Номер 3.178, страница 274 - гдз по алгебре 10 класс учебник Арефьева, Пирютко

Алгебра, 10 класс Учебник, авторы: Арефьева Ирина Глебовна, Пирютко Ольга Николаевна, издательство Народная асвета, Минск, 2019, голубого цвета

Авторы: Арефьева И. Г., Пирютко О. Н.

Тип: Учебник

Издательство: Народная асвета

Год издания: 2019 - 2026

Цвет обложки: голубой с графиком

Допущено Министерством образования Республики Беларусь

Популярные ГДЗ в 10 классе

Глава 3. Производная. Параграф 22. Наибольшее и наименьшее значения функции - номер 3.178, страница 274.

№3.178 (с. 274)
Условие. №3.178 (с. 274)
скриншот условия
Алгебра, 10 класс Учебник, авторы: Арефьева Ирина Глебовна, Пирютко Ольга Николаевна, издательство Народная асвета, Минск, 2019, голубого цвета, страница 274, номер 3.178, Условие

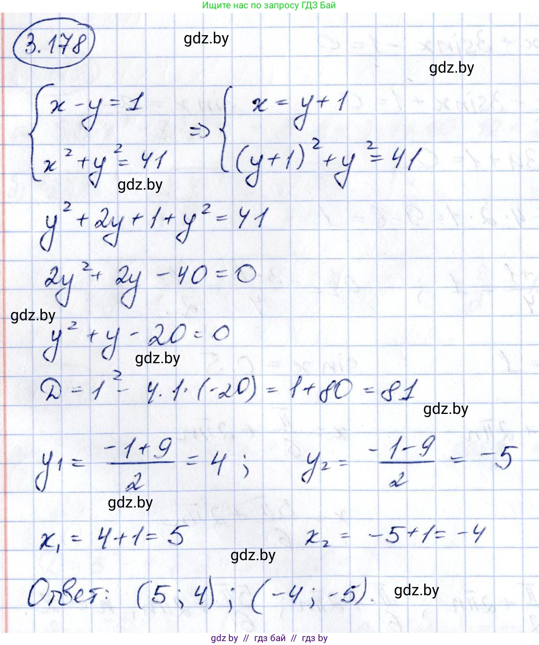
3.178. Решите систему уравнений $\begin{cases} x - y = 1, \\ x^2 + y^2 = 41. \end{cases}$

Решение. №3.178 (с. 274)
Алгебра, 10 класс Учебник, авторы: Арефьева Ирина Глебовна, Пирютко Ольга Николаевна, издательство Народная асвета, Минск, 2019, голубого цвета, страница 274, номер 3.178, Решение
Решение 2. №3.178 (с. 274)

Решим данную систему уравнений методом подстановки.

$$ \begin{cases} x - y = 1 \\ x^2 + y^2 = 41 \end{cases} $$
  1. Из первого, линейного, уравнения выразим переменную $x$ через $y$:
    $x = y + 1$
  2. Подставим полученное выражение для $x$ во второе уравнение системы:
    $(y + 1)^2 + y^2 = 41$
  3. Раскроем скобки, используя формулу квадрата суммы $(a+b)^2 = a^2+2ab+b^2$:
    $y^2 + 2y + 1 + y^2 = 41$
  4. Приведем подобные слагаемые и перенесем все члены в левую часть, чтобы получить стандартное квадратное уравнение:
    $2y^2 + 2y + 1 - 41 = 0$
    $2y^2 + 2y - 40 = 0$
  5. Для упрощения разделим обе части уравнения на 2:
    $y^2 + y - 20 = 0$
  6. Найдем корни полученного квадратного уравнения. Воспользуемся теоремой Виета:
    • Произведение корней $y_1 \cdot y_2 = -20$
    • Сумма корней $y_1 + y_2 = -1$
    Подбором находим корни: $y_1 = 4$ и $y_2 = -5$.
  7. Теперь найдем соответствующие значения $x$ для каждого найденного значения $y$, используя ранее полученную формулу $x = y + 1$:
    • Если $y_1 = 4$, то $x_1 = 4 + 1 = 5$.
    • Если $y_2 = -5$, то $x_2 = -5 + 1 = -4$.

Таким образом, система имеет два решения в виде пар чисел $(x; y)$.

Ответ: $(5; 4)$, $(-4; -5)$.

Помогло решение? Оставьте отзыв в комментариях ниже.

Присоединяйтесь к Телеграм-группе @gdz_by_belarus

Присоединиться

Мы подготовили для вас ответ c подробным объяснением домашего задания по алгебре за 10 класс, для упражнения номер 3.178 расположенного на странице 274 к учебнику 2019 года издания для учащихся школ и гимназий.

Теперь на нашем сайте ГДЗ.ТОП вы всегда легко и бесплатно найдёте условие с правильным ответом на вопрос «Как решить ДЗ» и «Как сделать» задание по алгебре к упражнению №3.178 (с. 274), авторов: Арефьева (Ирина Глебовна), Пирютко (Ольга Николаевна), учебного пособия издательства Народная асвета.