Номер 1.15, страница 14 - гдз по алгебре 11 класс учебник Арефьева, Пирютко

Алгебра, 11 класс Учебник, авторы: Арефьева Ирина Глебовна, Пирютко Ольга Николаевна, издательство Народная асвета, Минск, 2020, бирюзового цвета

Авторы: Арефьева И. Г., Пирютко О. Н.

Тип: Учебник

Издательство: Народная асвета

Год издания: 2020 - 2026

Цвет обложки: бирюзовый, зелёный с графиком

ISBN: 978-985-03-3165-6

Популярные ГДЗ в 11 классе

Глава 1. Обобщение понятия степени. Параграф 1. Степень с рациональным показателем и ее свойства. Степень с действительным показателем - номер 1.15, страница 14.

№1.15 (с. 14)
Условие. №1.15 (с. 14)
скриншот условия
Алгебра, 11 класс Учебник, авторы: Арефьева Ирина Глебовна, Пирютко Ольга Николаевна, издательство Народная асвета, Минск, 2020, бирюзового цвета, страница 14, номер 1.15, Условие

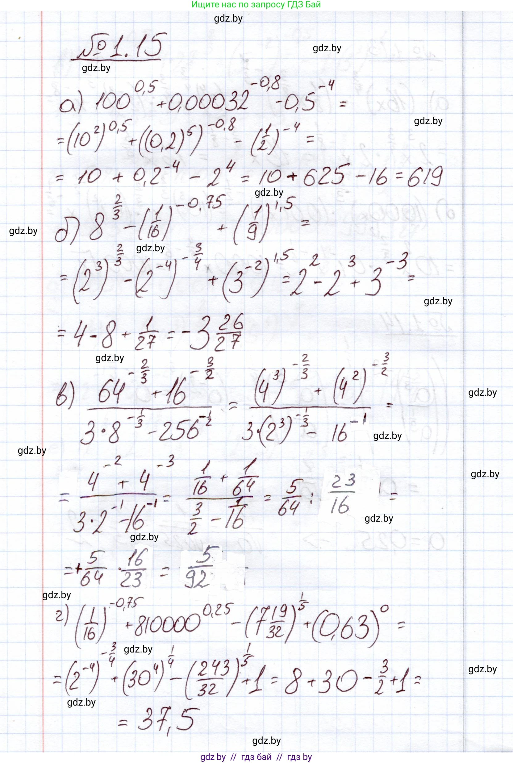
1.15. Определите порядок действий и вычислите:

а) $100^{0,5} + 0,00032^{-0,8} - 0,5^{-4};$

б) $8^{\frac{2}{3}} - \left(\frac{1}{16}\right)^{-0,75} + \left(\frac{1}{9}\right)^{1,5};$

в) $\frac{64^{-\frac{2}{3}} + 16^{-\frac{3}{2}}}{3 \cdot 8^{-\frac{1}{3}} - 256^{-\frac{1}{2}}};$

г) $\left(\frac{1}{16}\right)^{-0,75} + 810000^{0,25} - \left(7\frac{19}{32}\right)^{\frac{1}{5}} + (0,63)^0.$

Решение. №1.15 (с. 14)
Алгебра, 11 класс Учебник, авторы: Арефьева Ирина Глебовна, Пирютко Ольга Николаевна, издательство Народная асвета, Минск, 2020, бирюзового цвета, страница 14, номер 1.15, Решение
Решение 2. №1.15 (с. 14)

а) $100^{0,5} + 0,00032^{-0,8} - 0,5^{-4}$

Порядок действий: сначала выполняем возведение в степень для каждого члена выражения, а затем выполняем сложение и вычитание слева направо. Для удобства вычислений представим десятичные дроби и показатели степени в виде обыкновенных дробей.

1. Вычислим первый член:
$100^{0,5} = 100^{1/2} = \sqrt{100} = 10$.

2. Вычислим второй член. Представим основание $0,00032$ и показатель степени $-0,8$ в виде дробей:
$0,00032 = \frac{32}{100000} = \frac{2^5}{10^5} = (\frac{2}{10})^5 = (\frac{1}{5})^5$.
$-0,8 = -\frac{8}{10} = -\frac{4}{5}$.
Тогда $0,00032^{-0,8} = ((\frac{1}{5})^5)^{-4/5} = (\frac{1}{5})^{5 \cdot (-4/5)} = (\frac{1}{5})^{-4} = 5^4 = 625$.

3. Вычислим третий член:
$0,5^{-4} = (\frac{1}{2})^{-4} = 2^4 = 16$.

4. Теперь выполним сложение и вычитание полученных результатов:
$10 + 625 - 16 = 635 - 16 = 619$.

Ответ: 619

б) $8^{2/3} - (\frac{1}{16})^{-0,75} + (\frac{1}{9})^{1,5}$

Порядок действий аналогичен предыдущему примеру. Сначала возводим в степень, затем выполняем вычитание и сложение. Десятичные показатели степени переведем в обыкновенные дроби.

1. Вычислим первый член:
$8^{2/3} = (2^3)^{2/3} = 2^{3 \cdot (2/3)} = 2^2 = 4$.

2. Вычислим второй член. Показатель степени $-0,75 = -\frac{3}{4}$.
$(\frac{1}{16})^{-0,75} = (16^{-1})^{-3/4} = 16^{3/4} = (2^4)^{3/4} = 2^{4 \cdot (3/4)} = 2^3 = 8$.

3. Вычислим третий член. Показатель степени $1,5 = \frac{3}{2}$.
$(\frac{1}{9})^{1,5} = (9^{-1})^{3/2} = 9^{-3/2} = (3^2)^{-3/2} = 3^{2 \cdot (-3/2)} = 3^{-3} = \frac{1}{3^3} = \frac{1}{27}$.

4. Выполним арифметические действия:
$4 - 8 + \frac{1}{27} = -4 + \frac{1}{27} = -3\frac{27}{27} + \frac{1}{27} = -3\frac{26}{27}$.

Ответ: $-3\frac{26}{27}$

в) $\frac{64^{-2/3} + 16^{-3/2}}{3 \cdot 8^{-1/3} - 256^{-1/2}}$

Порядок действий: сначала вычисляем значения в числителе и знаменателе, затем делим результат числителя на результат знаменателя. В числителе и знаменателе сначала выполняем возведение в степень, а затем сложение или вычитание.

1. Вычислим значение числителя: $64^{-2/3} + 16^{-3/2}$.
$64^{-2/3} = (4^3)^{-2/3} = 4^{-2} = \frac{1}{16}$.
$16^{-3/2} = (4^2)^{-3/2} = 4^{-3} = \frac{1}{64}$.
Сумма в числителе: $\frac{1}{16} + \frac{1}{64} = \frac{4}{64} + \frac{1}{64} = \frac{5}{64}$.

2. Вычислим значение знаменателя: $3 \cdot 8^{-1/3} - 256^{-1/2}$.
$3 \cdot 8^{-1/3} = 3 \cdot (2^3)^{-1/3} = 3 \cdot 2^{-1} = \frac{3}{2}$.
$256^{-1/2} = (16^2)^{-1/2} = 16^{-1} = \frac{1}{16}$.
Разность в знаменателе: $\frac{3}{2} - \frac{1}{16} = \frac{24}{16} - \frac{1}{16} = \frac{23}{16}$.

3. Разделим числитель на знаменатель:
$\frac{5/64}{23/16} = \frac{5}{64} \cdot \frac{16}{23} = \frac{5 \cdot 16}{64 \cdot 23} = \frac{5}{4 \cdot 23} = \frac{5}{92}$.

Ответ: $\frac{5}{92}$

г) $(\frac{1}{16})^{-0,75} + 810000^{0,25} - (7\frac{19}{32})^{1/5} + (0,63)^0$

Вычисляем значение каждого слагаемого по порядку, а затем выполняем сложение и вычитание.

1. Вычислим первый член:
$(\frac{1}{16})^{-0,75} = (16^{-1})^{-3/4} = 16^{3/4} = (2^4)^{3/4} = 2^3 = 8$.

2. Вычислим второй член. Показатель $0,25 = \frac{1}{4}$.
$810000^{0,25} = (81 \cdot 10000)^{1/4} = (3^4 \cdot 10^4)^{1/4} = ((30)^4)^{1/4} = 30$.

3. Вычислим третий член. Сначала преобразуем смешанное число в неправильную дробь:
$7\frac{19}{32} = \frac{7 \cdot 32 + 19}{32} = \frac{224+19}{32} = \frac{243}{32}$.
Теперь возводим в степень: $(\frac{243}{32})^{1/5} = (\frac{3^5}{2^5})^{1/5} = ((\frac{3}{2})^5)^{1/5} = \frac{3}{2} = 1,5$.

4. Вычислим четвертый член. Любое ненулевое число в степени 0 равно 1:
$(0,63)^0 = 1$.

5. Выполним арифметические действия с полученными результатами:
$8 + 30 - 1,5 + 1 = 38 - 1,5 + 1 = 36,5 + 1 = 37,5$.

Ответ: 37,5

Помогло решение? Оставьте отзыв в комментариях ниже.

Присоединяйтесь к Телеграм-группе @gdz_by_belarus

Присоединиться

Мы подготовили для вас ответ c подробным объяснением домашего задания по алгебре за 11 класс, для упражнения номер 1.15 расположенного на странице 14 к учебнику 2020 года издания для учащихся школ и гимназий.

Теперь на нашем сайте ГДЗ.ТОП вы всегда легко и бесплатно найдёте условие с правильным ответом на вопрос «Как решить ДЗ» и «Как сделать» задание по алгебре к упражнению №1.15 (с. 14), авторов: Арефьева (Ирина Глебовна), Пирютко (Ольга Николаевна), учебного пособия издательства Народная асвета.