Номер 1.51, страница 18 - гдз по алгебре 11 класс учебник Арефьева, Пирютко

Алгебра, 11 класс Учебник, авторы: Арефьева Ирина Глебовна, Пирютко Ольга Николаевна, издательство Народная асвета, Минск, 2020, бирюзового цвета

Авторы: Арефьева И. Г., Пирютко О. Н.

Тип: Учебник

Издательство: Народная асвета

Год издания: 2020 - 2026

Цвет обложки: бирюзовый, зелёный с графиком

ISBN: 978-985-03-3165-6

Популярные ГДЗ в 11 классе

Глава 1. Обобщение понятия степени. Параграф 1. Степень с рациональным показателем и ее свойства. Степень с действительным показателем - номер 1.51, страница 18.

№1.51 (с. 18)
Условие. №1.51 (с. 18)
скриншот условия
Алгебра, 11 класс Учебник, авторы: Арефьева Ирина Глебовна, Пирютко Ольга Николаевна, издательство Народная асвета, Минск, 2020, бирюзового цвета, страница 18, номер 1.51, Условие

1.51. Упростите выражение

$\left( \frac{x}{x^{\frac{1}{2}}y^{\frac{1}{2}} + y} - \frac{y^{\frac{1}{2}}}{x^{\frac{1}{2}} + y^{\frac{1}{2}}} \right) : \frac{x^{\frac{1}{2}} - y^{\frac{1}{2}}}{y^{\frac{1}{2}}}

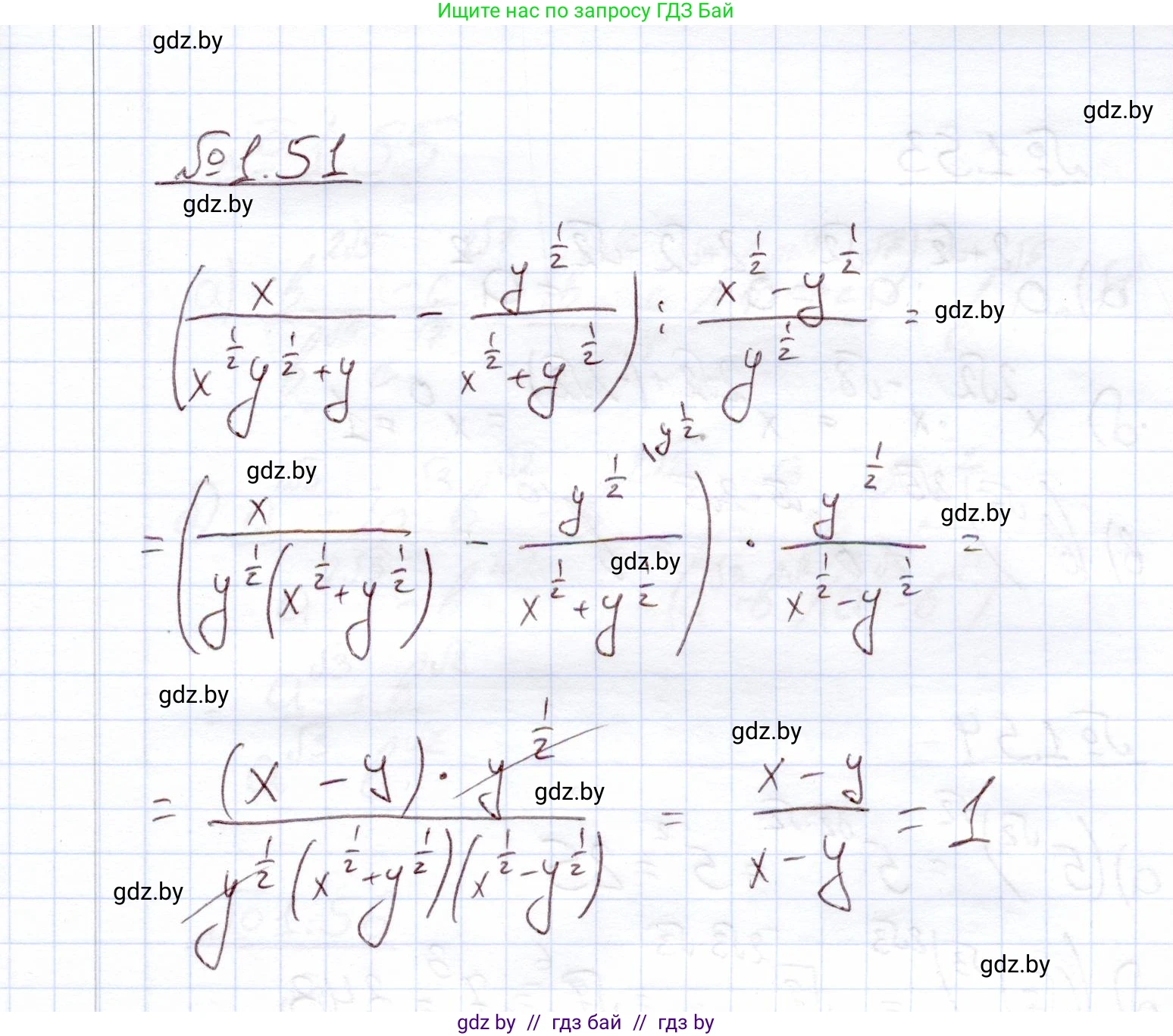
Решение. №1.51 (с. 18)
Алгебра, 11 класс Учебник, авторы: Арефьева Ирина Глебовна, Пирютко Ольга Николаевна, издательство Народная асвета, Минск, 2020, бирюзового цвета, страница 18, номер 1.51, Решение
Решение 2. №1.51 (с. 18)

1.51.

Для упрощения данного выражения выполним действия по порядку. Сначала выполним вычитание в скобках, а затем деление.

1. Выполним вычитание дробей в скобках. Исходное выражение в скобках:

$$ \frac{x}{x^{\frac{1}{2}} y^{\frac{1}{2}} + y} - \frac{y^{\frac{1}{2}}}{x^{\frac{1}{2}} + y^{\frac{1}{2}}} $$

Преобразуем знаменатель первой дроби, вынеся за скобки общий множитель $y^{\frac{1}{2}}$:

$$ x^{\frac{1}{2}} y^{\frac{1}{2}} + y = x^{\frac{1}{2}} y^{\frac{1}{2}} + (y^{\frac{1}{2}})^2 = y^{\frac{1}{2}}(x^{\frac{1}{2}} + y^{\frac{1}{2}}) $$

Теперь приведем дроби к общему знаменателю $y^{\frac{1}{2}}(x^{\frac{1}{2}} + y^{\frac{1}{2}})$. Для этого домножим числитель и знаменатель второй дроби на $y^{\frac{1}{2}}$:

$$ \frac{x}{y^{\frac{1}{2}}(x^{\frac{1}{2}} + y^{\frac{1}{2}})} - \frac{y^{\frac{1}{2}} \cdot y^{\frac{1}{2}}}{y^{\frac{1}{2}}(x^{\frac{1}{2}} + y^{\frac{1}{2}})} = \frac{x-y}{y^{\frac{1}{2}}(x^{\frac{1}{2}} + y^{\frac{1}{2}})} $$

Разложим числитель $x-y$ на множители по формуле разности квадратов $a^2-b^2 = (a-b)(a+b)$, представив $x = (x^{\frac{1}{2}})^2$ и $y = (y^{\frac{1}{2}})^2$:

$$ x - y = (x^{\frac{1}{2}} - y^{\frac{1}{2}})(x^{\frac{1}{2}} + y^{\frac{1}{2}}) $$

Подставим разложенный числитель обратно в дробь и сократим общий множитель $(x^{\frac{1}{2}} + y^{\frac{1}{2}})$:

$$ \frac{(x^{\frac{1}{2}} - y^{\frac{1}{2}})(x^{\frac{1}{2}} + y^{\frac{1}{2}})}{y^{\frac{1}{2}}(x^{\frac{1}{2}} + y^{\frac{1}{2}})} = \frac{x^{\frac{1}{2}} - y^{\frac{1}{2}}}{y^{\frac{1}{2}}} $$

2. Теперь выполним деление результата, полученного в первом действии, на вторую дробь из исходного выражения:

$$ \frac{x^{\frac{1}{2}} - y^{\frac{1}{2}}}{y^{\frac{1}{2}}} : \frac{x^{\frac{1}{2}} - y^{\frac{1}{2}}}{y^{\frac{1}{2}}} $$

Деление выражения на само себя дает в результате 1 (при условии, что делитель не равен нулю, то есть $x \ne y$). Чтобы показать это, заменим деление на умножение на обратную дробь:

$$ \frac{x^{\frac{1}{2}} - y^{\frac{1}{2}}}{y^{\frac{1}{2}}} \cdot \frac{y^{\frac{1}{2}}}{x^{\frac{1}{2}} - y^{\frac{1}{2}}} = 1 $$

Ответ: 1

Помогло решение? Оставьте отзыв в комментариях ниже.

Присоединяйтесь к Телеграм-группе @gdz_by_belarus

Присоединиться

Мы подготовили для вас ответ c подробным объяснением домашего задания по алгебре за 11 класс, для упражнения номер 1.51 расположенного на странице 18 к учебнику 2020 года издания для учащихся школ и гимназий.

Теперь на нашем сайте ГДЗ.ТОП вы всегда легко и бесплатно найдёте условие с правильным ответом на вопрос «Как решить ДЗ» и «Как сделать» задание по алгебре к упражнению №1.51 (с. 18), авторов: Арефьева (Ирина Глебовна), Пирютко (Ольга Николаевна), учебного пособия издательства Народная асвета.