Номер 1, страница 30 - гдз по алгебре 11 класс сборник задач Арефьева, Пирютко

Алгебра, 11 класс Сборник задач, авторы: Арефьева Ирина Глебовна, Пирютко Ольга Николаевна, издательство Народная асвета, Минск, 2020, белого цвета

Авторы: Арефьева И. Г., Пирютко О. Н.

Тип: Сборник задач

Издательство: Народная асвета

Год издания: 2020 - 2026

Уровень обучения: базовый и повышенный

Цвет обложки: белый с графиком

Допущено Министерством образования Республики Беларусь

Популярные ГДЗ в 11 классе

Глава 2. Показательная функция. Параграф 5. Показательные уравнения - номер 1, страница 30.

№1 (с. 30)
Условие. №1 (с. 30)
скриншот условия
Алгебра, 11 класс Сборник задач, авторы: Арефьева Ирина Глебовна, Пирютко Ольга Николаевна, издательство Народная асвета, Минск, 2020, белого цвета, страница 30, номер 1, Условие

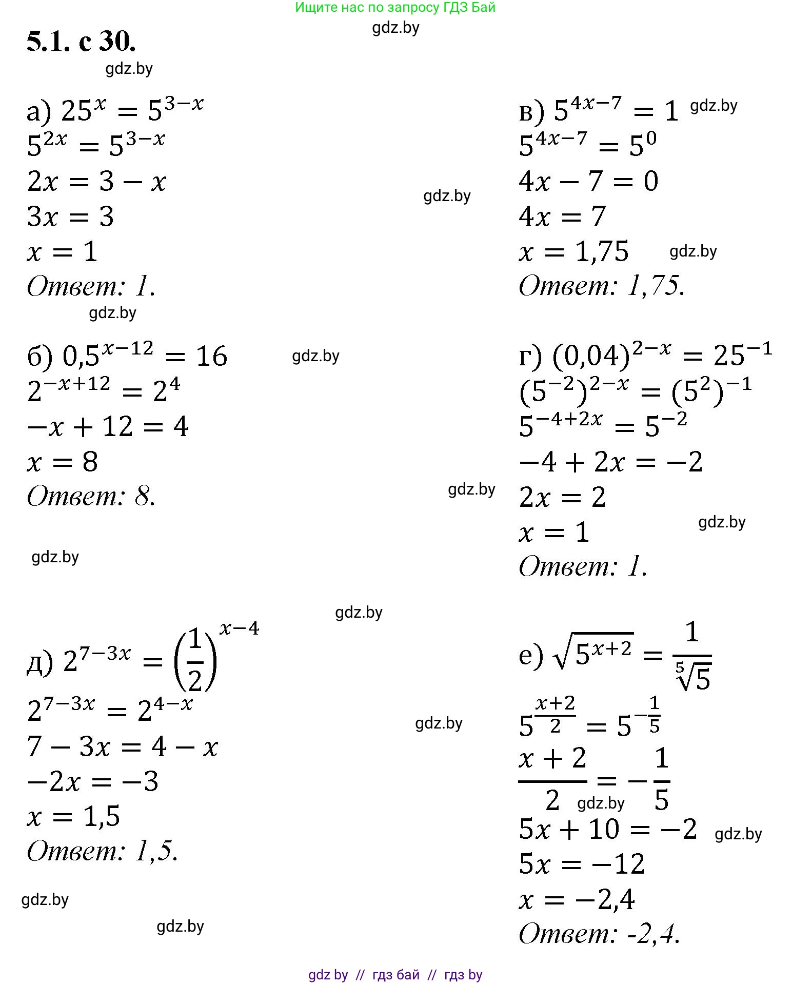
5.1. Решите уравнение:

а) $25^x = 5^{3-x}$;

б) $0,5^{x-12} = 16$;

в) $5^{4x-7} = 1$;

г) $(0,04)^{2-x} = 25^{-1}$;

д) $2^{7-3x} = \left(\frac{1}{2}\right)^{x-4}$;

е) $\sqrt{5^{x+2}} = \frac{1}{\sqrt[3]{5}}$.

Решение. №1 (с. 30)
Алгебра, 11 класс Сборник задач, авторы: Арефьева Ирина Глебовна, Пирютко Ольга Николаевна, издательство Народная асвета, Минск, 2020, белого цвета, страница 30, номер 1, Решение
Решение 2. №1 (с. 30)

a) $25^x = 5^{3-x}$
Чтобы решить показательное уравнение, приведем обе его части к одному основанию. В данном случае это основание 5.
Поскольку $25 = 5^2$, левую часть уравнения можно переписать:
$(5^2)^x = 5^{3-x}$
$5^{2x} = 5^{3-x}$
Так как основания степеней равны, мы можем приравнять их показатели:
$2x = 3 - x$
$2x + x = 3$
$3x = 3$
$x = 1$
Ответ: 1

б) $0,5^{x-12} = 16$
Приведем обе части уравнения к основанию 2.
$0,5 = \frac{1}{2} = 2^{-1}$ и $16 = 2^4$.
Подставим эти значения в исходное уравнение:
$(2^{-1})^{x-12} = 2^4$
$2^{-(x-12)} = 2^4$
$2^{12-x} = 2^4$
Приравниваем показатели степеней:
$12 - x = 4$
$x = 12 - 4$
$x = 8$
Ответ: 8

в) $5^{4x-7} = 1$
Представим правую часть уравнения как степень с основанием 5. Любое число (кроме нуля) в нулевой степени равно 1, поэтому $1 = 5^0$.
$5^{4x-7} = 5^0$
Приравниваем показатели степеней:
$4x - 7 = 0$
$4x = 7$
$x = \frac{7}{4}$
Выделим целую часть из неправильной дроби:
$x = 1\frac{3}{4}$
Ответ: $1\frac{3}{4}$

г) $(0,04)^{2-x} = 25^{-1}$
Приведем обе части к основанию 5.
$0,04 = \frac{4}{100} = \frac{1}{25} = 5^{-2}$.
Также $25^{-1} = (5^2)^{-1} = 5^{-2}$.
Подставим преобразованные выражения в уравнение:
$(5^{-2})^{2-x} = 5^{-2}$
$5^{-2(2-x)} = 5^{-2}$
$5^{-4+2x} = 5^{-2}$
Приравниваем показатели:
$-4 + 2x = -2$
$2x = -2 + 4$
$2x = 2$
$x = 1$
Ответ: 1

д) $2^{7-3x} = (\frac{1}{2})^{x-4}$
Приведем обе части к основанию 2.
$\frac{1}{2} = 2^{-1}$.
Подставим это в правую часть уравнения:
$2^{7-3x} = (2^{-1})^{x-4}$
$2^{7-3x} = 2^{-(x-4)}$
$2^{7-3x} = 2^{4-x}$
Приравниваем показатели степеней:
$7 - 3x = 4 - x$
$7 - 4 = 3x - x$
$3 = 2x$
$x = \frac{3}{2}$
Выделим целую часть из неправильной дроби:
$x = 1\frac{1}{2}$
Ответ: $1\frac{1}{2}$

е) $\sqrt{5^{x+2}} = \frac{1}{\sqrt[5]{5}}$
Представим обе части уравнения в виде степеней с основанием 5.
Левая часть: $\sqrt{5^{x+2}} = (5^{x+2})^{\frac{1}{2}} = 5^{\frac{x+2}{2}}$.
Правая часть: $\frac{1}{\sqrt[5]{5}} = \frac{1}{5^{\frac{1}{5}}} = 5^{-\frac{1}{5}}$.
Получаем уравнение:
$5^{\frac{x+2}{2}} = 5^{-\frac{1}{5}}$
Приравниваем показатели:
$\frac{x+2}{2} = -\frac{1}{5}$
Чтобы избавиться от знаменателей, умножим обе части на 10:
$5(x+2) = -2$
$5x + 10 = -2$
$5x = -12$
$x = -\frac{12}{5}$
Выделим целую часть из неправильной дроби:
$x = -2\frac{2}{5}$
Ответ: $-2\frac{2}{5}$

Помогло решение? Оставьте отзыв в комментариях ниже.

Присоединяйтесь к Телеграм-группе @gdz_by_belarus

Присоединиться

Мы подготовили для вас ответ c подробным объяснением домашего задания по алгебре за 11 класс, для упражнения номер 1 расположенного на странице 30 к сборнику задач 2020 года издания для учащихся школ и гимназий.

Теперь на нашем сайте ГДЗ.ТОП вы всегда легко и бесплатно найдёте условие с правильным ответом на вопрос «Как решить ДЗ» и «Как сделать» задание по алгебре к упражнению №1 (с. 30), авторов: Арефьева (Ирина Глебовна), Пирютко (Ольга Николаевна), базовый и повышенный уровень обучения учебного пособия издательства Народная асвета.