Номер 3.183, страница 144 - гдз по алгебре 11 класс учебник Арефьева, Пирютко

Алгебра, 11 класс Учебник, авторы: Арефьева Ирина Глебовна, Пирютко Ольга Николаевна, издательство Народная асвета, Минск, 2020, бирюзового цвета

Авторы: Арефьева И. Г., Пирютко О. Н.

Тип: Учебник

Издательство: Народная асвета

Год издания: 2020 - 2026

Цвет обложки: бирюзовый, зелёный с графиком

ISBN: 978-985-03-3165-6

Популярные ГДЗ в 11 классе

Глава 3. Логарифмическая функция. Параграф 9. Логарифмические уравнения - номер 3.183, страница 144.

№3.183 (с. 144)
Условие. №3.183 (с. 144)
скриншот условия
Алгебра, 11 класс Учебник, авторы: Арефьева Ирина Глебовна, Пирютко Ольга Николаевна, издательство Народная асвета, Минск, 2020, бирюзового цвета, страница 144, номер 3.183, Условие

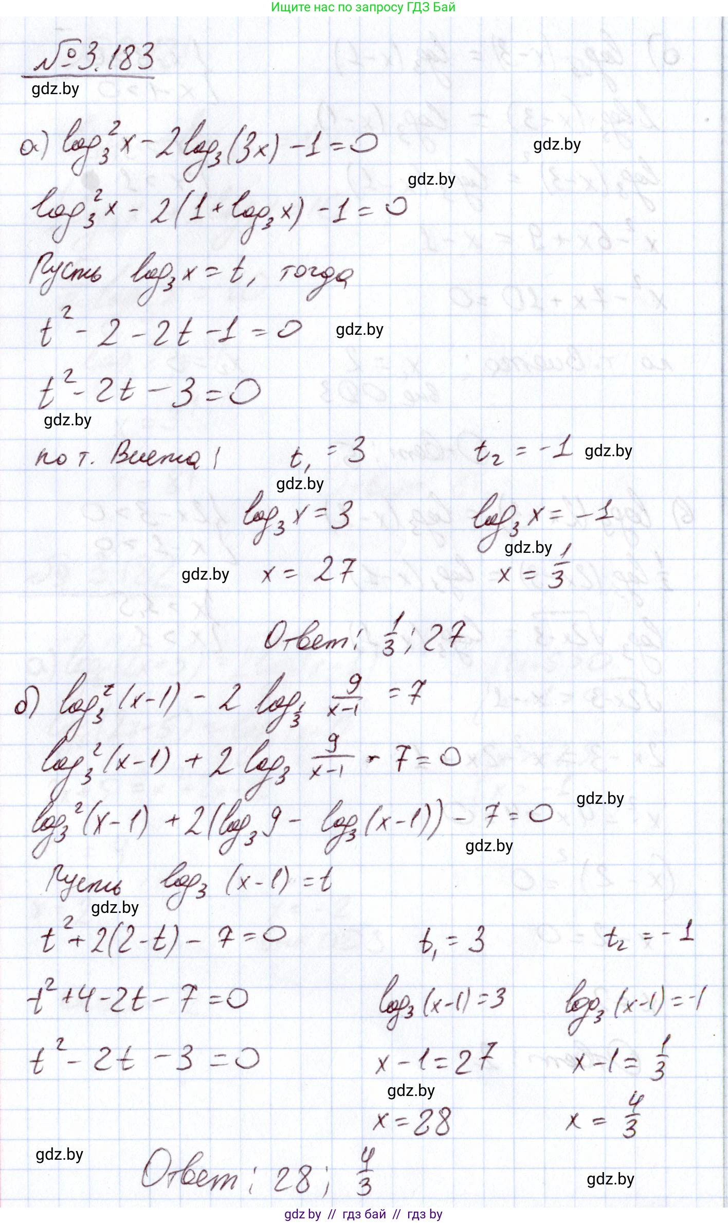
3.183. Воспользуйтесь свойствами логарифмов и решите уравнение:

a) $\log^2_3 x - 2\log_3(3x) - 1 = 0;$

б) $\log^2_3(x - 1) - 2\log_{\frac{1}{3}} \frac{9}{x - 1} = 7.$

Решение. №3.183 (с. 144)
Алгебра, 11 класс Учебник, авторы: Арефьева Ирина Глебовна, Пирютко Ольга Николаевна, издательство Народная асвета, Минск, 2020, бирюзового цвета, страница 144, номер 3.183, Решение
Решение 2. №3.183 (с. 144)

а) $\log_3^2 x - 2\log_3(3x) - 1 = 0$

Сначала определим область допустимых значений (ОДЗ). Аргументы логарифмов должны быть положительными:
$x > 0$
$3x > 0 \implies x > 0$
Следовательно, ОДЗ: $x \in (0, +\infty)$.

Используем свойство логарифма произведения $\log_a(bc) = \log_a b + \log_a c$ для преобразования второго слагаемого:
$\log_3(3x) = \log_3 3 + \log_3 x = 1 + \log_3 x$.

Подставим это выражение обратно в уравнение:
$\log_3^2 x - 2(1 + \log_3 x) - 1 = 0$
$\log_3^2 x - 2 - 2\log_3 x - 1 = 0$
$\log_3^2 x - 2\log_3 x - 3 = 0$

Теперь сделаем замену переменной. Пусть $t = \log_3 x$. Уравнение примет вид квадратного уравнения:
$t^2 - 2t - 3 = 0$

Решим это квадратное уравнение. Можно использовать теорему Виета или формулу для корней.
Дискриминант $D = b^2 - 4ac = (-2)^2 - 4(1)(-3) = 4 + 12 = 16$.
$t_1 = \frac{-b + \sqrt{D}}{2a} = \frac{2 + \sqrt{16}}{2} = \frac{2 + 4}{2} = 3$
$t_2 = \frac{-b - \sqrt{D}}{2a} = \frac{2 - \sqrt{16}}{2} = \frac{2 - 4}{2} = -1$

Вернемся к исходной переменной $x$:
1) $\log_3 x = 3 \implies x = 3^3 = 27$
2) $\log_3 x = -1 \implies x = 3^{-1} = \frac{1}{3}$

Оба корня, $27$ и $\frac{1}{3}$, принадлежат ОДЗ ($x > 0$).
Ответ: $27, \frac{1}{3}$.

б) $\log_3^2(x-1) - 2\log_{\frac{1}{3}}\frac{9}{x-1} = 7$

Определим область допустимых значений (ОДЗ):
$x - 1 > 0 \implies x > 1$
$\frac{9}{x-1} > 0 \implies x-1 > 0 \implies x > 1$
ОДЗ: $x \in (1, +\infty)$.

Преобразуем второй член уравнения, используя свойства логарифмов.
Сначала приведем логарифм к основанию 3, используя свойство $\log_{a^k} b = \frac{1}{k} \log_a b$:
$\log_{\frac{1}{3}} y = \log_{3^{-1}} y = -\log_3 y$.
Таким образом, $\log_{\frac{1}{3}}\frac{9}{x-1} = -\log_3\frac{9}{x-1}$.

Подставим это в уравнение:
$\log_3^2(x-1) - 2(-\log_3\frac{9}{x-1}) = 7$
$\log_3^2(x-1) + 2\log_3\frac{9}{x-1} = 7$

Теперь используем свойство логарифма частного $\log_a \frac{b}{c} = \log_a b - \log_a c$:
$\log_3\frac{9}{x-1} = \log_3 9 - \log_3(x-1) = 2 - \log_3(x-1)$.

Подставляем это выражение обратно в уравнение:
$\log_3^2(x-1) + 2(2 - \log_3(x-1)) = 7$
$\log_3^2(x-1) + 4 - 2\log_3(x-1) = 7$
$\log_3^2(x-1) - 2\log_3(x-1) - 3 = 0$

Сделаем замену переменной. Пусть $t = \log_3(x-1)$. Уравнение примет вид:
$t^2 - 2t - 3 = 0$

Это то же самое квадратное уравнение, что и в пункте а), его корни:
$t_1 = 3$
$t_2 = -1$

Возвращаемся к переменной $x$:
1) $\log_3(x-1) = 3 \implies x-1 = 3^3 \implies x-1 = 27 \implies x = 28$
2) $\log_3(x-1) = -1 \implies x-1 = 3^{-1} \implies x-1 = \frac{1}{3} \implies x = 1 + \frac{1}{3} = \frac{4}{3}$

Оба корня, $28$ и $\frac{4}{3}$, принадлежат ОДЗ ($x > 1$).
Ответ: $28, \frac{4}{3}$.

Помогло решение? Оставьте отзыв в комментариях ниже.

Присоединяйтесь к Телеграм-группе @gdz_by_belarus

Присоединиться

Мы подготовили для вас ответ c подробным объяснением домашего задания по алгебре за 11 класс, для упражнения номер 3.183 расположенного на странице 144 к учебнику 2020 года издания для учащихся школ и гимназий.

Теперь на нашем сайте ГДЗ.ТОП вы всегда легко и бесплатно найдёте условие с правильным ответом на вопрос «Как решить ДЗ» и «Как сделать» задание по алгебре к упражнению №3.183 (с. 144), авторов: Арефьева (Ирина Глебовна), Пирютко (Ольга Николаевна), учебного пособия издательства Народная асвета.