Номер 3.186, страница 144 - гдз по алгебре 11 класс учебник Арефьева, Пирютко

Алгебра, 11 класс Учебник, авторы: Арефьева Ирина Глебовна, Пирютко Ольга Николаевна, издательство Народная асвета, Минск, 2020, бирюзового цвета

Авторы: Арефьева И. Г., Пирютко О. Н.

Тип: Учебник

Издательство: Народная асвета

Год издания: 2020 - 2026

Цвет обложки: бирюзовый, зелёный с графиком

ISBN: 978-985-03-3165-6

Популярные ГДЗ в 11 классе

Глава 3. Логарифмическая функция. Параграф 9. Логарифмические уравнения - номер 3.186, страница 144.

№3.186 (с. 144)
Условие. №3.186 (с. 144)
скриншот условия
Алгебра, 11 класс Учебник, авторы: Арефьева Ирина Глебовна, Пирютко Ольга Николаевна, издательство Народная асвета, Минск, 2020, бирюзового цвета, страница 144, номер 3.186, Условие

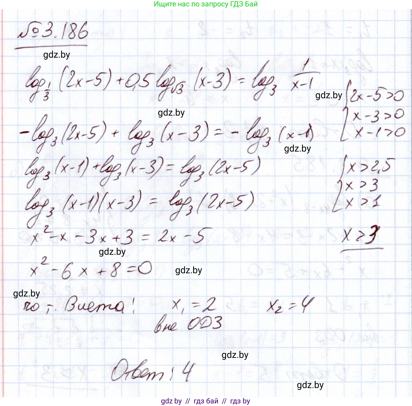
3.186. Решите уравнение $\log_{\frac{1}{3}}(2x-5) + 0,5\log_{\sqrt{3}}(x-3) = \log_3 \frac{1}{x-1}$

Решение. №3.186 (с. 144)
Алгебра, 11 класс Учебник, авторы: Арефьева Ирина Глебовна, Пирютко Ольга Николаевна, издательство Народная асвета, Минск, 2020, бирюзового цвета, страница 144, номер 3.186, Решение
Решение 2. №3.186 (с. 144)

Исходное уравнение: $ \log_{\frac{1}{3}}(2x - 5) + 0,5\log_{\sqrt{3}}(x - 3) = \log_{3}\frac{1}{x - 1} $

Нахождение области допустимых значений (ОДЗ)

Для существования логарифма его аргумент должен быть строго положительным. Таким образом, мы должны решить систему неравенств:

$ \begin{cases} 2x - 5 > 0 \\ x - 3 > 0 \\ \frac{1}{x - 1} > 0 \end{cases} $

Решим каждое неравенство:

$ \begin{cases} 2x > 5 \\ x > 3 \\ x - 1 > 0 \end{cases} \implies \begin{cases} x > 2,5 \\ x > 3 \\ x > 1 \end{cases} $

Общим решением системы является наиболее сильное неравенство, то есть $ x > 3 $. ОДЗ: $ x \in (3; +\infty) $.

Преобразование уравнения к одному основанию

Приведем все логарифмы в уравнении к основанию 3, используя свойства логарифмов: $ \log_{a^k} b = \frac{1}{k}\log_a b $ и $ \log_a \frac{1}{b} = -\log_a b $.

  • Первый член: $ \log_{\frac{1}{3}}(2x - 5) = \log_{3^{-1}}(2x - 5) = -1 \cdot \log_3(2x - 5) = -\log_3(2x - 5) $.
  • Второй член: $ 0,5\log_{\sqrt{3}}(x - 3) = 0,5\log_{3^{1/2}}(x - 3) = 0,5 \cdot \frac{1}{1/2} \log_3(x - 3) = 0,5 \cdot 2 \log_3(x - 3) = \log_3(x - 3) $.
  • Правая часть: $ \log_3\frac{1}{x - 1} = -\log_3(x - 1) $.

Подставим преобразованные выражения в исходное уравнение:

$ -\log_3(2x - 5) + \log_3(x - 3) = -\log_3(x - 1) $

Решение уравнения

Перенесем слагаемые, чтобы избавиться от знаков "минус" перед логарифмами:

$ \log_3(x - 3) + \log_3(x - 1) = \log_3(2x - 5) $

Используем свойство суммы логарифмов $ \log_a b + \log_a c = \log_a(bc) $:

$ \log_3((x - 3)(x - 1)) = \log_3(2x - 5) $

Поскольку основания логарифмов равны, можем приравнять их аргументы:

$ (x - 3)(x - 1) = 2x - 5 $

Раскроем скобки и приведем подобные слагаемые:

$ x^2 - x - 3x + 3 = 2x - 5 $

$ x^2 - 4x + 3 = 2x - 5 $

$ x^2 - 6x + 8 = 0 $

Решим полученное квадратное уравнение. По теореме Виета, сумма корней равна 6, а их произведение равно 8. Корнями являются:

$ x_1 = 2 $, $ x_2 = 4 $

Проверка корней

Сравним полученные корни с областью допустимых значений $ x > 3 $.

  • $ x_1 = 2 $ не принадлежит ОДЗ, так как $ 2 \ngtr 3 $. Этот корень является посторонним.
  • $ x_2 = 4 $ принадлежит ОДЗ, так как $ 4 > 3 $. Этот корень является решением.

Ответ: 4

Помогло решение? Оставьте отзыв в комментариях ниже.

Присоединяйтесь к Телеграм-группе @gdz_by_belarus

Присоединиться

Мы подготовили для вас ответ c подробным объяснением домашего задания по алгебре за 11 класс, для упражнения номер 3.186 расположенного на странице 144 к учебнику 2020 года издания для учащихся школ и гимназий.

Теперь на нашем сайте ГДЗ.ТОП вы всегда легко и бесплатно найдёте условие с правильным ответом на вопрос «Как решить ДЗ» и «Как сделать» задание по алгебре к упражнению №3.186 (с. 144), авторов: Арефьева (Ирина Глебовна), Пирютко (Ольга Николаевна), учебного пособия издательства Народная асвета.