глебовна), Пирютко (Ольга Николаевна), учебного пособия издательства Народная асвета.