Номер 1.22, страница 15 - гдз по алгебре 11 класс учебник Арефьева, Пирютко

Алгебра, 11 класс Учебник, авторы: Арефьева Ирина Глебовна, Пирютко Ольга Николаевна, издательство Народная асвета, Минск, 2020, бирюзового цвета

Авторы: Арефьева И. Г., Пирютко О. Н.

Тип: Учебник

Издательство: Народная асвета

Год издания: 2020 - 2026

Цвет обложки: бирюзовый, зелёный с графиком

ISBN: 978-985-03-3165-6

Популярные ГДЗ в 11 классе

Глава 1. Обобщение понятия степени. Параграф 1. Степень с рациональным показателем и ее свойства. Степень с действительным показателем - номер 1.22, страница 15.

№1.22 (с. 15)
Условие. №1.22 (с. 15)
скриншот условия
Алгебра, 11 класс Учебник, авторы: Арефьева Ирина Глебовна, Пирютко Ольга Николаевна, издательство Народная асвета, Минск, 2020, бирюзового цвета, страница 15, номер 1.22, Условие

1.22. Сократите дробь:

a) $ \frac{a - 36}{a^{1/2} + 6} $;

б) $ \frac{a^{1/14} - b^{1/14}}{a^{1/7} - b^{1/7}} $;

В) $ \frac{a + 2a^{1/2}b^{1/2} + b}{ab^{1/2} + a^{1/2}b} $;

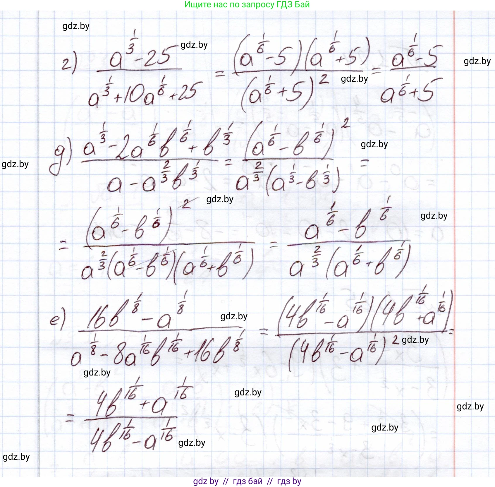
Г) $ \frac{a^{1/3} - 25}{a^{1/3} + 10a^{1/6} + 25} $;

Д) $ \frac{a^{1/3} - 2a^{1/6}b^{1/6} + b^{1/3}}{a^{1/2} - a^{1/3}b^{1/3}} $;

е) $ \frac{16b^{1/8} - a^{1/8}}{a^{1/8} - 8a^{1/16}b^{1/16} + 16b^{1/8}} $.

Решение. №1.22 (с. 15)
Алгебра, 11 класс Учебник, авторы: Арефьева Ирина Глебовна, Пирютко Ольга Николаевна, издательство Народная асвета, Минск, 2020, бирюзового цвета, страница 15, номер 1.22, Решение Алгебра, 11 класс Учебник, авторы: Арефьева Ирина Глебовна, Пирютко Ольга Николаевна, издательство Народная асвета, Минск, 2020, бирюзового цвета, страница 15, номер 1.22, Решение (продолжение 2)
Решение 2. №1.22 (с. 15)

а) Представим числитель дроби $a - 36$ как разность квадратов, учитывая, что $a = (a^{\frac{1}{2}})^2$ и $36 = 6^2$.
$a - 36 = (a^{\frac{1}{2}})^2 - 6^2 = (a^{\frac{1}{2}} - 6)(a^{\frac{1}{2}} + 6)$.
Теперь можем сократить дробь:
$\frac{a - 36}{a^{\frac{1}{2}} + 6} = \frac{(a^{\frac{1}{2}} - 6)(a^{\frac{1}{2}} + 6)}{a^{\frac{1}{2}} + 6} = a^{\frac{1}{2}} - 6$.
Ответ: $a^{\frac{1}{2}} - 6$.

б) Исходная дробь: $\frac{\frac{1}{a^{14}} - \frac{1}{b^{14}}}{\frac{1}{a^7} - \frac{1}{b^7}}$.
Приведем к общему знаменателю выражения в числителе и знаменателе дроби.
Числитель: $\frac{1}{a^{14}} - \frac{1}{b^{14}} = \frac{b^{14} - a^{14}}{a^{14}b^{14}}$.
Знаменатель: $\frac{1}{a^7} - \frac{1}{b^7} = \frac{b^7 - a^7}{a^7 b^7}$.
Получаем многоэтажную дробь:
$\frac{\frac{b^{14} - a^{14}}{a^{14}b^{14}}}{\frac{b^7 - a^7}{a^7 b^7}} = \frac{b^{14} - a^{14}}{a^{14}b^{14}} \cdot \frac{a^7 b^7}{b^7 - a^7}$.
Разложим $b^{14} - a^{14}$ как разность квадратов: $b^{14} - a^{14} = (b^7)^2 - (a^7)^2 = (b^7 - a^7)(b^7 + a^7)$.
Подставим и сократим:
$\frac{(b^7 - a^7)(b^7 + a^7)}{a^{14}b^{14}} \cdot \frac{a^7 b^7}{b^7 - a^7} = \frac{b^7 + a^7}{a^{14}b^{14}} \cdot a^7 b^7 = \frac{b^7 + a^7}{a^7 b^7}$.
Ответ: $\frac{a^7 + b^7}{a^7 b^7}$.

в) Числитель $a + 2a^{\frac{1}{2}}b^{\frac{1}{2}} + b$ является формулой квадрата суммы: $(a^{\frac{1}{2}})^2 + 2a^{\frac{1}{2}}b^{\frac{1}{2}} + (b^{\frac{1}{2}})^2 = (a^{\frac{1}{2}} + b^{\frac{1}{2}})^2$.
В знаменателе $ab^{\frac{1}{2}} + a^{\frac{1}{2}}b$ вынесем за скобки общий множитель $a^{\frac{1}{2}}b^{\frac{1}{2}}$:
$a^{\frac{1}{2}} \cdot a^{\frac{1}{2}} \cdot b^{\frac{1}{2}} + a^{\frac{1}{2}} \cdot b^{\frac{1}{2}} \cdot b^{\frac{1}{2}} = a^{\frac{1}{2}}b^{\frac{1}{2}}(a^{\frac{1}{2}} + b^{\frac{1}{2}})$.
Теперь сократим дробь:
$\frac{(a^{\frac{1}{2}} + b^{\frac{1}{2}})^2}{a^{\frac{1}{2}}b^{\frac{1}{2}}(a^{\frac{1}{2}} + b^{\frac{1}{2}})} = \frac{a^{\frac{1}{2}} + b^{\frac{1}{2}}}{a^{\frac{1}{2}}b^{\frac{1}{2}}}$.
Ответ: $\frac{a^{\frac{1}{2}} + b^{\frac{1}{2}}}{a^{\frac{1}{2}}b^{\frac{1}{2}}}$.

г) Числитель $a^{\frac{1}{3}} - 25$ можно представить как разность квадратов: $(a^{\frac{1}{6}})^2 - 5^2 = (a^{\frac{1}{6}} - 5)(a^{\frac{1}{6}} + 5)$.
Знаменатель $a^{\frac{1}{3}} + 10a^{\frac{1}{6}} + 25$ является квадратом суммы: $(a^{\frac{1}{6}})^2 + 2 \cdot 5 \cdot a^{\frac{1}{6}} + 5^2 = (a^{\frac{1}{6}} + 5)^2$.
Сокращаем дробь:
$\frac{(a^{\frac{1}{6}} - 5)(a^{\frac{1}{6}} + 5)}{(a^{\frac{1}{6}} + 5)^2} = \frac{a^{\frac{1}{6}} - 5}{a^{\frac{1}{6}} + 5}$.
Ответ: $\frac{a^{\frac{1}{6}} - 5}{a^{\frac{1}{6}} + 5}$.

д) Числитель $a^{\frac{1}{3}} - 2a^{\frac{1}{6}}b^{\frac{1}{6}} + b^{\frac{1}{3}}$ является квадратом разности: $(a^{\frac{1}{6}} - b^{\frac{1}{6}})^2$.
В знаменателе $a - a^{\frac{2}{3}}b^{\frac{1}{3}}$ вынесем за скобки общий множитель $a^{\frac{2}{3}}$: $a^{\frac{2}{3}}(a^{\frac{1}{3}} - b^{\frac{1}{3}})$.
Выражение в скобках $a^{\frac{1}{3}} - b^{\frac{1}{3}}$ разложим как разность квадратов: $(a^{\frac{1}{6}})^2 - (b^{\frac{1}{6}})^2 = (a^{\frac{1}{6}} - b^{\frac{1}{6}})(a^{\frac{1}{6}} + b^{\frac{1}{6}})$.
Получаем:
$\frac{(a^{\frac{1}{6}} - b^{\frac{1}{6}})^2}{a^{\frac{2}{3}}(a^{\frac{1}{6}} - b^{\frac{1}{6}})(a^{\frac{1}{6}} + b^{\frac{1}{6}})}$.
Сокращаем на $(a^{\frac{1}{6}} - b^{\frac{1}{6}})$:
$\frac{a^{\frac{1}{6}} - b^{\frac{1}{6}}}{a^{\frac{2}{3}}(a^{\frac{1}{6}} + b^{\frac{1}{6}})}$.
Ответ: $\frac{a^{\frac{1}{6}} - b^{\frac{1}{6}}}{a^{\frac{2}{3}}(a^{\frac{1}{6}} + b^{\frac{1}{6}})}$.

е) Числитель $16b^{\frac{1}{8}} - a^{\frac{1}{8}}$ является разностью квадратов: $(4b^{\frac{1}{16}})^2 - (a^{\frac{1}{16}})^2 = (4b^{\frac{1}{16}} - a^{\frac{1}{16}})(4b^{\frac{1}{16}} + a^{\frac{1}{16}})$.
Знаменатель $a^{\frac{1}{8}} - 8a^{\frac{1}{16}}b^{\frac{1}{16}} + 16b^{\frac{1}{8}}$ является квадратом разности: $(a^{\frac{1}{16}})^2 - 2 \cdot a^{\frac{1}{16}} \cdot (4b^{\frac{1}{16}}) + (4b^{\frac{1}{16}})^2 = (a^{\frac{1}{16}} - 4b^{\frac{1}{16}})^2$.
Запишем дробь:
$\frac{(4b^{\frac{1}{16}} - a^{\frac{1}{16}})(4b^{\frac{1}{16}} + a^{\frac{1}{16}})}{(a^{\frac{1}{16}} - 4b^{\frac{1}{16}})^2}$.
Так как $4b^{\frac{1}{16}} - a^{\frac{1}{16}} = -(a^{\frac{1}{16}} - 4b^{\frac{1}{16}})$, мы можем переписать числитель:
$\frac{-(a^{\frac{1}{16}} - 4b^{\frac{1}{16}})(a^{\frac{1}{16}} + 4b^{\frac{1}{16}})}{(a^{\frac{1}{16}} - 4b^{\frac{1}{16}})^2}$.
Сокращаем на $(a^{\frac{1}{16}} - 4b^{\frac{1}{16}})$:
$\frac{-(a^{\frac{1}{16}} + 4b^{\frac{1}{16}})}{a^{\frac{1}{16}} - 4b^{\frac{1}{16}}} = \frac{a^{\frac{1}{16}} + 4b^{\frac{1}{16}}}{-(a^{\frac{1}{16}} - 4b^{\frac{1}{16}})} = \frac{a^{\frac{1}{16}} + 4b^{\frac{1}{16}}}{4b^{\frac{1}{16}} - a^{\frac{1}{16}}}$.
Ответ: $\frac{a^{\frac{1}{16}} + 4b^{\frac{1}{16}}}{4b^{\frac{1}{16}} - a^{\frac{1}{16}}}$.

Помогло решение? Оставьте отзыв в комментариях ниже.

Присоединяйтесь к Телеграм-группе @gdz_by_belarus

Присоединиться

Мы подготовили для вас ответ c подробным объяснением домашего задания по алгебре за 11 класс, для упражнения номер 1.22 расположенного на странице 15 к учебнику 2020 года издания для учащихся школ и гимназий.

Теперь на нашем сайте ГДЗ.ТОП вы всегда легко и бесплатно найдёте условие с правильным ответом на вопрос «Как решить ДЗ» и «Как сделать» задание по алгебре к упражнению №1.22 (с. 15), авторов: Арефьева (Ирина Глебовна), Пирютко (Ольга Николаевна), учебного пособия издательства Народная асвета.