Номер 10, страница 275 - гдз по алгебре 10 класс учебник Арефьева, Пирютко

Алгебра, 10 класс Учебник, авторы: Арефьева Ирина Глебовна, Пирютко Ольга Николаевна, издательство Народная асвета, Минск, 2019, голубого цвета

Авторы: Арефьева И. Г., Пирютко О. Н.

Тип: Учебник

Издательство: Народная асвета

Год издания: 2019 - 2026

Цвет обложки: голубой с графиком

Допущено Министерством образования Республики Беларусь

Популярные ГДЗ в 10 классе

Глава 3. Производная. Я проверяю свои знания - номер 10, страница 275.

№10 (с. 275)
Условие. №10 (с. 275)
скриншот условия
Алгебра, 10 класс Учебник, авторы: Арефьева Ирина Глебовна, Пирютко Ольга Николаевна, издательство Народная асвета, Минск, 2019, голубого цвета, страница 275, номер 10, Условие

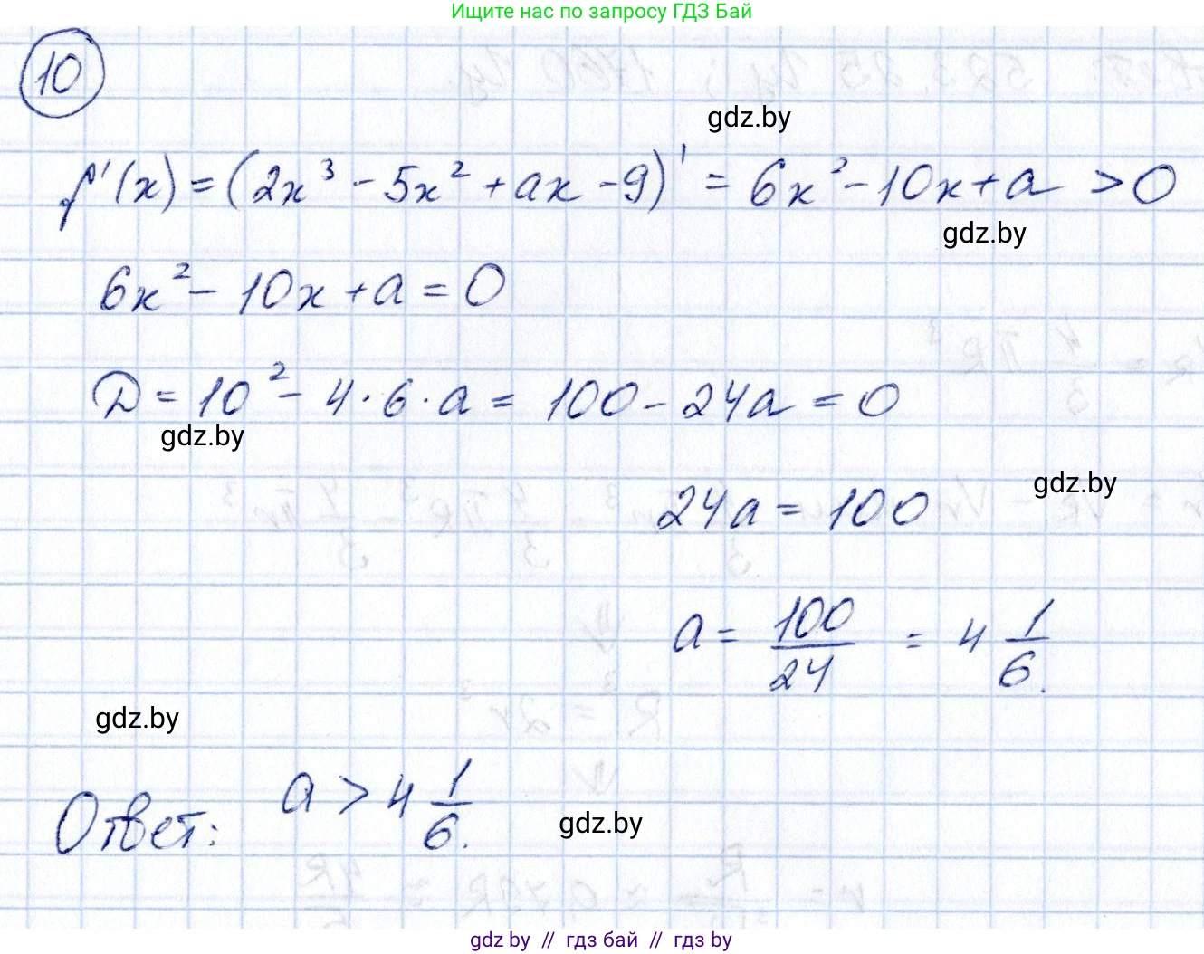
10. Найдите, при каких значениях $a$ функция $f(x) = 2x^3 - 5x^2 + ax - 9$ возрастает для всех действительных $x$.

Решение. №10 (с. 275)
Алгебра, 10 класс Учебник, авторы: Арефьева Ирина Глебовна, Пирютко Ольга Николаевна, издательство Народная асвета, Минск, 2019, голубого цвета, страница 275, номер 10, Решение
Решение 2. №10 (с. 275)

Для того чтобы функция $f(x)$ была возрастающей на всей числовой оси, её производная $f'(x)$ должна быть неотрицательной для всех действительных значений $x$, то есть должно выполняться условие $f'(x) \ge 0$.

Найдем производную данной функции $f(x) = 2x^3 - 5x^2 + ax - 9$:

$f'(x) = (2x^3 - 5x^2 + ax - 9)' = 6x^2 - 10x + a$

Теперь необходимо решить неравенство $f'(x) \ge 0$ для всех $x$:

$6x^2 - 10x + a \ge 0$

Это квадратичное неравенство относительно $x$. Графиком функции $y = 6x^2 - 10x + a$ является парабола. Поскольку коэффициент при $x^2$ (равный 6) положителен, ветви параболы направлены вверх.

Чтобы данное неравенство выполнялось для всех значений $x$, парабола должна находиться не ниже оси абсцисс, то есть может касаться её или не иметь с ней общих точек. Это возможно только в том случае, если дискриминант $D$ квадратного трёхчлена $6x^2 - 10x + a$ меньше или равен нулю ($D \le 0$).

Вычислим дискриминант:

$D = (-10)^2 - 4 \cdot 6 \cdot a = 100 - 24a$

Решим неравенство $D \le 0$ относительно $a$:

$100 - 24a \le 0$

$100 \le 24a$

$a \ge \frac{100}{24}$

Сократим дробь, разделив числитель и знаменатель на 4:

$a \ge \frac{25}{6}$

Чтобы выделить целую часть, преобразуем неправильную дробь $\frac{25}{6}$ в смешанное число:

$\frac{25}{6} = 4\frac{1}{6}$

Таким образом, функция возрастает при $a \ge 4\frac{1}{6}$.

Ответ: $a \ge \boldsymbol{4}\frac{1}{6}$

Помогло решение? Оставьте отзыв в комментариях ниже.

Присоединяйтесь к Телеграм-группе @gdz_by_belarus

Присоединиться

Мы подготовили для вас ответ c подробным объяснением домашего задания по алгебре за 10 класс, для упражнения номер 10 расположенного на странице 275 к учебнику 2019 года издания для учащихся школ и гимназий.

Теперь на нашем сайте ГДЗ.ТОП вы всегда легко и бесплатно найдёте условие с правильным ответом на вопрос «Как решить ДЗ» и «Как сделать» задание по алгебре к упражнению №10 (с. 275), авторов: Арефьева (Ирина Глебовна), Пирютко (Ольга Николаевна), учебного пособия издательства Народная асвета.