Номер 1.54, страница 19 - гдз по алгебре 11 класс учебник Арефьева, Пирютко

Алгебра, 11 класс Учебник, авторы: Арефьева Ирина Глебовна, Пирютко Ольга Николаевна, издательство Народная асвета, Минск, 2020, бирюзового цвета

Авторы: Арефьева И. Г., Пирютко О. Н.

Тип: Учебник

Издательство: Народная асвета

Год издания: 2020 - 2026

Цвет обложки: бирюзовый, зелёный с графиком

ISBN: 978-985-03-3165-6

Популярные ГДЗ в 11 классе

Глава 1. Обобщение понятия степени. Параграф 1. Степень с рациональным показателем и ее свойства. Степень с действительным показателем - номер 1.54, страница 19.

№1.54 (с. 19)
Условие. №1.54 (с. 19)
скриншот условия
Алгебра, 11 класс Учебник, авторы: Арефьева Ирина Глебовна, Пирютко Ольга Николаевна, издательство Народная асвета, Минск, 2020, бирюзового цвета, страница 19, номер 1.54, Условие

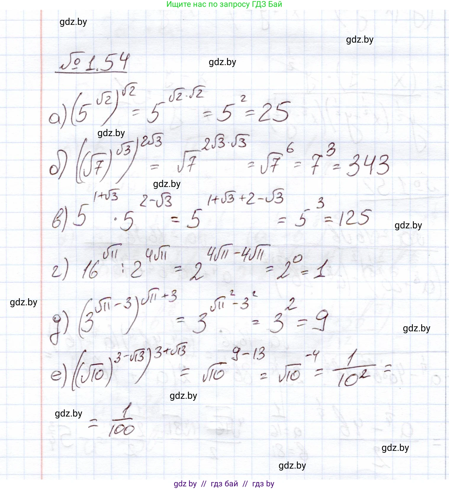
1.54. Найдите значение выражения, используя свойства степени с действительным показателем:

а) $(5^{\sqrt{2}})^{\sqrt{2}}$;

б) $((\sqrt{7})^{\sqrt{3}})^{2\sqrt{3}}$;

в) $5^{1+\sqrt{3}} \cdot 5^{2-\sqrt{3}}$;

г) $16^{\sqrt{11}} : 2^{4\sqrt{11}}$;

д) $(3^{\sqrt{11}-3})^{\sqrt{11}+3}$;

е) $((\sqrt{10})^{3-\sqrt{13}})^{3+\sqrt{13}}$.

Решение. №1.54 (с. 19)
Алгебра, 11 класс Учебник, авторы: Арефьева Ирина Глебовна, Пирютко Ольга Николаевна, издательство Народная асвета, Минск, 2020, бирюзового цвета, страница 19, номер 1.54, Решение
Решение 2. №1.54 (с. 19)

а) Для решения данного выражения воспользуемся свойством возведения степени в степень: $(a^m)^n = a^{m \cdot n}$.
В нашем случае основание $a=5$, а показатели степеней $m=\sqrt{2}$ и $n=\sqrt{2}$.
Применяем свойство:
$(5^{\sqrt{2}})^{\sqrt{2}} = 5^{\sqrt{2} \cdot \sqrt{2}} = 5^2 = 25$.
Ответ: $25$.

б) Сначала представим корень как степень с дробным показателем: $\sqrt{7} = 7^{1/2}$.
Выражение примет вид: $((7^{1/2})^{\sqrt{3}})^{2\sqrt{3}}$.
Теперь применим свойство возведения степени в степень $(a^m)^n = a^{m \cdot n}$ дважды, перемножив все показатели:
$7^{\frac{1}{2} \cdot \sqrt{3} \cdot 2\sqrt{3}} = 7^{\frac{1}{2} \cdot 2 \cdot (\sqrt{3} \cdot \sqrt{3})} = 7^{1 \cdot 3} = 7^3$.
Вычисляем значение:
$7^3 = 7 \cdot 7 \cdot 7 = 49 \cdot 7 = 343$.
Ответ: $343$.

в) В этом примере используем свойство умножения степеней с одинаковым основанием: $a^m \cdot a^n = a^{m+n}$.
Основание $a=5$, показатели степеней $m=1+\sqrt{5}$ и $n=2-\sqrt{5}$.
Складываем показатели:
$5^{(1+\sqrt{5}) + (2-\sqrt{5})} = 5^{1+2+\sqrt{5}-\sqrt{5}} = 5^3$.
Вычисляем результат:
$5^3 = 5 \cdot 5 \cdot 5 = 125$.
Ответ: $125$.

г) Для решения необходимо привести степени к одному основанию. Заметим, что $16 = 2^4$.
Подставим это в исходное выражение:
$16^{\sqrt{11}} : 2^{4\sqrt{11}} = (2^4)^{\sqrt{11}} : 2^{4\sqrt{11}}$.
Упростим первую часть, используя свойство $(a^m)^n = a^{m \cdot n}$:
$(2^4)^{\sqrt{11}} = 2^{4 \cdot \sqrt{11}} = 2^{4\sqrt{11}}$.
Теперь выражение выглядит так: $2^{4\sqrt{11}} : 2^{4\sqrt{11}}$.
Используем свойство деления степеней с одинаковым основанием $a^m : a^n = a^{m-n}$:
$2^{4\sqrt{11} - 4\sqrt{11}} = 2^0 = 1$.
Ответ: $1$.

д) Используем свойство возведения степени в степень: $(a^m)^n = a^{m \cdot n}$.
$(3^{\sqrt{11}-3})^{\sqrt{11}+3} = 3^{(\sqrt{11}-3)(\sqrt{11}+3)}$.
Выражение в показателе степени представляет собой формулу разности квадратов $(x-y)(x+y) = x^2 - y^2$.
$(\sqrt{11}-3)(\sqrt{11}+3) = (\sqrt{11})^2 - 3^2 = 11 - 9 = 2$.
Таким образом, исходное выражение равно:
$3^2 = 9$.
Ответ: $9$.

е) Преобразуем выражение, представив $\sqrt{10}$ как $10^{1/2}$ и применив свойство $(a^m)^n = a^{m \cdot n}$:
$((\sqrt{10})^{3-\sqrt{13}})^{3+\sqrt{13}} = ((10^{1/2})^{3-\sqrt{13}})^{3+\sqrt{13}} = 10^{\frac{1}{2} \cdot (3-\sqrt{13}) \cdot (3+\sqrt{13})}$.
Произведение в показателе $(3-\sqrt{13})(3+\sqrt{13})$ является разностью квадратов:
$(3-\sqrt{13})(3+\sqrt{13}) = 3^2 - (\sqrt{13})^2 = 9 - 13 = -4$.
Теперь вычислим весь показатель степени:
$\frac{1}{2} \cdot (-4) = -2$.
В итоге получаем:
$10^{-2} = \frac{1}{10^2} = \frac{1}{100}$.
Ответ: $\frac{1}{100}$.

Помогло решение? Оставьте отзыв в комментариях ниже.

Присоединяйтесь к Телеграм-группе @gdz_by_belarus

Присоединиться

Мы подготовили для вас ответ c подробным объяснением домашего задания по алгебре за 11 класс, для упражнения номер 1.54 расположенного на странице 19 к учебнику 2020 года издания для учащихся школ и гимназий.

Теперь на нашем сайте ГДЗ.ТОП вы всегда легко и бесплатно найдёте условие с правильным ответом на вопрос «Как решить ДЗ» и «Как сделать» задание по алгебре к упражнению №1.54 (с. 19), авторов: Арефьева (Ирина Глебовна), Пирютко (Ольга Николаевна), учебного пособия издательства Народная асвета.