Номер 2.100, страница 73 - гдз по алгебре 11 класс учебник Арефьева, Пирютко

Алгебра, 11 класс Учебник, авторы: Арефьева Ирина Глебовна, Пирютко Ольга Николаевна, издательство Народная асвета, Минск, 2020, бирюзового цвета

Авторы: Арефьева И. Г., Пирютко О. Н.

Тип: Учебник

Издательство: Народная асвета

Год издания: 2020 - 2026

Цвет обложки: бирюзовый, зелёный с графиком

ISBN: 978-985-03-3165-6

Популярные ГДЗ в 11 классе

Глава 2. Показательная функция. Параграф 5. Показательные уравнения - номер 2.100, страница 73.

№2.100 (с. 73)
Условие. №2.100 (с. 73)
скриншот условия
Алгебра, 11 класс Учебник, авторы: Арефьева Ирина Глебовна, Пирютко Ольга Николаевна, издательство Народная асвета, Минск, 2020, бирюзового цвета, страница 73, номер 2.100, Условие

2.100. Решите уравнение:

a) $2^{x^2-1} - 3^{x^2} = 3^{x^2-1} - 2^{x^2+2}$;

б) $25^{x-1} - 9^{2x-2} + 8 \cdot 5^{2x-3} = 4 \cdot 9^{2x-3}$;

в) $\sqrt{3^{46-x}} - 7\sqrt{3^{42-x}} = 162$.

Решение. №2.100 (с. 73)
Алгебра, 11 класс Учебник, авторы: Арефьева Ирина Глебовна, Пирютко Ольга Николаевна, издательство Народная асвета, Минск, 2020, бирюзового цвета, страница 73, номер 2.100, Решение Алгебра, 11 класс Учебник, авторы: Арефьева Ирина Глебовна, Пирютко Ольга Николаевна, издательство Народная асвета, Минск, 2020, бирюзового цвета, страница 73, номер 2.100, Решение (продолжение 2)
Решение 2. №2.100 (с. 73)

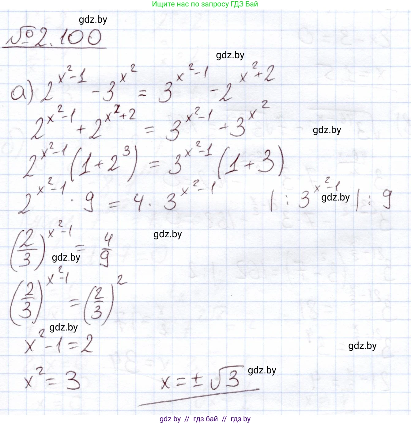
а) $2^{x^2-1} - 3^{x^2} = 3^{x^2-1} - 2^{x^2+2}$

Сгруппируем слагаемые с одинаковыми основаниями в разных частях уравнения. Для этого перенесем члены с основанием 2 в левую часть, а с основанием 3 - в правую:

$2^{x^2-1} + 2^{x^2+2} = 3^{x^2-1} + 3^{x^2}$

Воспользуемся свойствами степеней $a^{m+n} = a^m \cdot a^n$ и вынесем общий множитель за скобки в каждой части уравнения.

В левой части вынесем $2^{x^2-1}$:

$2^{x^2-1} + 2^{x^2-1+3} = 2^{x^2-1} + 2^{x^2-1} \cdot 2^3 = 2^{x^2-1}(1 + 2^3) = 2^{x^2-1}(1+8) = 9 \cdot 2^{x^2-1}$

В правой части вынесем $3^{x^2-1}$:

$3^{x^2-1} + 3^{x^2-1+1} = 3^{x^2-1} + 3^{x^2-1} \cdot 3^1 = 3^{x^2-1}(1 + 3) = 4 \cdot 3^{x^2-1}$

Теперь уравнение имеет вид:

$9 \cdot 2^{x^2-1} = 4 \cdot 3^{x^2-1}$

Разделим обе части уравнения на $3^{x^2-1}$ (это выражение всегда положительно) и на 9:

$\frac{2^{x^2-1}}{3^{x^2-1}} = \frac{4}{9}$

Используя свойство $(\frac{a}{b})^m = \frac{a^m}{b^m}$ и зная, что $\frac{4}{9} = (\frac{2}{3})^2$, получим:

$(\frac{2}{3})^{x^2-1} = (\frac{2}{3})^2$

Так как основания степеней равны, мы можем приравнять их показатели:

$x^2 - 1 = 2$

$x^2 = 3$

$x = \pm\sqrt{3}$

Ответ: $x = -\sqrt{3}, x = \sqrt{3}$.

б) $25^{x-1} - 9^{2x-2} + 8 \cdot 5^{2x-3} = 4 \cdot 9^{2x-3}$

Сгруппируем слагаемые с одинаковыми основаниями. Заметим, что $25 = 5^2$.

$(5^2)^{x-1} + 8 \cdot 5^{2x-3} = 9^{2x-2} + 4 \cdot 9^{2x-3}$

$5^{2x-2} + 8 \cdot 5^{2x-3} = 9^{2x-2} + 4 \cdot 9^{2x-3}$

Приведем степени в каждой части к одному показателю, вынеся за скобки множитель с наименьшим показателем.

В левой части вынесем $5^{2x-3}$:

$5^{(2x-3)+1} + 8 \cdot 5^{2x-3} = 5^1 \cdot 5^{2x-3} + 8 \cdot 5^{2x-3} = (5+8) \cdot 5^{2x-3} = 13 \cdot 5^{2x-3}$

В правой части вынесем $9^{2x-3}$:

$9^{(2x-3)+1} + 4 \cdot 9^{2x-3} = 9^1 \cdot 9^{2x-3} + 4 \cdot 9^{2x-3} = (9+4) \cdot 9^{2x-3} = 13 \cdot 9^{2x-3}$

Уравнение принимает вид:

$13 \cdot 5^{2x-3} = 13 \cdot 9^{2x-3}$

Разделим обе части на 13:

$5^{2x-3} = 9^{2x-3}$

Так как $a^n = b^n$ при $a \neq b$ и $a,b > 0$ возможно только когда $n=0$, то приравниваем показатель степени к нулю:

$2x - 3 = 0$

$2x = 3$

$x = \frac{3}{2} = 1.5$

Ответ: $x = 1.5$.

в) $\sqrt{3^{46-x}} - 7\sqrt{3^{42-x}} = 162$

Перепишем квадратные корни как степени с показателем $\frac{1}{2}$:

$(3^{46-x})^{1/2} - 7 \cdot (3^{42-x})^{1/2} = 162$

Используя свойство $(a^m)^n = a^{mn}$, получаем:

$3^{\frac{46-x}{2}} - 7 \cdot 3^{\frac{42-x}{2}} = 162$

Вынесем за скобки общий множитель. Для этого представим первый член через второй. Заметим, что $\frac{46-x}{2} = \frac{42+4-x}{2} = \frac{42-x}{2} + \frac{4}{2} = \frac{42-x}{2} + 2$.

Тогда $3^{\frac{46-x}{2}} = 3^{\frac{42-x}{2} + 2} = 3^{\frac{42-x}{2}} \cdot 3^2 = 9 \cdot 3^{\frac{42-x}{2}}$.

Подставим это выражение в уравнение:

$9 \cdot 3^{\frac{42-x}{2}} - 7 \cdot 3^{\frac{42-x}{2}} = 162$

Вынесем общий множитель $3^{\frac{42-x}{2}}$ за скобки:

$3^{\frac{42-x}{2}} (9 - 7) = 162$

$3^{\frac{42-x}{2}} \cdot 2 = 162$

Разделим обе части уравнения на 2:

$3^{\frac{42-x}{2}} = 81$

Представим число 81 как степень числа 3: $81 = 3^4$.

$3^{\frac{42-x}{2}} = 3^4$

Приравниваем показатели степеней, так как основания равны:

$\frac{42-x}{2} = 4$

Умножим обе части на 2:

$42 - x = 8$

Отсюда находим x:

$x = 42 - 8$

$x = 34$

Ответ: $x = 34$.

Помогло решение? Оставьте отзыв в комментариях ниже.

Присоединяйтесь к Телеграм-группе @gdz_by_belarus

Присоединиться

Мы подготовили для вас ответ c подробным объяснением домашего задания по алгебре за 11 класс, для упражнения номер 2.100 расположенного на странице 73 к учебнику 2020 года издания для учащихся школ и гимназий.

Теперь на нашем сайте ГДЗ.ТОП вы всегда легко и бесплатно найдёте условие с правильным ответом на вопрос «Как решить ДЗ» и «Как сделать» задание по алгебре к упражнению №2.100 (с. 73), авторов: Арефьева (Ирина Глебовна), Пирютко (Ольга Николаевна), учебного пособия издательства Народная асвета.