Номер 3.229, страница 156 - гдз по алгебре 11 класс учебник Арефьева, Пирютко

Алгебра, 11 класс Учебник, авторы: Арефьева Ирина Глебовна, Пирютко Ольга Николаевна, издательство Народная асвета, Минск, 2020, бирюзового цвета

Авторы: Арефьева И. Г., Пирютко О. Н.

Тип: Учебник

Издательство: Народная асвета

Год издания: 2020 - 2026

Цвет обложки: бирюзовый, зелёный с графиком

ISBN: 978-985-03-3165-6

Популярные ГДЗ в 11 классе

Глава 3. Логарифмическая функция. Параграф 10. Логарифмические неравенства - номер 3.229, страница 156.

№3.229 (с. 156)
Условие. №3.229 (с. 156)
скриншот условия
Алгебра, 11 класс Учебник, авторы: Арефьева Ирина Глебовна, Пирютко Ольга Николаевна, издательство Народная асвета, Минск, 2020, бирюзового цвета, страница 156, номер 3.229, Условие

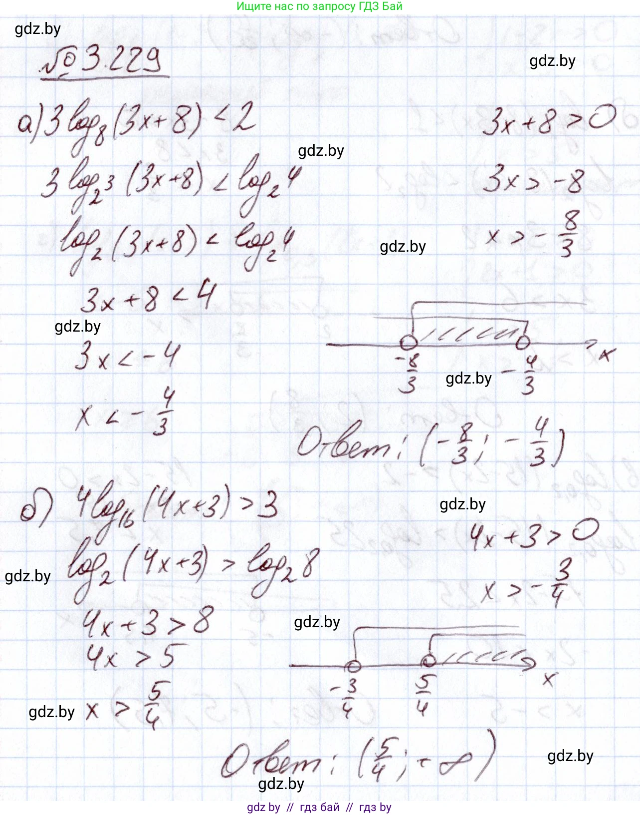
3.229. Решите неравенство, используя свойства логарифмов:

a) $3\log_8(3x + 8) < 2;$

б) $4\log_{16}(4x + 3) > 3.$

Решение. №3.229 (с. 156)
Алгебра, 11 класс Учебник, авторы: Арефьева Ирина Глебовна, Пирютко Ольга Николаевна, издательство Народная асвета, Минск, 2020, бирюзового цвета, страница 156, номер 3.229, Решение
Решение 2. №3.229 (с. 156)

а) $3\log_8(3x + 8) < 2$

1. Нахождение области допустимых значений (ОДЗ).
Аргумент логарифма должен быть строго больше нуля:
$3x + 8 > 0$
$3x > -8$
$x > -\frac{8}{3}$

2. Преобразование неравенства.
Разделим обе части исходного неравенства на 3:
$\log_8(3x + 8) < \frac{2}{3}$

3. Приведение к одному основанию.
Представим правую часть неравенства в виде логарифма с основанием 8, используя свойство $a = \log_b(b^a)$:
$\frac{2}{3} = \log_8(8^{\frac{2}{3}})$
Вычислим значение $8^{\frac{2}{3}}$:
$8^{\frac{2}{3}} = (2^3)^{\frac{2}{3}} = 2^{3 \cdot \frac{2}{3}} = 2^2 = 4$
Теперь неравенство можно переписать так:
$\log_8(3x + 8) < \log_8(4)$

4. Решение неравенства для аргументов.
Так как основание логарифма $8 > 1$, логарифмическая функция является возрастающей. Это значит, что для аргументов сохраняется тот же знак неравенства:
$3x + 8 < 4$
$3x < 4 - 8$
$3x < -4$
$x < -\frac{4}{3}$

5. Учет ОДЗ.
Найдем пересечение полученного решения с областью допустимых значений. Составим систему неравенств:
$\begin{cases} x > -\frac{8}{3} \\ x < -\frac{4}{3} \end{cases}$
Поскольку $-\frac{8}{3} \approx -2.67$, а $-\frac{4}{3} \approx -1.33$, решением системы является интервал $x \in (-\frac{8}{3}, -\frac{4}{3})$.

Ответ: $(-\frac{8}{3}, -\frac{4}{3})$


б) $4\log_{16}(4x + 3) > 3$

1. Нахождение области допустимых значений (ОДЗ).
Аргумент логарифма должен быть строго положительным:
$4x + 3 > 0$
$4x > -3$
$x > -\frac{3}{4}$

2. Преобразование неравенства.
Разделим обе части неравенства на 4:
$\log_{16}(4x + 3) > \frac{3}{4}$

3. Приведение к одному основанию.
Представим правую часть в виде логарифма с основанием 16:
$\frac{3}{4} = \log_{16}(16^{\frac{3}{4}})$
Вычислим значение $16^{\frac{3}{4}}$:
$16^{\frac{3}{4}} = (2^4)^{\frac{3}{4}} = 2^{4 \cdot \frac{3}{4}} = 2^3 = 8$
Неравенство принимает вид:
$\log_{16}(4x + 3) > \log_{16}(8)$

4. Решение неравенства для аргументов.
Основание логарифма $16 > 1$, поэтому логарифмическая функция является возрастающей. Знак неравенства для аргументов сохраняется:
$4x + 3 > 8$
$4x > 8 - 3$
$4x > 5$
$x > \frac{5}{4}$

5. Учет ОДЗ.
Объединим результат с ОДЗ в систему:
$\begin{cases} x > -\frac{3}{4} \\ x > \frac{5}{4} \end{cases}$
Так как $\frac{5}{4} = 1.25$, а $-\frac{3}{4} = -0.75$, то условие $x > \frac{5}{4}$ является более строгим. Оно включает в себя условие $x > -\frac{3}{4}$. Следовательно, решением системы является $x > \frac{5}{4}$.

Ответ: $(\frac{5}{4}, +\infty)$

Помогло решение? Оставьте отзыв в комментариях ниже.

Присоединяйтесь к Телеграм-группе @gdz_by_belarus

Присоединиться

Мы подготовили для вас ответ c подробным объяснением домашего задания по алгебре за 11 класс, для упражнения номер 3.229 расположенного на странице 156 к учебнику 2020 года издания для учащихся школ и гимназий.

Теперь на нашем сайте ГДЗ.ТОП вы всегда легко и бесплатно найдёте условие с правильным ответом на вопрос «Как решить ДЗ» и «Как сделать» задание по алгебре к упражнению №3.229 (с. 156), авторов: Арефьева (Ирина Глебовна), Пирютко (Ольга Николаевна), учебного пособия издательства Народная асвета.