Номер 364, страница 87 - гдз по химии 10 класс сборник задач Матулис, Матулис

Химия, 10 класс Сборник задач, авторы: Матулис Вадим Эдвардович, Матулис Виталий Эдвардович, Колевич Татьяна Александровна, издательство Национальный институт образования, Минск, 2021

Авторы: Матулис В. Э., Матулис В. Э., Колевич Т. А.

Тип: Сборник задач

Издательство: Национальный институт образования

Год издания: 2021 - 2026

Уровень обучения: базовый и повышенный

Цвет обложки: синий

ISBN: 978-985-594-959-7

Допущено Министерством образования Республики Беларусь

Популярные ГДЗ в 10 классе

Глава 2. Углеводороды. 2.4. Алкины - номер 364, страница 87.

№364 (с. 87)
Условие. №364 (с. 87)
скриншот условия
Химия, 10 класс Сборник задач, авторы: Матулис Вадим Эдвардович, Матулис Виталий Эдвардович, Колевич Татьяна Александровна, издательство Национальный институт образования, Минск, 2021, страница 87, номер 364, Условие

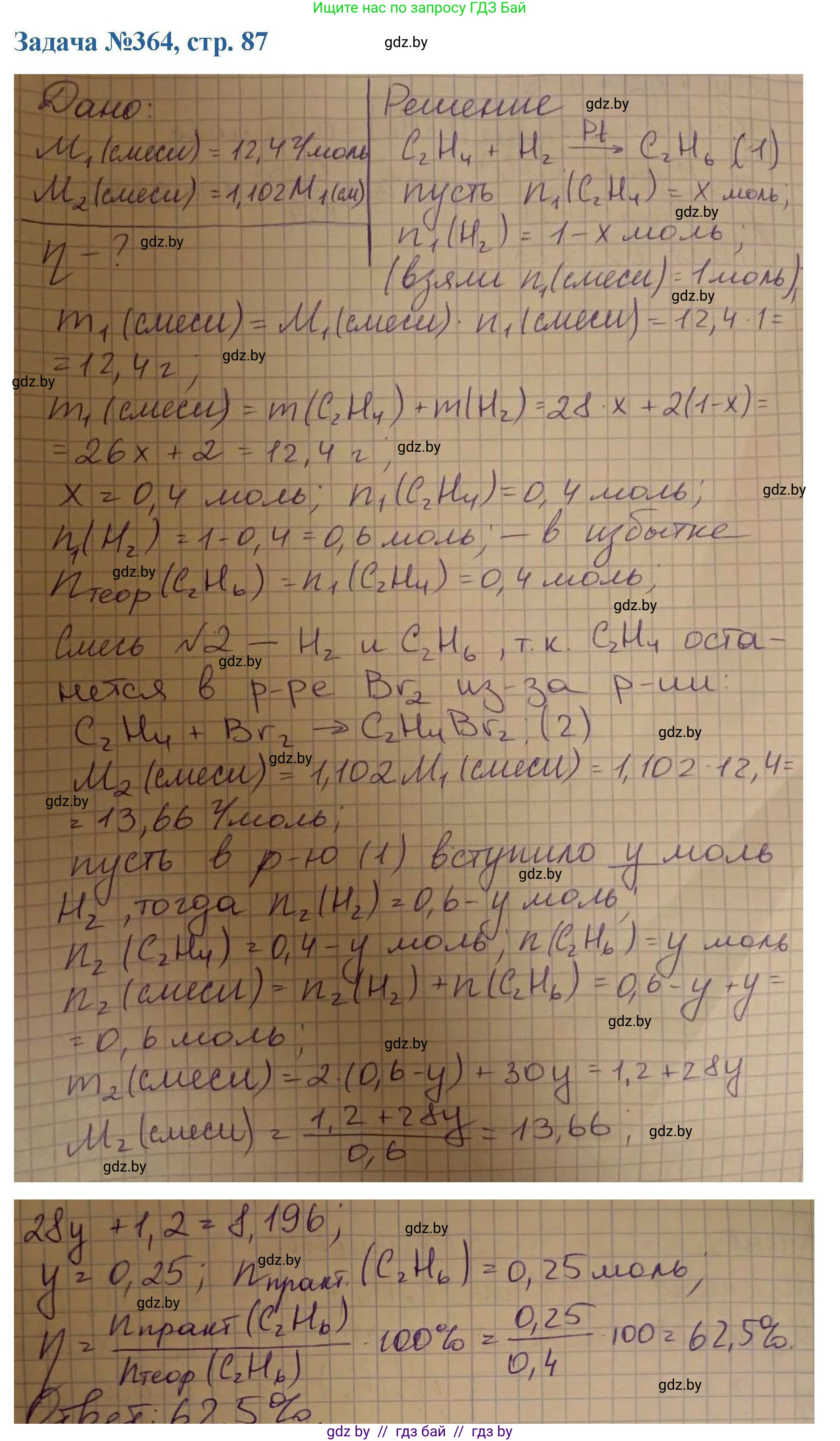
364. Молярная масса смеси этилена и водорода равна $12,4 \text{ г/моль}$. Смесь пропустили над платиновым катализатором, а затем через избыток бромной воды. В результате этих операций молярная масса газовой смеси увеличилась на 10,2 %. Рассчитайте выход продукта реакции.

Решение. №364 (с. 87)
Химия, 10 класс Сборник задач, авторы: Матулис Вадим Эдвардович, Матулис Виталий Эдвардович, Колевич Татьяна Александровна, издательство Национальный институт образования, Минск, 2021, страница 87, номер 364, Решение
Решение 2. №364 (с. 87)

Дано:

Смесь газов: этилен ($C_2H_4$) и водород ($H_2$)

Молярная масса исходной смеси $M_1 = 12,4 \text{ г/моль}$

Увеличение молярной массы конечной смеси: $10,2 \%$

Найти:

Выход продукта реакции гидрирования $\eta$

Решение:

1. Найдем мольные доли компонентов в исходной газовой смеси. Молярные массы: $M(C_2H_4) = 28 \text{ г/моль}$, $M(H_2) = 2 \text{ г/моль}$.

Пусть мольная доля этилена в смеси равна $x$, тогда мольная доля водорода равна $(1-x)$. Средняя молярная масса смеси вычисляется по формуле:

$M_1 = x \cdot M(C_2H_4) + (1-x) \cdot M(H_2)$

Подставим известные значения:

$12,4 = x \cdot 28 + (1-x) \cdot 2$

$12,4 = 28x + 2 - 2x$

$10,4 = 26x$

$x = \frac{10,4}{26} = 0,4$

Таким образом, мольная доля этилена $C_2H_4$ составляет 0,4 (или 40%), а мольная доля водорода $H_2$ составляет $1 - 0,4 = 0,6$ (или 60%).

Для удобства расчетов примем, что изначально было взято 1 моль смеси. Тогда в ней содержалось 0,4 моль $C_2H_4$ и 0,6 моль $H_2$.

2. Запишем уравнения протекающих процессов.

а) Реакция гидрирования этилена на платиновом катализаторе с образованием этана:

$C_2H_4 + H_2 \xrightarrow{Pt} C_2H_6$

Из соотношения начальных количеств веществ (0,4 моль $C_2H_4$ и 0,6 моль $H_2$) видно, что этилен находится в недостатке и является лимитирующим реагентом. Выход реакции рассчитывается по нему.

б) Пропускание через избыток бромной воды. С бромной водой реагирует только непрореагировавший этилен, который удаляется из газовой фазы:

$C_2H_4(ост.) + Br_2(водн.) \rightarrow C_2H_4Br_2$

Этан ($C_2H_6$) и водород ($H_2$) с бромной водой не реагируют и составляют конечную газовую смесь.

3. Рассчитаем состав и молярную массу конечной газовой смеси.

Пусть в реакцию гидрирования вступило $z$ моль этилена. Тогда, согласно уравнению реакции, также прореагировало $z$ моль водорода и образовалось $z$ моль этана.

Количество веществ в газовой смеси после реакции с бромной водой:

Количество этана: $n(C_2H_6) = z \text{ моль}$

Количество оставшегося водорода: $n(H_2) = (0,6 - z) \text{ моль}$

Общее количество вещества в конечной газовой смеси ($n_2$):

$n_2 = n(C_2H_6) + n(H_2) = z + (0,6 - z) = 0,6 \text{ моль}$

Масса конечной газовой смеси ($m_2$) равна сумме масс этана и водорода. Молярная масса этана $M(C_2H_6) = 30 \text{ г/моль}$.

$m_2 = n(C_2H_6) \cdot M(C_2H_6) + n(H_2) \cdot M(H_2)$

$m_2 = z \cdot 30 + (0,6 - z) \cdot 2 = 30z + 1,2 - 2z = (28z + 1,2) \text{ г}$

Молярная масса конечной смеси ($M_2$) равна:

$M_2 = \frac{m_2}{n_2} = \frac{28z + 1,2}{0,6}$

4. Найдем количество прореагировавшего этилена ($z$), используя данные об увеличении молярной массы.

Молярная масса конечной смеси увеличилась на 10,2% по сравнению с исходной:

$M_2 = M_1 \cdot (1 + \frac{10,2}{100}) = 12,4 \cdot 1,102 = 13,6648 \text{ г/моль}$

Приравняем два выражения для $M_2$:

$\frac{28z + 1,2}{0,6} = 13,6648$

$28z + 1,2 = 13,6648 \cdot 0,6$

$28z + 1,2 = 8,19888$

$28z = 6,99888$

$z \approx 0,25 \text{ моль}$

Это количество этилена, которое вступило в реакцию гидрирования.

5. Рассчитаем выход продукта реакции ($\eta$).

Выход реакции — это отношение практически полученного количества продукта (или прореагировавшего исходного вещества) к теоретически возможному.

Теоретически в реакцию могло вступить 0,4 моль этилена (так как он в недостатке).

$\eta = \frac{n_{практ}(C_2H_4)}{n_{теор}(C_2H_4)} = \frac{z}{0,4} = \frac{0,25}{0,4} = 0,625$

В процентах выход реакции составляет $0,625 \cdot 100\% = 62,5\%$.

Ответ: Выход продукта реакции составляет 62,5%.

Помогло решение? Оставьте отзыв в комментариях ниже.

Присоединяйтесь к Телеграм-группе @gdz_by_belarus

Присоединиться

Мы подготовили для вас ответ c подробным объяснением домашего задания по химии за 10 класс, для упражнения номер 364 расположенного на странице 87 к сборнику задач 2021 года издания для учащихся школ и гимназий.

Теперь на нашем сайте ГДЗ.ТОП вы всегда легко и бесплатно найдёте условие с правильным ответом на вопрос «Как решить ДЗ» и «Как сделать» задание по химии к упражнению №364 (с. 87), авторов: Матулис (Вадим Эдвардович), Матулис (Виталий Эдвардович), Колевич (Татьяна Александровна), базовый и повышенный уровень обучения учебного пособия издательства Национальный институт образования.