Номер 3.243, страница 158 - гдз по алгебре 11 класс учебник Арефьева, Пирютко

Алгебра, 11 класс Учебник, авторы: Арефьева Ирина Глебовна, Пирютко Ольга Николаевна, издательство Народная асвета, Минск, 2020, бирюзового цвета

Авторы: Арефьева И. Г., Пирютко О. Н.

Тип: Учебник

Издательство: Народная асвета

Год издания: 2020 - 2026

Цвет обложки: бирюзовый, зелёный с графиком

ISBN: 978-985-03-3165-6

Популярные ГДЗ в 11 классе

Глава 3. Логарифмическая функция. Параграф 10. Логарифмические неравенства - номер 3.243, страница 158.

№3.243 (с. 158)
Условие. №3.243 (с. 158)
скриншот условия
Алгебра, 11 класс Учебник, авторы: Арефьева Ирина Глебовна, Пирютко Ольга Николаевна, издательство Народная асвета, Минск, 2020, бирюзового цвета, страница 158, номер 3.243, Условие

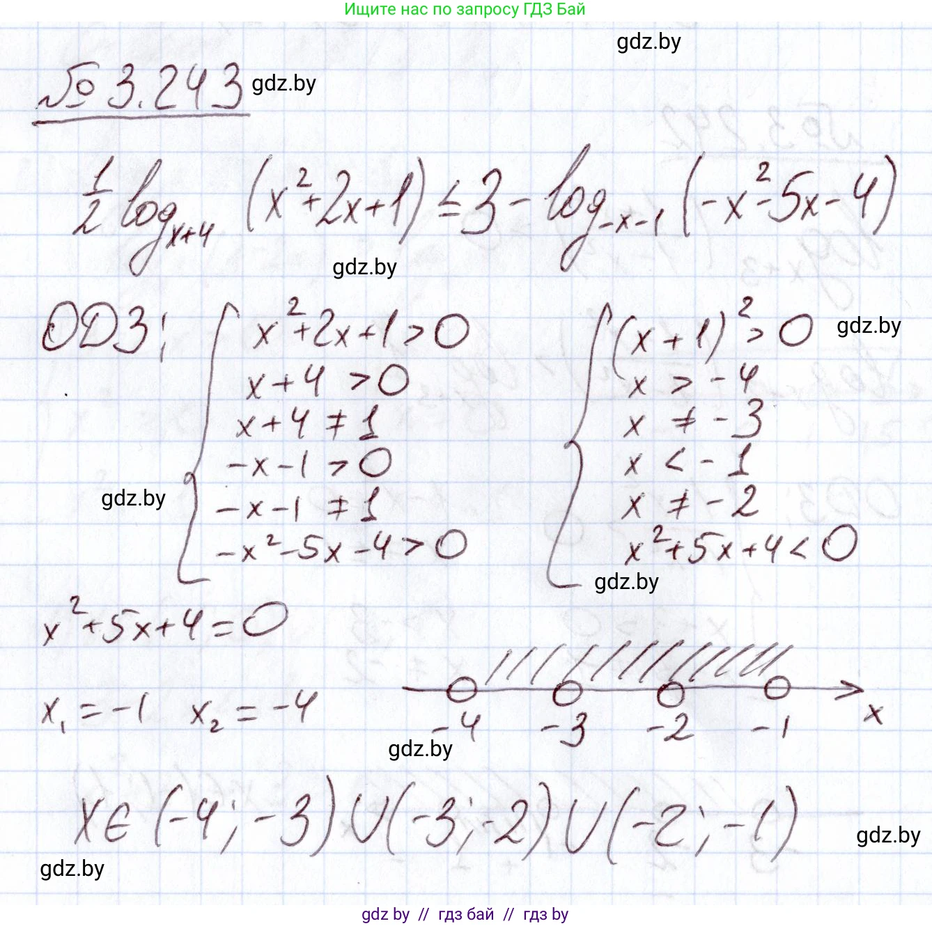
3.243*. Решите неравенство

$\frac{1}{2} \log_{x+4} (x^2 + 2x + 1) \leq 3 - \log_{-x-1} (-x^2 - 5x - 4).$

Решение. №3.243 (с. 158)
Алгебра, 11 класс Учебник, авторы: Арефьева Ирина Глебовна, Пирютко Ольга Николаевна, издательство Народная асвета, Минск, 2020, бирюзового цвета, страница 158, номер 3.243, Решение Алгебра, 11 класс Учебник, авторы: Арефьева Ирина Глебовна, Пирютко Ольга Николаевна, издательство Народная асвета, Минск, 2020, бирюзового цвета, страница 158, номер 3.243, Решение (продолжение 2)
Решение 2. №3.243 (с. 158)

Данное неравенство:

$$ \frac{1}{2}\log_{x+4}(x^2 + 2x + 1) \le 3 - \log_{-x-1}(-x^2 - 5x - 4) $$

В первую очередь найдем область допустимых значений (ОДЗ) для переменной $x$. Для этого должны выполняться условия существования логарифмов (аргумент больше нуля, основание больше нуля и не равно единице):

$$ \begin{cases} x^2 + 2x + 1 > 0 \\ x+4 > 0 \\ x+4 \neq 1 \\ -x^2 - 5x - 4 > 0 \\ -x-1 > 0 \\ -x-1 \neq 1 \end{cases} $$

Решим каждое из неравенств системы по отдельности:

1) $x^2 + 2x + 1 > 0 \implies (x+1)^2 > 0$, что верно для всех $x$, кроме $x = -1$.

2) $x+4 > 0 \implies x > -4$.

3) $x+4 \neq 1 \implies x \neq -3$.

4) $-x^2 - 5x - 4 > 0 \implies x^2 + 5x + 4 < 0$. Корни квадратного трехчлена $x^2 + 5x + 4$ — это $x_1 = -4$ и $x_2 = -1$. Так как ветви параболы направлены вверх, неравенство выполняется между корнями: $x \in (-4, -1)$.

5) $-x-1 > 0 \implies -x > 1 \implies x < -1$.

6) $-x-1 \neq 1 \implies -x \neq 2 \implies x \neq -2$.

Объединив все условия, получим ОДЗ: $x \in (-4, -1)$, при этом $x \neq -3$ и $x \neq -2$.

Таким образом, ОДЗ: $x \in (-4, -3) \cup (-3, -2) \cup (-2, -1)$.

Теперь упростим исходное неравенство. Заметим, что $x^2 + 2x + 1 = (x+1)^2$ и $-x^2 - 5x - 4 = -(x^2 + 5x + 4) = -(x+1)(x+4)$.

Неравенство принимает вид:

$$ \frac{1}{2}\log_{x+4}((x+1)^2) \le 3 - \log_{-x-1}(-(x+1)(x+4)) $$

Используем свойство логарифма $\log_b(a^k) = k \log_b|a|$. На ОДЗ $x < -1$, поэтому $x+1 < 0$ и $|x+1| = -(x+1) = -x-1$.

$$ \frac{1}{2} \cdot 2 \log_{x+4}|x+1| \le 3 - \log_{-x-1}((-x-1)(x+4)) $$

$$ \log_{x+4}(-x-1) \le 3 - (\log_{-x-1}(-x-1) + \log_{-x-1}(x+4)) $$

Так как $\log_b(b) = 1$, получаем:

$$ \log_{x+4}(-x-1) \le 3 - (1 + \log_{-x-1}(x+4)) $$

$$ \log_{x+4}(-x-1) + \log_{-x-1}(x+4) \le 2 $$

Сделаем замену. Пусть $t = \log_{x+4}(-x-1)$. Тогда, используя формулу перехода к новому основанию, $\log_{-x-1}(x+4) = \frac{1}{\log_{x+4}(-x-1)} = \frac{1}{t}$.

Неравенство для $t$ имеет вид:

$$ t + \frac{1}{t} \le 2 $$

$$ \frac{t^2+1}{t} - 2 \le 0 $$

$$ \frac{t^2 - 2t + 1}{t} \le 0 $$

$$ \frac{(t-1)^2}{t} \le 0 $$

Числитель $(t-1)^2$ всегда неотрицателен. Дробь будет меньше или равна нулю, если числитель равен нулю или если знаменатель отрицателен (а числитель при этом положителен).

1. $(t-1)^2 = 0 \implies t=1$.

2. $t < 0$.

Таким образом, мы должны решить совокупность $\log_{x+4}(-x-1) = 1$ и $\log_{x+4}(-x-1) < 0$.

Решение зависит от значения основания логарифма $x+4$. Рассмотрим два случая, предусмотренных ОДЗ.

Случай 1: Основание $0 < x+4 < 1$, что соответствует интервалу $-4 < x < -3$. На этом интервале логарифмическая функция является убывающей.

Решаем совокупность:

$$ \left[ \begin{gathered} \log_{x+4}(-x-1) = 1 \\ \log_{x+4}(-x-1) < 0 \end{gathered} \right. $$

a) $\log_{x+4}(-x-1) = 1 \implies -x-1 = x+4 \implies 2x = -5 \implies x = -2.5$. Это значение входит в интервал $(-4, -3)$, значит, является решением.

b) $\log_{x+4}(-x-1) < 0 \implies \log_{x+4}(-x-1) < \log_{x+4}(1)$. Так как основание $x+4 \in (0,1)$, знак неравенства меняется на противоположный: $-x-1 > 1 \implies -x > 2 \implies x < -2$. Пересекая это условие с рассматриваемым интервалом $(-4, -3)$, получаем весь интервал $(-4, -3)$.

Объединяя решения (a) и (b) для первого случая, получаем интервал $(-4, -3)$, так как точка $x=-2.5$ уже в него входит.

Случай 2: Основание $x+4 > 1$, что соответствует $x > -3$. С учетом ОДЗ, это $x \in (-3, -2) \cup (-2, -1)$. На этой области логарифмическая функция является возрастающей.

Снова решаем ту же совокупность:

a) $\log_{x+4}(-x-1) = 1 \implies x = -2.5$. Это значение входит в область $x \in (-3, -2) \cup (-2, -1)$, а именно в интервал $(-3, -2)$, и является решением.

b) $\log_{x+4}(-x-1) < 0 \implies \log_{x+4}(-x-1) < \log_{x+4}(1)$. Так как основание $x+4 > 1$, знак неравенства сохраняется. С учетом того, что аргумент логарифма должен быть положителен, получаем: $0 < -x-1 < 1$.

Решаем двойное неравенство: $\begin{cases} -x-1 > 0 \\ -x-1 < 1 \end{cases} \implies \begin{cases} x < -1 \\ x > -2 \end{cases} \implies x \in (-2, -1)$.

Интервал $(-2, -1)$ полностью входит в рассматриваемую область, поэтому является решением.

Объединяя решения (a) и (b) для второго случая, получаем $\{-2.5\} \cup (-2, -1)$.

Итоговое решение неравенства является объединением решений, полученных в обоих случаях.

$$ (-4, -3) \cup \{-2.5\} \cup (-2, -1) $$

Ответ: $x \in (-4, -3) \cup \{-2.5\} \cup (-2, -1)$.

Помогло решение? Оставьте отзыв в комментариях ниже.

Присоединяйтесь к Телеграм-группе @gdz_by_belarus

Присоединиться

Мы подготовили для вас ответ c подробным объяснением домашего задания по алгебре за 11 класс, для упражнения номер 3.243 расположенного на странице 158 к учебнику 2020 года издания для учащихся школ и гимназий.

Теперь на нашем сайте ГДЗ.ТОП вы всегда легко и бесплатно найдёте условие с правильным ответом на вопрос «Как решить ДЗ» и «Как сделать» задание по алгебре к упражнению №3.243 (с. 158), авторов: Арефьева (Ирина Глебовна), Пирютко (Ольга Николаевна), учебного пособия издательства Народная асвета.