Номер 707, страница 158 - гдз по химии 10 класс сборник задач Матулис, Матулис

Химия, 10 класс Сборник задач, авторы: Матулис Вадим Эдвардович, Матулис Виталий Эдвардович, Колевич Татьяна Александровна, издательство Национальный институт образования, Минск, 2021

Авторы: Матулис В. Э., Матулис В. Э., Колевич Т. А.

Тип: Сборник задач

Издательство: Национальный институт образования

Год издания: 2021 - 2026

Уровень обучения: базовый и повышенный

Цвет обложки: синий

ISBN: 978-985-594-959-7

Допущено Министерством образования Республики Беларусь

Популярные ГДЗ в 10 классе

Глава 3. Кислородсодержащие органические соединения. 3.5. Сложные эфиры. Жиры - номер 707, страница 158.

№707 (с. 158)
Условие. №707 (с. 158)
скриншот условия
Химия, 10 класс Сборник задач, авторы: Матулис Вадим Эдвардович, Матулис Виталий Эдвардович, Колевич Татьяна Александровна, издательство Национальный институт образования, Минск, 2021, страница 158, номер 707, Условие Химия, 10 класс Сборник задач, авторы: Матулис Вадим Эдвардович, Матулис Виталий Эдвардович, Колевич Татьяна Александровна, издательство Национальный институт образования, Минск, 2021, страница 158, номер 707, Условие (продолжение 2)

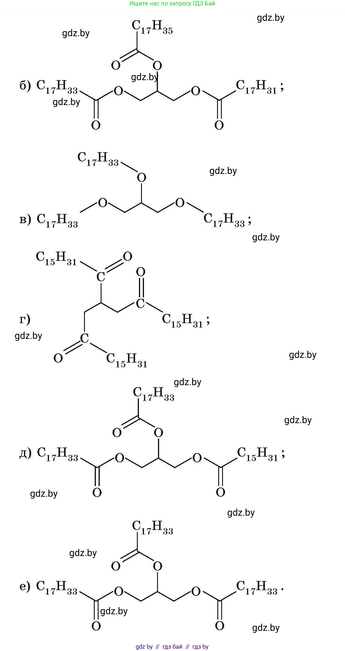
707. Жир (триглицерид) полностью прогидрировали. Продукт реакции обработали избытком водного раствора гидроксида калия. В результате было получено только два вещества: глицерин и стеарат калия. Укажите возможные формулы жира:

а) $ \text{C}_{17}\text{H}_{33}\text{C}(=\text{O})\text{CH}(\text{CH}_2\text{C}(=\text{O})\text{C}_{17}\text{H}_{33})\text{CH}_2\text{C}(=\text{O})\text{C}_{17}\text{H}_{33} $

б) $ \text{C}_{17}\text{H}_{35}\text{COO}-\text{CH}_2-\text{CH}(\text{OOC}\ \text{C}_{17}\text{H}_{33})-\text{CH}_2-\text{OOC}\ \text{C}_{17}\text{H}_{31} $

в) $ \text{C}_{17}\text{H}_{33}\text{COO}-\text{CH}_2-\text{CH}(\text{OOC}\ \text{C}_{17}\text{H}_{33})-\text{CH}_2-\text{OOC}\ \text{C}_{17}\text{H}_{33} $

г) $ \text{C}_{15}\text{H}_{31}\text{C}(=\text{O})\text{CH}(\text{CH}_2\text{C}(=\text{O})\text{C}_{15}\text{H}_{31})\text{CH}_2\text{C}(=\text{O})\text{C}_{15}\text{H}_{31} $

д) $ \text{C}_{17}\text{H}_{33}\text{COO}-\text{CH}_2-\text{CH}(\text{OOC}\ \text{C}_{17}\text{H}_{33})-\text{CH}_2-\text{OOC}\ \text{C}_{15}\text{H}_{31} $

е) $ \text{C}_{17}\text{H}_{33}\text{COO}-\text{CH}_2-\text{CH}(\text{OOC}\ \text{C}_{17}\text{H}_{33})-\text{CH}_2-\text{OOC}\ \text{C}_{17}\text{H}_{33} $

Решение. №707 (с. 158)
Химия, 10 класс Сборник задач, авторы: Матулис Вадим Эдвардович, Матулис Виталий Эдвардович, Колевич Татьяна Александровна, издательство Национальный институт образования, Минск, 2021, страница 158, номер 707, Решение
Решение 2. №707 (с. 158)

Решение

В задаче описана двухстадийная обработка жира (триглицерида). Разберем каждый этап.

1. Полное гидрирование. Это реакция присоединения водорода по всем кратным связям (двойным, тройным) в углеводородных радикалах жирных кислот. В результате гидрирования все ненасыщенные жирнокислотные остатки становятся насыщенными.

2. Щелочной гидролиз (омыление) продукта гидрирования. Триглицерид реагирует с гидроксидом калия ($KOH$), образуя трехатомный спирт глицерин и соли высших карбоновых кислот (мыла).

По условию, конечными продуктами являются только глицерин ($C_3H_5(OH)_3$) и стеарат калия ($C_{17}H_{35}COOK$). Стеарат калия — это соль стеариновой кислоты ($C_{17}H_{35}COOH$). Тот факт, что в продуктах омыления присутствует только один вид соли, означает, что прогидрированный жир является триглицеридом, состоящим из остатков только одной кислоты — стеариновой. Такой жир называется тристеарин, его формула $(C_{17}H_{35}COO)_3C_3H_5$.

Следовательно, исходный жир должен быть таким, чтобы после полного гидрирования он превратился в тристеарин. Это возможно только в том случае, если все три остатка жирных кислот в исходном жире имеют по 18 атомов углерода (радикал $C_{17}H_x$). При гидрировании все они превратятся в остаток стеариновой кислоты (радикал $C_{17}H_{35}$).

Проанализируем предложенные формулы.

а) Представленная структура не является триглицеридом (сложным эфиром глицерина и жирных кислот). Это трикетон, который не является жиром и не будет гидролизоваться с образованием глицерина.

Ответ: Неверно.

б) Эта формула представляет собой триглицерид, в состав которого входят остатки трех разных жирных кислот: стеариновой ($C_{17}H_{35}COOH$), олеиновой ($C_{17}H_{33}COOH$) и линолевой ($C_{17}H_{31}COOH$). Все три кислоты содержат по 18 атомов углерода. При полном гидрировании остатки олеиновой и линолевой кислот превратятся в остаток стеариновой кислоты:
$C_{17}H_{33}COO- \xrightarrow{+H_2} C_{17}H_{35}COO-$
$C_{17}H_{31}COO- \xrightarrow{+2H_2} C_{17}H_{35}COO-$
В результате образуется тристеарин, омыление которого даст глицерин и стеарат калия. Эта формула удовлетворяет условию задачи.

Ответ: Верно.

в) Данное соединение является простым эфиром (триэфир глицерина), а не сложным. Простые эфиры не подвергаются щелочному гидролизу в указанных условиях.

Ответ: Неверно.

г) Эта структура, как и в пункте а), не является триглицеридом. Кроме того, углеводородные радикалы ($C_{15}H_{31}$) соответствуют пальмитиновой кислоте (16 атомов углерода), а не стеариновой (18 атомов углерода).

Ответ: Неверно.

д) Это триглицерид, но в его состав входит остаток пальмитиновой кислоты ($C_{15}H_{31}COOH$), которая содержит 16 атомов углерода. После гидрирования и последующего омыления в продуктах реакции, помимо стеарата калия, будет также присутствовать пальмитат калия ($C_{15}H_{31}COOK$), что противоречит условию задачи.

Ответ: Неверно.

е) Это формула триолеина — триглицерида, состоящего из трех остатков олеиновой кислоты ($C_{17}H_{33}COOH$). Олеиновая кислота содержит 18 атомов углерода. При полном гидрировании все три остатка превратятся в остатки стеариновой кислоты, образуя тристеарин. Последующее омыление тристеарина даст глицерин и стеарат калия, что соответствует условию.

Ответ: Верно.

Помогло решение? Оставьте отзыв в комментариях ниже.

Присоединяйтесь к Телеграм-группе @gdz_by_belarus

Присоединиться

Мы подготовили для вас ответ c подробным объяснением домашего задания по химии за 10 класс, для упражнения номер 707 расположенного на странице 158 к сборнику задач 2021 года издания для учащихся школ и гимназий.

Теперь на нашем сайте ГДЗ.ТОП вы всегда легко и бесплатно найдёте условие с правильным ответом на вопрос «Как решить ДЗ» и «Как сделать» задание по химии к упражнению №707 (с. 158), авторов: Матулис (Вадим Эдвардович), Матулис (Виталий Эдвардович), Колевич (Татьяна Александровна), базовый и повышенный уровень обучения учебного пособия издательства Национальный институт образования.