Номер 3.246, страница 158 - гдз по алгебре 11 класс учебник Арефьева, Пирютко

Алгебра, 11 класс Учебник, авторы: Арефьева Ирина Глебовна, Пирютко Ольга Николаевна, издательство Народная асвета, Минск, 2020, бирюзового цвета

Авторы: Арефьева И. Г., Пирютко О. Н.

Тип: Учебник

Издательство: Народная асвета

Год издания: 2020 - 2026

Цвет обложки: бирюзовый, зелёный с графиком

ISBN: 978-985-03-3165-6

Популярные ГДЗ в 11 классе

Глава 3. Логарифмическая функция. Параграф 10. Логарифмические неравенства - номер 3.246, страница 158.

№3.246 (с. 158)
Условие. №3.246 (с. 158)
скриншот условия
Алгебра, 11 класс Учебник, авторы: Арефьева Ирина Глебовна, Пирютко Ольга Николаевна, издательство Народная асвета, Минск, 2020, бирюзового цвета, страница 158, номер 3.246, Условие

3.246. Представьте число в виде логарифма и решите неравенство:

a) $log_{0.2} (1 - 2.4x) > -2$;

б) $log_{0.3} (4x - 15) \ge 0$;

в) $log_{1/6} (1.6x + 36.8) \ge -2$;

г) $2log_{0.09} (6 - 0.3x) > -1$.

Решение. №3.246 (с. 158)
Алгебра, 11 класс Учебник, авторы: Арефьева Ирина Глебовна, Пирютко Ольга Николаевна, издательство Народная асвета, Минск, 2020, бирюзового цвета, страница 158, номер 3.246, Решение Алгебра, 11 класс Учебник, авторы: Арефьева Ирина Глебовна, Пирютко Ольга Николаевна, издательство Народная асвета, Минск, 2020, бирюзового цвета, страница 158, номер 3.246, Решение (продолжение 2)
Решение 2. №3.246 (с. 158)

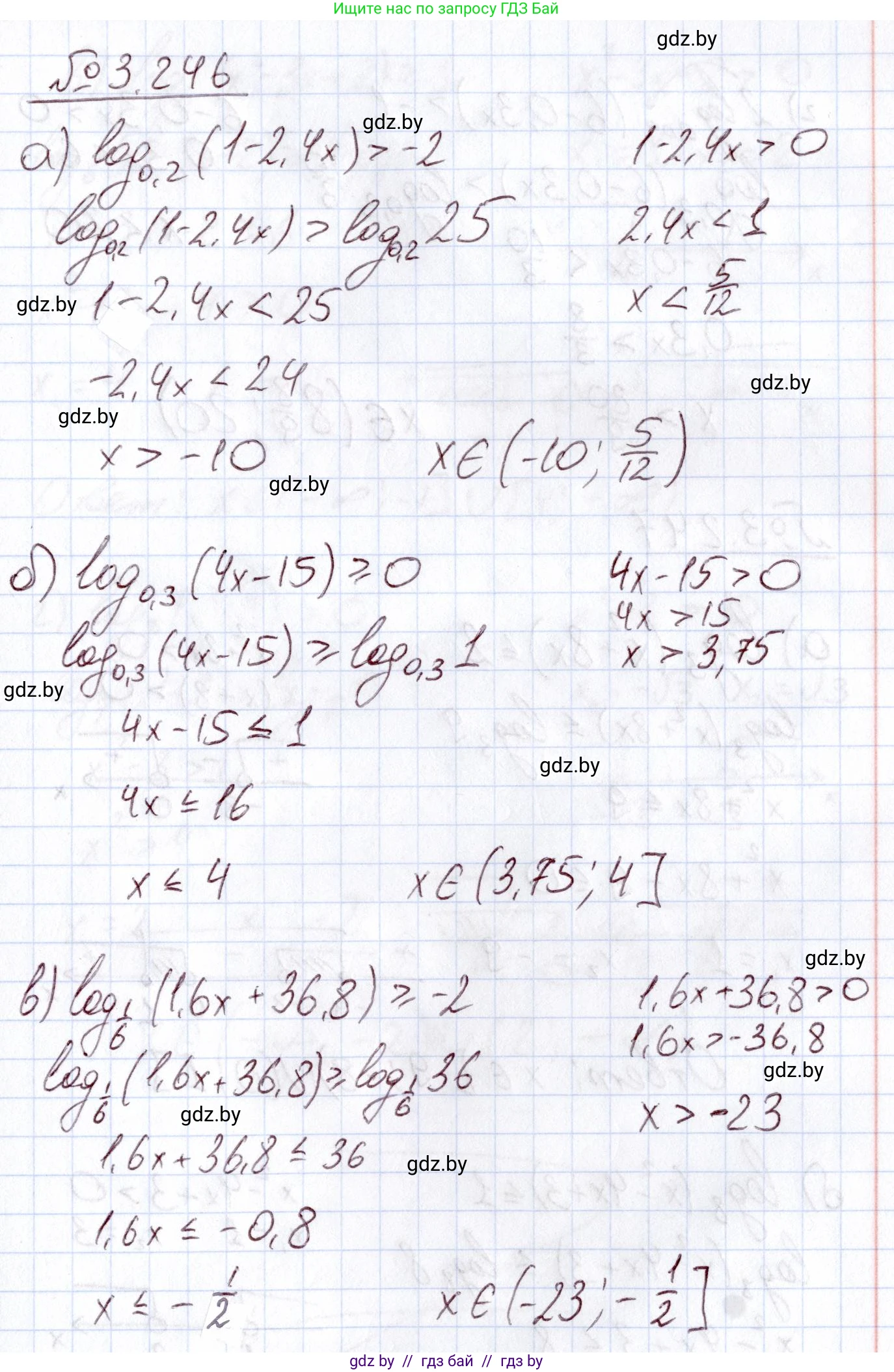
а) Решим неравенство $\log_{0,2}(1 - 2,4x) > -2$.

Сначала найдем область допустимых значений (ОДЗ). Аргумент логарифма должен быть строго положительным:

$1 - 2,4x > 0$

$1 > 2,4x$

$x < \frac{1}{2,4} \implies x < \frac{10}{24} \implies x < \frac{5}{12}$

Теперь представим правую часть неравенства, число $-2$, в виде логарифма с основанием $0,2$:

$-2 = \log_{0,2}(0,2^{-2}) = \log_{0,2}((\frac{1}{5})^{-2}) = \log_{0,2}(5^2) = \log_{0,2}(25)$

Подставим это в исходное неравенство:

$\log_{0,2}(1 - 2,4x) > \log_{0,2}(25)$

Так как основание логарифма $a = 0,2$ и $0 < a < 1$, логарифмическая функция является убывающей. Это означает, что при переходе от логарифмов к их аргументам знак неравенства необходимо изменить на противоположный:

$1 - 2,4x < 25$

$-2,4x < 24$

$x > \frac{24}{-2,4}$

$x > -10$

Для нахождения окончательного решения необходимо учесть ОДЗ. Составим систему неравенств:

$\begin{cases} x < \frac{5}{12} \\ x > -10 \end{cases}$

Решением системы является интервал $-10 < x < \frac{5}{12}$.

Ответ: $x \in (-10; \frac{5}{12})$.

б) Решим неравенство $\log_{0,3}(4x - 15) \ge 0$.

Найдем ОДЗ:

$4x - 15 > 0$

$4x > 15$

$x > \frac{15}{4}$ или $x > 3,75$

Представим $0$ в виде логарифма по основанию $0,3$:

$0 = \log_{0,3}(0,3^0) = \log_{0,3}(1)$

Перепишем неравенство:

$\log_{0,3}(4x - 15) \ge \log_{0,3}(1)$

Основание логарифма $a = 0,3$ ($0 < a < 1$), поэтому функция убывающая. Меняем знак неравенства на противоположный:

$4x - 15 \le 1$

$4x \le 16$

$x \le 4$

Объединим с ОДЗ:

$\begin{cases} x > 3,75 \\ x \le 4 \end{cases}$

Решением является полуинтервал $3,75 < x \le 4$.

Ответ: $x \in (3,75; 4]$.

в) Решим неравенство $\log_{\frac{1}{6}}(1,6x + 36,8) \ge -2$.

Найдем ОДЗ:

$1,6x + 36,8 > 0$

$1,6x > -36,8$

$x > -\frac{36,8}{1,6} \implies x > -\frac{368}{16} \implies x > -23$

Представим $-2$ в виде логарифма по основанию $\frac{1}{6}$:

$-2 = \log_{\frac{1}{6}}((\frac{1}{6})^{-2}) = \log_{\frac{1}{6}}(6^2) = \log_{\frac{1}{6}}(36)$

Перепишем неравенство:

$\log_{\frac{1}{6}}(1,6x + 36,8) \ge \log_{\frac{1}{6}}(36)$

Основание логарифма $a = \frac{1}{6}$ ($0 < a < 1$), поэтому функция убывающая. Меняем знак неравенства на противоположный:

$1,6x + 36,8 \le 36$

$1,6x \le 36 - 36,8$

$1,6x \le -0,8$

$x \le -\frac{0,8}{1,6} \implies x \le -0,5$

Объединим с ОДЗ:

$\begin{cases} x > -23 \\ x \le -0,5 \end{cases}$

Решением является полуинтервал $-23 < x \le -0,5$.

Ответ: $x \in (-23; -0,5]$.

г) Решим неравенство $2\log_{0,09}(6 - 0,3x) > -1$.

Сначала разделим обе части неравенства на 2:

$\log_{0,09}(6 - 0,3x) > -\frac{1}{2}$

Найдем ОДЗ:

$6 - 0,3x > 0$

$6 > 0,3x$

$x < \frac{6}{0,3} \implies x < 20$

Представим $-\frac{1}{2}$ в виде логарифма по основанию $0,09$:

$-\frac{1}{2} = \log_{0,09}(0,09^{-\frac{1}{2}}) = \log_{0,09}((\frac{9}{100})^{-\frac{1}{2}}) = \log_{0,09}((\frac{100}{9})^{\frac{1}{2}}) = \log_{0,09}(\frac{10}{3})$

Перепишем неравенство:

$\log_{0,09}(6 - 0,3x) > \log_{0,09}(\frac{10}{3})$

Основание логарифма $a = 0,09$ ($0 < a < 1$), поэтому функция убывающая. Меняем знак неравенства на противоположный:

$6 - 0,3x < \frac{10}{3}$

$-\frac{3}{10}x < \frac{10}{3} - 6$

$-\frac{3}{10}x < \frac{10}{3} - \frac{18}{3}$

$-\frac{3}{10}x < -\frac{8}{3}$

Умножим обе части на $-1$, изменив знак неравенства:

$\frac{3}{10}x > \frac{8}{3}$

$x > \frac{8}{3} \cdot \frac{10}{3} \implies x > \frac{80}{9}$

Объединим с ОДЗ:

$\begin{cases} x < 20 \\ x > \frac{80}{9} \end{cases}$

Решением является интервал $\frac{80}{9} < x < 20$.

Ответ: $x \in (\frac{80}{9}; 20)$.

Помогло решение? Оставьте отзыв в комментариях ниже.

Присоединяйтесь к Телеграм-группе @gdz_by_belarus

Присоединиться

Мы подготовили для вас ответ c подробным объяснением домашего задания по алгебре за 11 класс, для упражнения номер 3.246 расположенного на странице 158 к учебнику 2020 года издания для учащихся школ и гимназий.

Теперь на нашем сайте ГДЗ.ТОП вы всегда легко и бесплатно найдёте условие с правильным ответом на вопрос «Как решить ДЗ» и «Как сделать» задание по алгебре к упражнению №3.246 (с. 158), авторов: Арефьева (Ирина Глебовна), Пирютко (Ольга Николаевна), учебного пособия издательства Народная асвета.