Номер 3.236, страница 157 - гдз по алгебре 11 класс учебник Арефьева, Пирютко

Алгебра, 11 класс Учебник, авторы: Арефьева Ирина Глебовна, Пирютко Ольга Николаевна, издательство Народная асвета, Минск, 2020, бирюзового цвета

Авторы: Арефьева И. Г., Пирютко О. Н.

Тип: Учебник

Издательство: Народная асвета

Год издания: 2020 - 2026

Цвет обложки: бирюзовый, зелёный с графиком

ISBN: 978-985-03-3165-6

Популярные ГДЗ в 11 классе

Глава 3. Логарифмическая функция. Параграф 10. Логарифмические неравенства - номер 3.236, страница 157.

№3.236 (с. 157)
Условие. №3.236 (с. 157)
скриншот условия
Алгебра, 11 класс Учебник, авторы: Арефьева Ирина Глебовна, Пирютко Ольга Николаевна, издательство Народная асвета, Минск, 2020, бирюзового цвета, страница 157, номер 3.236, Условие

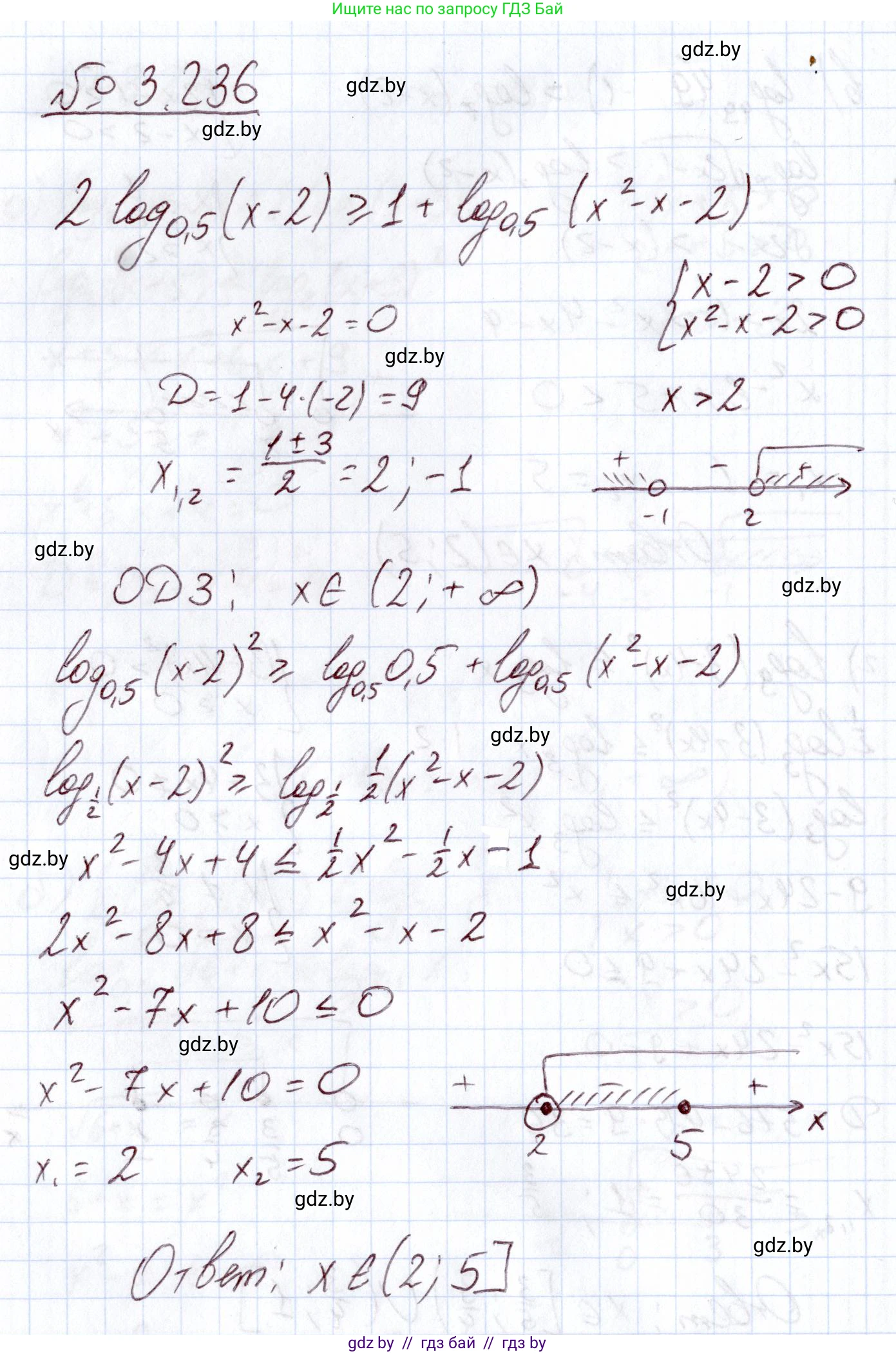
3.236* Выполните анализ условия и решите неравенство

$2\log_{0.5}(x-2) \ge 1 + \log_{0.5}(x^2-x-2).$

Решение. №3.236 (с. 157)
Алгебра, 11 класс Учебник, авторы: Арефьева Ирина Глебовна, Пирютко Ольга Николаевна, издательство Народная асвета, Минск, 2020, бирюзового цвета, страница 157, номер 3.236, Решение
Решение 2. №3.236 (с. 157)

Анализ условия

Данное неравенство является логарифмическим. Область допустимых значений (ОДЗ) переменной $x$ определяется условиями, при которых выражения под знаками логарифмов должны быть строго положительными.

1. Для логарифма $\log_{0,5}(x - 2)$ должно выполняться условие $x - 2 > 0$, откуда следует, что $x > 2$.

2. Для логарифма $\log_{0,5}(x^2 - x - 2)$ должно выполняться условие $x^2 - x - 2 > 0$. Для решения этого квадратного неравенства найдем корни уравнения $x^2 - x - 2 = 0$. Используя теорему Виета или формулу для корней квадратного уравнения, находим корни: $x_1 = -1$ и $x_2 = 2$. Неравенство можно представить в виде $(x + 1)(x - 2) > 0$. Решением этого неравенства является объединение интервалов $x \in (-\infty; -1) \cup (2; +\infty)$.

3. Найдем пересечение полученных условий для определения ОДЗ исходного неравенства: $\begin{cases} x > 2 \\ x \in (-\infty; -1) \cup (2; +\infty) \end{cases}$ Пересечением этих двух множеств является интервал $x \in (2; +\infty)$.

Таким образом, область допустимых значений для исходного неравенства: $x > 2$.

Решение неравенства

На области допустимых значений $x \in (2; +\infty)$ решим неравенство $2\log_{0,5}(x - 2) \ge 1 + \log_{0,5}(x^2 - x - 2)$.

Преобразуем неравенство, используя свойства логарифмов. Применим свойство $n\log_a b = \log_a (b^n)$ к левой части. Представим $1$ как логарифм по основанию $0,5$: $1 = \log_{0,5}(0,5)$. Неравенство принимает вид: $\log_{0,5}((x - 2)^2) \ge \log_{0,5}(0,5) + \log_{0,5}(x^2 - x - 2)$.

Применим свойство суммы логарифмов $\log_a b + \log_a c = \log_a (bc)$ к правой части: $\log_{0,5}((x - 2)^2) \ge \log_{0,5}(0,5(x^2 - x - 2))$.

Так как основание логарифма $0,5$ находится в интервале $(0; 1)$, логарифмическая функция является убывающей. Это означает, что при переходе от логарифмов к их аргументам знак неравенства необходимо изменить на противоположный: $(x - 2)^2 \le 0,5(x^2 - x - 2)$.

Теперь решим полученное алгебраическое неравенство. Раскроем скобки: $x^2 - 4x + 4 \le 0,5x^2 - 0,5x - 1$.

Перенесем все члены в левую часть и приведем подобные слагаемые: $(x^2 - 0,5x^2) + (-4x + 0,5x) + (4 + 1) \le 0$ $0,5x^2 - 3,5x + 5 \le 0$.

Умножим обе части неравенства на 2, чтобы избавиться от дробных коэффициентов: $x^2 - 7x + 10 \le 0$.

Найдем корни квадратного трехчлена $x^2 - 7x + 10 = 0$. Корнями являются $x_1 = 2$ и $x_2 = 5$. Неравенство можно записать в виде $(x - 2)(x - 5) \le 0$. Решением этого неравенства является отрезок $[2; 5]$.

На последнем шаге необходимо учесть ОДЗ, которое мы определили вначале: $x \in (2; +\infty)$. Найдем пересечение множества решений неравенства $[2; 5]$ и области допустимых значений $(2; +\infty)$: $x \in [2; 5] \cap (2; +\infty) = (2; 5]$.

Ответ: $x \in (2; 5]$.

Помогло решение? Оставьте отзыв в комментариях ниже.

Присоединяйтесь к Телеграм-группе @gdz_by_belarus

Присоединиться

Мы подготовили для вас ответ c подробным объяснением домашего задания по алгебре за 11 класс, для упражнения номер 3.236 расположенного на странице 157 к учебнику 2020 года издания для учащихся школ и гимназий.

Теперь на нашем сайте ГДЗ.ТОП вы всегда легко и бесплатно найдёте условие с правильным ответом на вопрос «Как решить ДЗ» и «Как сделать» задание по алгебре к упражнению №3.236 (с. 157), авторов: Арефьева (Ирина Глебовна), Пирютко (Ольга Николаевна), учебного пособия издательства Народная асвета.