Номер 2.110, страница 74 - гдз по алгебре 11 класс учебник Арефьева, Пирютко

Алгебра, 11 класс Учебник, авторы: Арефьева Ирина Глебовна, Пирютко Ольга Николаевна, издательство Народная асвета, Минск, 2020, бирюзового цвета

Авторы: Арефьева И. Г., Пирютко О. Н.

Тип: Учебник

Издательство: Народная асвета

Год издания: 2020 - 2026

Цвет обложки: бирюзовый, зелёный с графиком

ISBN: 978-985-03-3165-6

Популярные ГДЗ в 11 классе

Глава 2. Показательная функция. Параграф 5. Показательные уравнения - номер 2.110, страница 74.

№2.110 (с. 74)
Условие. №2.110 (с. 74)
скриншот условия
Алгебра, 11 класс Учебник, авторы: Арефьева Ирина Глебовна, Пирютко Ольга Николаевна, издательство Народная асвета, Минск, 2020, бирюзового цвета, страница 74, номер 2.110, Условие

2.110*. Решите уравнение, используя свойства функций:

a) $2^{|x|} = -x^2 + \frac{1}{2};$

б) $\left|\left(\frac{1}{2}\right)^{x} - 2\right| = -x^2 + 1.$

Решение. №2.110 (с. 74)
Алгебра, 11 класс Учебник, авторы: Арефьева Ирина Глебовна, Пирютко Ольга Николаевна, издательство Народная асвета, Минск, 2020, бирюзового цвета, страница 74, номер 2.110, Решение
Решение 2. №2.110 (с. 74)

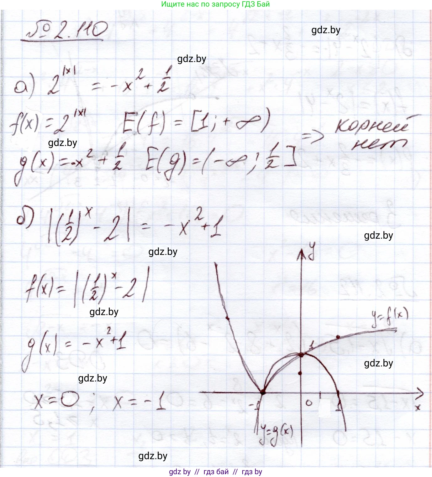
а) $2^{|x|} = -x^2 + \frac{1}{2}$

Рассмотрим две функции: левую часть уравнения $f(x) = 2^{|x|}$ и правую часть $g(x) = -x^2 + \frac{1}{2}$. Решить уравнение — значит найти значения $x$, при которых $f(x) = g(x)$. Для этого оценим множества значений каждой из этих функций.

1. Функция $f(x) = 2^{|x|}$. Поскольку $|x| \ge 0$ для любого действительного $x$, а показательная функция $y=2^t$ с основанием $2 > 1$ является возрастающей, то наименьшее значение функция $f(x)$ принимает при наименьшем значении аргумента $|x|$, то есть при $|x|=0$. Наименьшее значение функции: $f(0) = 2^{|0|} = 2^0 = 1$. Таким образом, для любого $x$ выполняется неравенство $f(x) \ge 1$. Множество значений функции $f(x)$ есть $E(f) = [1; +\infty)$.

2. Функция $g(x) = -x^2 + \frac{1}{2}$. Это квадратичная функция, её график — парабола, ветви которой направлены вниз (коэффициент при $x^2$ отрицателен). Своё наибольшее значение функция принимает в вершине параболы. Абсцисса вершины $x_v = 0$. Наибольшее значение функции: $g(0) = -0^2 + \frac{1}{2} = \frac{1}{2}$. Таким образом, для любого $x$ выполняется неравенство $g(x) \le \frac{1}{2}$. Множество значений функции $g(x)$ есть $E(g) = (-\infty; \frac{1}{2}]$.

3. Сравнение функций. Мы получили, что для любого действительного значения $x$ левая часть уравнения $f(x) \ge 1$, а правая часть $g(x) \le \frac{1}{2}$. Поскольку $1 > \frac{1}{2}$, то равенство $f(x) = g(x)$ не может выполняться ни при каких значениях $x$. Левая часть уравнения всегда строго больше правой. Следовательно, уравнение не имеет решений.

Ответ: корней нет.

б) $\left|\left(\frac{1}{2}\right)^x - 2\right| = -x^2 + 1$

Рассмотрим две функции: левую часть уравнения $f(x) = \left|\left(\frac{1}{2}\right)^x - 2\right|$ и правую часть $g(x) = -x^2 + 1$.

1. Анализ множеств значений. Функция $f(x)$ по определению модуля всегда неотрицательна, то есть $f(x) \ge 0$ для всех $x$. Функция $g(x)$ — это парабола с ветвями вниз и вершиной в точке $(0, 1)$. Её наибольшее значение равно 1. Поскольку $f(x) = g(x)$ и $f(x) \ge 0$, то и $g(x)$ должно быть неотрицательным: $-x^2 + 1 \ge 0$ $x^2 \le 1$ $-1 \le x \le 1$. Таким образом, все возможные корни уравнения лежат в отрезке $[-1; 1]$.

2. Поиск корней методом подбора. Проверим целые значения из отрезка $[-1; 1]$.

При $x = -1$:
Левая часть: $f(-1) = \left|\left(\frac{1}{2}\right)^{-1} - 2\right| = |2 - 2| = 0$.
Правая часть: $g(-1) = -(-1)^2 + 1 = -1 + 1 = 0$.
Так как $f(-1)=g(-1)$, то $x=-1$ является корнем уравнения.

При $x = 0$:
Левая часть: $f(0) = \left|\left(\frac{1}{2}\right)^0 - 2\right| = |1 - 2| = |-1| = 1$.
Правая часть: $g(0) = -0^2 + 1 = 1$.
Так как $f(0)=g(0)$, то $x=0$ является корнем уравнения.

При $x = 1$:
Левая часть: $f(1) = \left|\left(\frac{1}{2}\right)^1 - 2\right| = \left|\frac{1}{2} - 2\right| = \left|-\frac{3}{2}\right| = \frac{3}{2}$.
Правая часть: $g(1) = -1^2 + 1 = -1 + 1 = 0$.
Так как $f(1) \neq g(1)$, то $x=1$ не является корнем.

3. Анализ монотонности для доказательства отсутствия других корней.

Рассмотрим поведение функций на интервалах, входящих в отрезок $[-1, 1]$.

Функция $y = (\frac{1}{2})^x$ убывающая. Минимум функции $f(x) = \left|\left(\frac{1}{2}\right)^x - 2\right|$ достигается, когда подмодульное выражение равно нулю: $(\frac{1}{2})^x - 2 = 0 \implies (\frac{1}{2})^x = 2 \implies x = -1$. Значит, на промежутке $(-\infty; -1]$ функция $f(x)$ убывает, а на промежутке $[-1; +\infty)$ — возрастает.

Функция $g(x) = -x^2+1$ возрастает на $(-\infty; 0]$ и убывает на $[0; +\infty)$.

• На отрезке $[0; 1]$ функция $f(x)$ возрастает, а функция $g(x)$ убывает. Возрастающая и убывающая функции могут иметь не более одной общей точки. Мы уже нашли, что они пересекаются в точке $x=0$. Следовательно, других корней на отрезке $[0; 1]$ нет.

• На отрезке $[-1; 0]$ обе функции, $f(x)$ и $g(x)$, возрастают. Мы нашли корни на концах этого отрезка: $x=-1$ и $x=0$. На этом интервале, при $x > -1$, выражение $(\frac{1}{2})^x - 2$ отрицательно, поэтому $f(x) = -\left(\left(\frac{1}{2}\right)^x - 2\right) = 2 - \left(\frac{1}{2}\right)^x$. График функции $f(x)$ является выпуклым вверх (вогнутым), так же как и график параболы $g(x)$. Две вогнутые кривые, совпадающие на концах отрезка, могут пересекаться внутри него, но в данном случае можно показать (например, графически или с помощью производных), что на интервале $(-1; 0)$ график параболы $g(x)$ лежит выше графика функции $f(x)$. Следовательно, других корней на этом интервале нет.

Таким образом, уравнение имеет только два корня.

Ответ: -1; 0.

Помогло решение? Оставьте отзыв в комментариях ниже.

Присоединяйтесь к Телеграм-группе @gdz_by_belarus

Присоединиться

Мы подготовили для вас ответ c подробным объяснением домашего задания по алгебре за 11 класс, для упражнения номер 2.110 расположенного на странице 74 к учебнику 2020 года издания для учащихся школ и гимназий.

Теперь на нашем сайте ГДЗ.ТОП вы всегда легко и бесплатно найдёте условие с правильным ответом на вопрос «Как решить ДЗ» и «Как сделать» задание по алгебре к упражнению №2.110 (с. 74), авторов: Арефьева (Ирина Глебовна), Пирютко (Ольга Николаевна), учебного пособия издательства Народная асвета.