Номер 3.232, страница 157 - гдз по алгебре 11 класс учебник Арефьева, Пирютко

Алгебра, 11 класс Учебник, авторы: Арефьева Ирина Глебовна, Пирютко Ольга Николаевна, издательство Народная асвета, Минск, 2020, бирюзового цвета

Авторы: Арефьева И. Г., Пирютко О. Н.

Тип: Учебник

Издательство: Народная асвета

Год издания: 2020 - 2026

Цвет обложки: бирюзовый, зелёный с графиком

ISBN: 978-985-03-3165-6

Популярные ГДЗ в 11 классе

Глава 3. Логарифмическая функция. Параграф 10. Логарифмические неравенства - номер 3.232, страница 157.

№3.232 (с. 157)
Условие. №3.232 (с. 157)
скриншот условия
Алгебра, 11 класс Учебник, авторы: Арефьева Ирина Глебовна, Пирютко Ольга Николаевна, издательство Народная асвета, Минск, 2020, бирюзового цвета, страница 157, номер 3.232, Условие

3.232. Представьте число в виде логарифма и решите неравенство:

a) $\log_4 \frac{x+3}{2-x} < 1;$

б) $\log_{\frac{1}{2}} \frac{5+x}{3-x} > -1;$

в) $\log_{0,5} \frac{2x-1}{x+1} > -2;$

г) $\log_3 \frac{x-3}{1-x} \ge 0;$

д) $\log_{0,4} \frac{x^2-x}{x^2+x} < 0;$

е) $\log_2 \frac{2x-5}{x+1} \le 0.$

Решение. №3.232 (с. 157)
Алгебра, 11 класс Учебник, авторы: Арефьева Ирина Глебовна, Пирютко Ольга Николаевна, издательство Народная асвета, Минск, 2020, бирюзового цвета, страница 157, номер 3.232, Решение Алгебра, 11 класс Учебник, авторы: Арефьева Ирина Глебовна, Пирютко Ольга Николаевна, издательство Народная асвета, Минск, 2020, бирюзового цвета, страница 157, номер 3.232, Решение (продолжение 2)
Решение 2. №3.232 (с. 157)

а)

Исходное неравенство: $\log_4\frac{x+3}{2-x} < 1$.

Сначала найдем область допустимых значений (ОДЗ). Аргумент логарифма должен быть строго положительным:

$\frac{x+3}{2-x} > 0$

Решим это неравенство методом интервалов. Нули числителя: $x = -3$. Нуль знаменателя: $x = 2$. На числовой оси отмечаем точки -3 и 2. Они разбивают ось на три интервала. Определяем знаки выражения на каждом интервале.

$(-\infty; -3)$: $(-)$

$(-3; 2)$: $(+)$

$(2; +\infty)$: $(-)$

Нам нужен интервал, где выражение больше нуля. ОДЗ: $x \in (-3; 2)$.

Теперь решим само неравенство. Представим число 1 в виде логарифма по основанию 4:

$1 = \log_4(4^1) = \log_4(4)$

Подставим это в исходное неравенство:

$\log_4\frac{x+3}{2-x} < \log_4(4)$

Так как основание логарифма $4 > 1$, то при переходе к неравенству для аргументов знак неравенства сохраняется:

$\frac{x+3}{2-x} < 4$

$\frac{x+3}{2-x} - 4 < 0$

$\frac{x+3 - 4(2-x)}{2-x} < 0$

$\frac{x+3 - 8 + 4x}{2-x} < 0$

$\frac{5x-5}{2-x} < 0$

Нули числителя: $x=1$. Нуль знаменателя: $x=2$. Решая методом интервалов, получаем: $x \in (-\infty; 1) \cup (2; +\infty)$.

Найдем пересечение полученного решения с ОДЗ: $x \in (-3; 2) \cap ((-\infty; 1) \cup (2; +\infty))$.

Пересечением является интервал $(-3; 1)$.

Ответ: $(-3; 1)$.

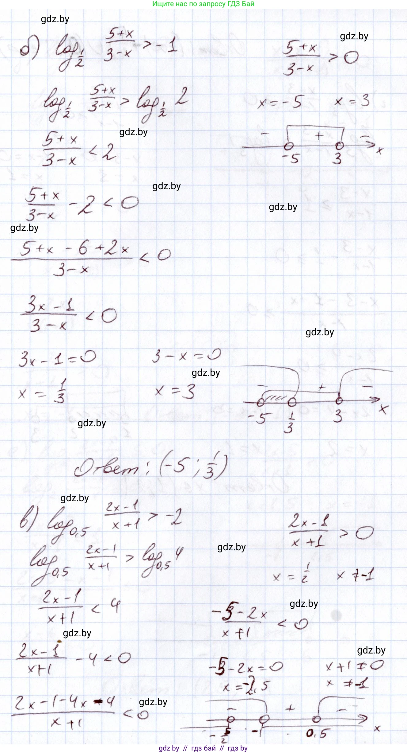
б)

Исходное неравенство: $\log_{\frac{1}{2}}\frac{5+x}{3-x} > -1$.

ОДЗ: $\frac{5+x}{3-x} > 0$. Нули: $x=-5$, $x=3$. Методом интервалов получаем $x \in (-5; 3)$.

Представим -1 в виде логарифма по основанию $\frac{1}{2}$:

$-1 = \log_{\frac{1}{2}}((\frac{1}{2})^{-1}) = \log_{\frac{1}{2}}(2)$

Неравенство принимает вид:

$\log_{\frac{1}{2}}\frac{5+x}{3-x} > \log_{\frac{1}{2}}(2)$

Так как основание логарифма $0 < \frac{1}{2} < 1$, знак неравенства меняется на противоположный:

$\frac{5+x}{3-x} < 2$

$\frac{5+x}{3-x} - 2 < 0$

$\frac{5+x - 2(3-x)}{3-x} < 0$

$\frac{5+x - 6 + 2x}{3-x} < 0$

$\frac{3x-1}{3-x} < 0$

Нули: $x = \frac{1}{3}$, $x=3$. Методом интервалов получаем $x \in (-\infty; \frac{1}{3}) \cup (3; +\infty)$.

Найдем пересечение с ОДЗ: $x \in (-5; 3) \cap ((-\infty; \frac{1}{3}) \cup (3; +\infty))$.

Пересечением является интервал $(-5; \frac{1}{3})$.

Ответ: $(-5; \frac{1}{3})$.

в)

Исходное неравенство: $\log_{0,5}\frac{2x-1}{x+1} > -2$.

ОДЗ: $\frac{2x-1}{x+1} > 0$. Нули: $x = \frac{1}{2}$, $x=-1$. Методом интервалов получаем $x \in (-\infty; -1) \cup (\frac{1}{2}; +\infty)$.

Представим -2 в виде логарифма по основанию 0,5:

$-2 = \log_{0,5}((0,5)^{-2}) = \log_{0,5}((\frac{1}{2})^{-2}) = \log_{0,5}(4)$

Неравенство принимает вид:

$\log_{0,5}\frac{2x-1}{x+1} > \log_{0,5}(4)$

Так как основание $0 < 0,5 < 1$, знак неравенства меняется:

$\frac{2x-1}{x+1} < 4$

$\frac{2x-1}{x+1} - 4 < 0$

$\frac{2x-1 - 4(x+1)}{x+1} < 0$

$\frac{2x-1 - 4x - 4}{x+1} < 0$

$\frac{-2x-5}{x+1} < 0 \implies \frac{2x+5}{x+1} > 0$

Нули: $x = -\frac{5}{2}$, $x=-1$. Методом интервалов получаем $x \in (-\infty; -\frac{5}{2}) \cup (-1; +\infty)$.

Найдем пересечение с ОДЗ: $x \in ((-\infty; -1) \cup (\frac{1}{2}; +\infty)) \cap ((-\infty; -\frac{5}{2}) \cup (-1; +\infty))$.

Пересечением является $x \in (-\infty; -\frac{5}{2}) \cup (\frac{1}{2}; +\infty)$.

Ответ: $(-\infty; -2,5) \cup (0,5; +\infty)$.

г)

Исходное неравенство: $\log_3\frac{x-3}{1-x} \ge 0$.

ОДЗ: $\frac{x-3}{1-x} > 0$. Нули: $x=3$, $x=1$. Методом интервалов получаем $x \in (1; 3)$.

Представим 0 в виде логарифма по основанию 3:

$0 = \log_3(3^0) = \log_3(1)$

Неравенство принимает вид:

$\log_3\frac{x-3}{1-x} \ge \log_3(1)$

Так как основание $3 > 1$, знак неравенства сохраняется:

$\frac{x-3}{1-x} \ge 1$

$\frac{x-3}{1-x} - 1 \ge 0$

$\frac{x-3 - (1-x)}{1-x} \ge 0$

$\frac{2x-4}{1-x} \ge 0$

Нули: $x=2$, $x=1$. Методом интервалов получаем $x \in (1; 2]$.

Найдем пересечение с ОДЗ: $x \in (1; 3) \cap (1; 2]$.

Пересечением является интервал $(1; 2]$.

Ответ: $(1; 2]$.

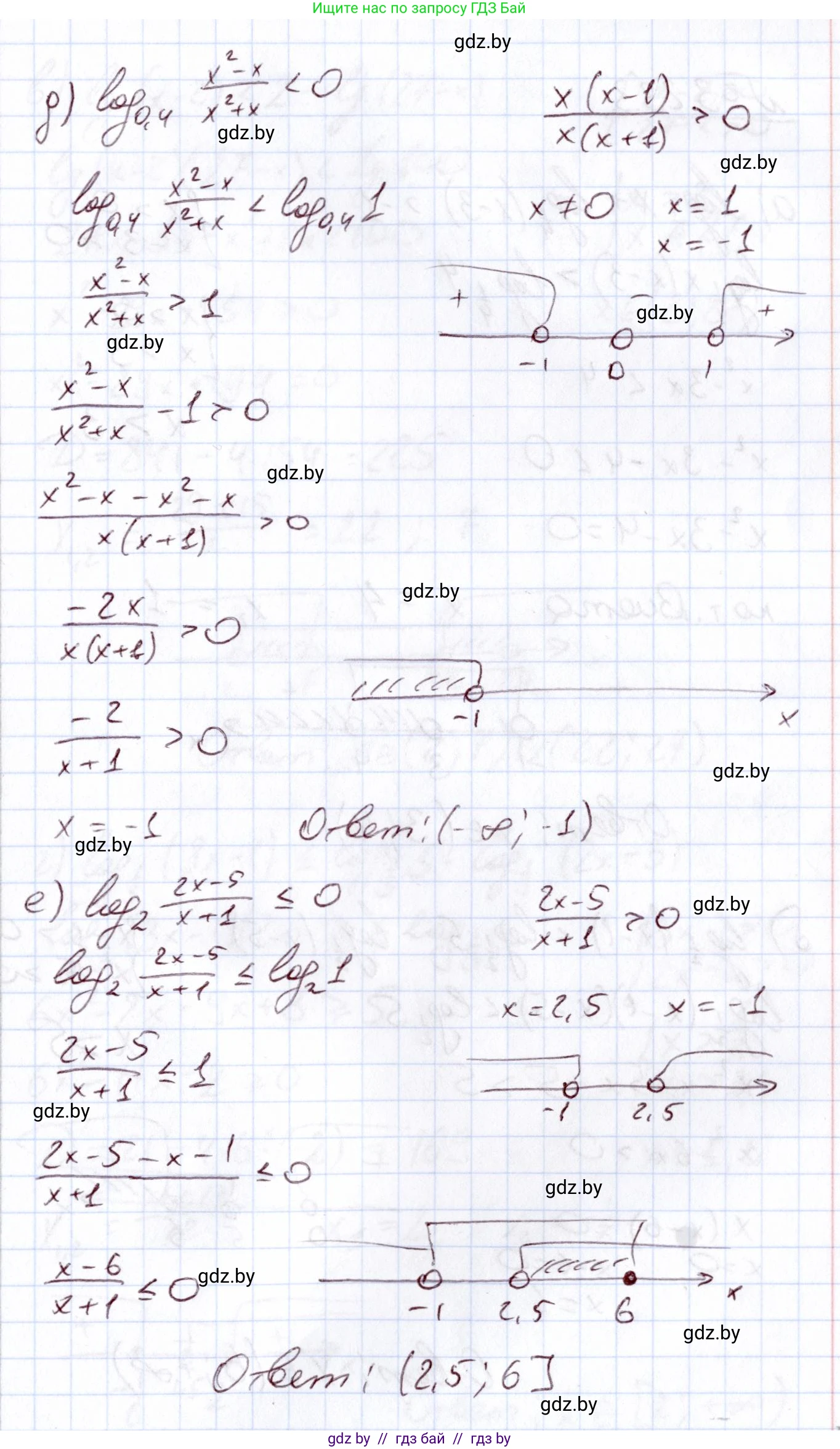
д)

Исходное неравенство: $\log_{0,4}\frac{x^2-x}{x^2+x} < 0$.

ОДЗ: $\frac{x^2-x}{x^2+x} > 0 \implies \frac{x(x-1)}{x(x+1)} > 0$. Так как $x \ne 0$, сокращаем $x$: $\frac{x-1}{x+1} > 0$.

Нули: $x=1$, $x=-1$. Методом интервалов получаем $x \in (-\infty; -1) \cup (1; +\infty)$.

Представим 0 в виде логарифма по основанию 0,4:

$0 = \log_{0,4}(0,4^0) = \log_{0,4}(1)$

Неравенство принимает вид:

$\log_{0,4}\frac{x^2-x}{x^2+x} < \log_{0,4}(1)$

Так как основание $0 < 0,4 < 1$, знак неравенства меняется:

$\frac{x^2-x}{x^2+x} > 1$

$\frac{x^2-x}{x^2+x} - 1 > 0$

$\frac{x^2-x - (x^2+x)}{x^2+x} > 0$

$\frac{-2x}{x(x+1)} > 0$

Учитывая ОДЗ ($x \ne 0$), сокращаем $x$: $\frac{-2}{x+1} > 0$.

Это неравенство выполняется, когда $x+1 < 0$, то есть $x < -1$.

Найдем пересечение с ОДЗ: $x \in ((-\infty; -1) \cup (1; +\infty)) \cap (-\infty; -1)$.

Пересечением является интервал $(-\infty; -1)$.

Ответ: $(-\infty; -1)$.

е)

Исходное неравенство: $\log_2\frac{2x-5}{x+1} \le 0$.

ОДЗ: $\frac{2x-5}{x+1} > 0$. Нули: $x = \frac{5}{2}$, $x=-1$. Методом интервалов получаем $x \in (-\infty; -1) \cup (\frac{5}{2}; +\infty)$.

Представим 0 в виде логарифма по основанию 2:

$0 = \log_2(2^0) = \log_2(1)$

Неравенство принимает вид:

$\log_2\frac{2x-5}{x+1} \le \log_2(1)$

Так как основание $2 > 1$, знак неравенства сохраняется:

$\frac{2x-5}{x+1} \le 1$

$\frac{2x-5}{x+1} - 1 \le 0$

$\frac{2x-5 - (x+1)}{x+1} \le 0$

$\frac{x-6}{x+1} \le 0$

Нули: $x=6$, $x=-1$. Методом интервалов получаем $x \in (-1; 6]$.

Найдем пересечение с ОДЗ: $x \in ((-\infty; -1) \cup (\frac{5}{2}; +\infty)) \cap (-1; 6]$.

Пересечением является интервал $(\frac{5}{2}; 6]$.

Ответ: $(2,5; 6]$.

Помогло решение? Оставьте отзыв в комментариях ниже.

Присоединяйтесь к Телеграм-группе @gdz_by_belarus

Присоединиться

Мы подготовили для вас ответ c подробным объяснением домашего задания по алгебре за 11 класс, для упражнения номер 3.232 расположенного на странице 157 к учебнику 2020 года издания для учащихся школ и гимназий.

Теперь на нашем сайте ГДЗ.ТОП вы всегда легко и бесплатно найдёте условие с правильным ответом на вопрос «Как решить ДЗ» и «Как сделать» задание по алгебре к упражнению №3.232 (с. 157), авторов: Арефьева (Ирина Глебовна), Пирютко (Ольга Николаевна), учебного пособия издательства Народная асвета.