Номер 3.176, страница 274 - гдз по алгебре 10 класс учебник Арефьева, Пирютко

Алгебра, 10 класс Учебник, авторы: Арефьева Ирина Глебовна, Пирютко Ольга Николаевна, издательство Народная асвета, Минск, 2019, голубого цвета

Авторы: Арефьева И. Г., Пирютко О. Н.

Тип: Учебник

Издательство: Народная асвета

Год издания: 2019 - 2026

Цвет обложки: голубой с графиком

Допущено Министерством образования Республики Беларусь

Глава 3. Производная. Параграф 22. Наибольшее и наименьшее значения функции - номер 3.176, страница 274.

№3.176 (с. 274)
Условие. №3.176 (с. 274)
скриншот условия
Алгебра, 10 класс Учебник, авторы: Арефьева Ирина Глебовна, Пирютко Ольга Николаевна, издательство Народная асвета, Минск, 2019, голубого цвета, страница 274, номер 3.176, Условие

3.176. Решите уравнение:

a) $2\cos^2 x + 5\cos x + 2 = 0$;

б) $2\cos^2 x + 3\sin x - 3 = 0$.

Решение. №3.176 (с. 274)
Алгебра, 10 класс Учебник, авторы: Арефьева Ирина Глебовна, Пирютко Ольга Николаевна, издательство Народная асвета, Минск, 2019, голубого цвета, страница 274, номер 3.176, Решение Алгебра, 10 класс Учебник, авторы: Арефьева Ирина Глебовна, Пирютко Ольга Николаевна, издательство Народная асвета, Минск, 2019, голубого цвета, страница 274, номер 3.176, Решение (продолжение 2)
Решение 2. №3.176 (с. 274)

a) Дано уравнение: $2\cos^2 x + 5\cos x + 2 = 0$.

Данное уравнение является квадратным относительно $\cos x$. Выполним замену переменной. Пусть $t = \cos x$. Учитывая, что область значений функции косинус $[-1; 1]$, должно выполняться условие $|t| \le 1$.

Подставим $t$ в уравнение и получим стандартное квадратное уравнение:

$2t^2 + 5t + 2 = 0$

Найдем дискриминант $D$ по формуле $D = b^2 - 4ac$:

$D = 5^2 - 4 \cdot 2 \cdot 2 = 25 - 16 = 9$

Найдем корни уравнения для $t$:

$t_1 = \frac{-b - \sqrt{D}}{2a} = \frac{-5 - \sqrt{9}}{2 \cdot 2} = \frac{-5 - 3}{4} = \frac{-8}{4} = -2$

$t_2 = \frac{-b + \sqrt{D}}{2a} = \frac{-5 + \sqrt{9}}{2 \cdot 2} = \frac{-5 + 3}{4} = \frac{-2}{4} = -\frac{1}{2}$

Теперь выполним обратную замену $t = \cos x$ и проанализируем полученные корни.

1. Для корня $t_1 = -2$ получаем уравнение $\cos x = -2$. Это уравнение не имеет решений, так как значение косинуса не может быть меньше $-1$.

2. Для корня $t_2 = -\frac{1}{2}$ получаем уравнение $\cos x = -\frac{1}{2}$. Этот корень удовлетворяет условию $|t| \le 1$.

Решения этого уравнения находятся по формуле $x = \pm \arccos(a) + 2\pi k$, где $k \in \mathbb{Z}$:

$x = \pm \arccos(-\frac{1}{2}) + 2\pi k$, $k \in \mathbb{Z}$

Поскольку $\arccos(-\frac{1}{2}) = \pi - \arccos(\frac{1}{2}) = \pi - \frac{\pi}{3} = \frac{2\pi}{3}$, то:

$x = \pm \frac{2\pi}{3} + 2\pi k$, $k \in \mathbb{Z}$

Ответ: $x = \pm \frac{2\pi}{3} + 2\pi k$, $k \in \mathbb{Z}$.

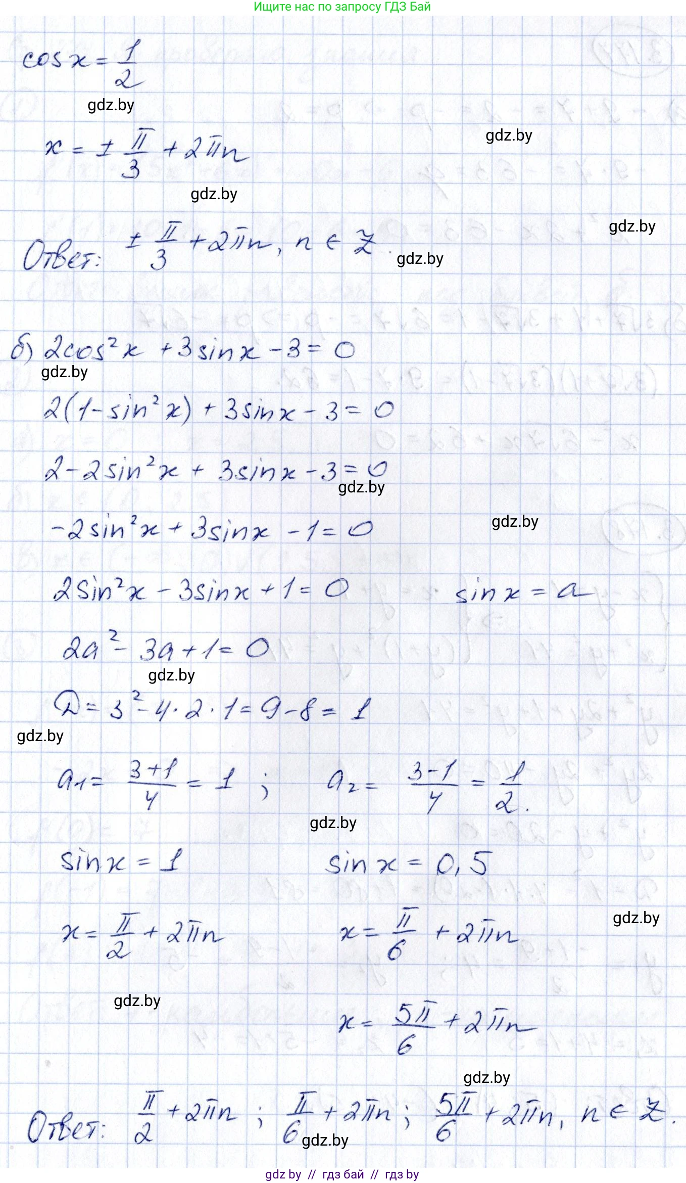
б) Дано уравнение: $2\cos^2 x + 3\sin x - 3 = 0$.

В уравнении присутствуют две разные тригонометрические функции. Приведем его к одной функции, используя основное тригонометрическое тождество $\sin^2 x + \cos^2 x = 1$, из которого $\cos^2 x = 1 - \sin^2 x$.

Подставим это выражение в исходное уравнение:

$2(1 - \sin^2 x) + 3\sin x - 3 = 0$

Раскроем скобки и упростим выражение:

$2 - 2\sin^2 x + 3\sin x - 3 = 0$

$-2\sin^2 x + 3\sin x - 1 = 0$

Умножим обе части уравнения на $-1$, чтобы коэффициент при старшей степени был положительным:

$2\sin^2 x - 3\sin x + 1 = 0$

Это квадратное уравнение относительно $\sin x$. Выполним замену переменной. Пусть $y = \sin x$, где $|y| \le 1$.

Получим уравнение:

$2y^2 - 3y + 1 = 0$

Найдем дискриминант $D$:

$D = (-3)^2 - 4 \cdot 2 \cdot 1 = 9 - 8 = 1$

Найдем корни уравнения для $y$:

$y_1 = \frac{-(-3) - \sqrt{1}}{2 \cdot 2} = \frac{3 - 1}{4} = \frac{2}{4} = \frac{1}{2}$

$y_2 = \frac{-(-3) + \sqrt{1}}{2 \cdot 2} = \frac{3 + 1}{4} = \frac{4}{4} = 1$

Оба корня, $y_1 = \frac{1}{2}$ и $y_2 = 1$, удовлетворяют условию $|y| \le 1$.

Выполним обратную замену $y = \sin x$.

1. $\sin x = \frac{1}{2}$.

Решения этого уравнения находятся по формуле $x = (-1)^n \arcsin(a) + \pi n$, где $n \in \mathbb{Z}$:

$x = (-1)^n \arcsin(\frac{1}{2}) + \pi n$, $n \in \mathbb{Z}$

$x = (-1)^n \frac{\pi}{6} + \pi n$, $n \in \mathbb{Z}$

2. $\sin x = 1$.

Это частный случай, решения которого:

$x = \frac{\pi}{2} + 2\pi k$, где $k \in \mathbb{Z}$

Ответ: $x = (-1)^n \frac{\pi}{6} + \pi n$, $n \in \mathbb{Z}$; $x = \frac{\pi}{2} + 2\pi k$, $k \in \mathbb{Z}$.

Помогло решение? Оставьте отзыв в комментариях ниже.

Присоединяйтесь к Телеграм-группе @gdz_by_belarus

Присоединиться

Мы подготовили для вас ответ c подробным объяснением домашего задания по алгебре за 10 класс, для упражнения номер 3.176 расположенного на странице 274 к учебнику 2019 года издания для учащихся школ и гимназий.

Теперь на нашем сайте ГДЗ.ТОП вы всегда легко и бесплатно найдёте условие с правильным ответом на вопрос «Как решить ДЗ» и «Как сделать» задание по алгебре к упражнению №3.176 (с. 274), авторов: Арефьева (Ирина Глебовна), Пирютко (Ольга Николаевна), учебного пособия издательства Народная асвета.