Номер 2.105, страница 74 - гдз по алгебре 11 класс учебник Арефьева, Пирютко

Алгебра, 11 класс Учебник, авторы: Арефьева Ирина Глебовна, Пирютко Ольга Николаевна, издательство Народная асвета, Минск, 2020, бирюзового цвета

Авторы: Арефьева И. Г., Пирютко О. Н.

Тип: Учебник

Издательство: Народная асвета

Год издания: 2020 - 2026

Цвет обложки: бирюзовый, зелёный с графиком

ISBN: 978-985-03-3165-6

Популярные ГДЗ в 11 классе

Глава 2. Показательная функция. Параграф 5. Показательные уравнения - номер 2.105, страница 74.

№2.105 (с. 74)
Условие. №2.105 (с. 74)
скриншот условия
Алгебра, 11 класс Учебник, авторы: Арефьева Ирина Глебовна, Пирютко Ольга Николаевна, издательство Народная асвета, Минск, 2020, бирюзового цвета, страница 74, номер 2.105, Условие

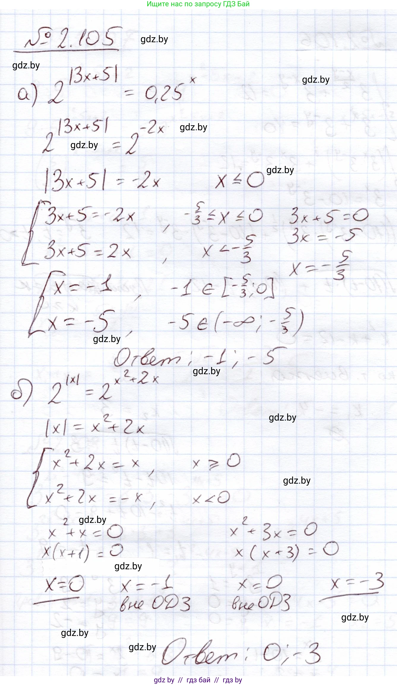
2.105*. Решите уравнение:

а) $2^{|3x+5|} = 0.25^x$;

б) $2^{|x|} = 2^{x^2+2x}$.

Решение. №2.105 (с. 74)
Алгебра, 11 класс Учебник, авторы: Арефьева Ирина Глебовна, Пирютко Ольга Николаевна, издательство Народная асвета, Минск, 2020, бирюзового цвета, страница 74, номер 2.105, Решение
Решение 2. №2.105 (с. 74)

а) $2^{|3x+5|} = 0.25^x$

Сначала приведем обе части уравнения к одному основанию. Поскольку $0.25 = \frac{1}{4} = \frac{1}{2^2} = 2^{-2}$, мы можем переписать правую часть уравнения:

$0.25^x = (2^{-2})^x = 2^{-2x}$

Теперь исходное уравнение принимает вид:

$2^{|3x+5|} = 2^{-2x}$

Так как основания степеней равны, мы можем приравнять их показатели:

$|3x+5| = -2x$

Это уравнение с модулем. По определению модуля, значение выражения $|a|$ всегда неотрицательно. Следовательно, правая часть уравнения также должна быть неотрицательной:

$-2x \ge 0$

$x \le 0$

Это условие, при котором уравнение может иметь корни. Теперь решим уравнение, раскрыв модуль. Оно равносильно совокупности двух уравнений:

1) $3x+5 = -2x$

$5x = -5$

$x = -1$

Проверяем, удовлетворяет ли корень условию $x \le 0$. $-1 \le 0$, значит, корень подходит.

2) $3x+5 = -(-2x)$

$3x+5 = 2x$

$x = -5$

Проверяем, удовлетворяет ли корень условию $x \le 0$. $-5 \le 0$, значит, корень подходит.

Оба найденных значения являются корнями исходного уравнения.

Ответ: $-5; -1$.


б) $2^{|x|} = 2^{x^2+2x}$

В данном уравнении основания степеней в обеих частях уже равны. Следовательно, мы можем приравнять их показатели:

$|x| = x^2+2x$

Для решения этого уравнения с модулем необходимо рассмотреть два случая в зависимости от знака переменной $x$.

Случай 1: $x \ge 0$

При этом условии $|x| = x$. Уравнение принимает вид:

$x = x^2+2x$

Перенесем все члены в одну сторону, чтобы получить квадратное уравнение:

$x^2 + x = 0$

Вынесем $x$ за скобки:

$x(x+1) = 0$

Отсюда получаем два возможных корня: $x_1 = 0$ и $x_2 = -1$.

Теперь проверим, удовлетворяют ли эти корни условию $x \ge 0$.

Корень $x_1 = 0$ удовлетворяет условию ($0 \ge 0$), поэтому является решением.

Корень $x_2 = -1$ не удовлетворяет условию ($-1 < 0$), поэтому не является решением в данном случае.

Случай 2: $x < 0$

При этом условии $|x| = -x$. Уравнение принимает вид:

$-x = x^2+2x$

Перенесем все члены в одну сторону:

$x^2 + 3x = 0$

Вынесем $x$ за скобки:

$x(x+3) = 0$

Отсюда получаем два возможных корня: $x_3 = 0$ и $x_4 = -3$.

Теперь проверим, удовлетворяют ли эти корни условию $x < 0$.

Корень $x_3 = 0$ не удовлетворяет условию ($0 \not< 0$), поэтому не является решением.

Корень $x_4 = -3$ удовлетворяет условию ($-3 < 0$), поэтому является решением.

Объединяя решения, полученные в обоих случаях, мы находим все корни исходного уравнения.

Ответ: $-3; 0$.

Помогло решение? Оставьте отзыв в комментариях ниже.

Присоединяйтесь к Телеграм-группе @gdz_by_belarus

Присоединиться

Мы подготовили для вас ответ c подробным объяснением домашего задания по алгебре за 11 класс, для упражнения номер 2.105 расположенного на странице 74 к учебнику 2020 года издания для учащихся школ и гимназий.

Теперь на нашем сайте ГДЗ.ТОП вы всегда легко и бесплатно найдёте условие с правильным ответом на вопрос «Как решить ДЗ» и «Как сделать» задание по алгебре к упражнению №2.105 (с. 74), авторов: Арефьева (Ирина Глебовна), Пирютко (Ольга Николаевна), учебного пособия издательства Народная асвета.