Номер 3.235, страница 157 - гдз по алгебре 11 класс учебник Арефьева, Пирютко

Алгебра, 11 класс Учебник, авторы: Арефьева Ирина Глебовна, Пирютко Ольга Николаевна, издательство Народная асвета, Минск, 2020, бирюзового цвета

Авторы: Арефьева И. Г., Пирютко О. Н.

Тип: Учебник

Издательство: Народная асвета

Год издания: 2020 - 2026

Цвет обложки: бирюзовый, зелёный с графиком

ISBN: 978-985-03-3165-6

Популярные ГДЗ в 11 классе

Глава 3. Логарифмическая функция. Параграф 10. Логарифмические неравенства - номер 3.235, страница 157.

№3.235 (с. 157)
Условие. №3.235 (с. 157)
скриншот условия
Алгебра, 11 класс Учебник, авторы: Арефьева Ирина Глебовна, Пирютко Ольга Николаевна, издательство Народная асвета, Минск, 2020, бирюзового цвета, страница 157, номер 3.235, Условие

3.235. Решите неравенство:

а) $\log_2(x + 5) < 2\log_2(x + 3);$

б) $\frac{1}{2}\log_{0,1}(6 + x) \le \log_{0,1} x;$

в) $\log_{49}(2x - 1) > \log_7(x - 2);$

г)* $\log_9(3 - 4x)^2 \le \log_3 x.$

Решение. №3.235 (с. 157)
Алгебра, 11 класс Учебник, авторы: Арефьева Ирина Глебовна, Пирютко Ольга Николаевна, издательство Народная асвета, Минск, 2020, бирюзового цвета, страница 157, номер 3.235, Решение Алгебра, 11 класс Учебник, авторы: Арефьева Ирина Глебовна, Пирютко Ольга Николаевна, издательство Народная асвета, Минск, 2020, бирюзового цвета, страница 157, номер 3.235, Решение (продолжение 2)
Решение 2. №3.235 (с. 157)

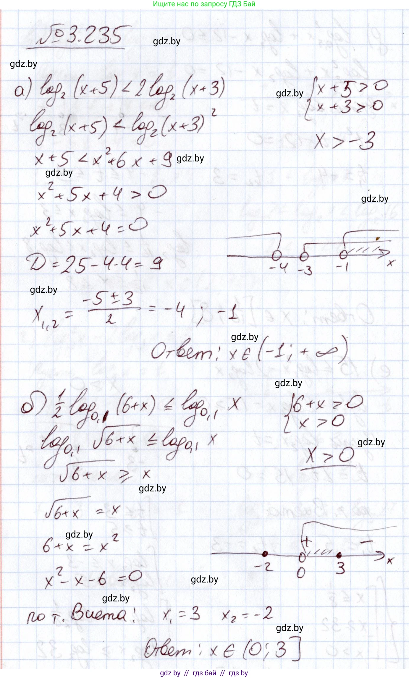
а) $\log_2(x + 5) < 2\log_2(x + 3)$

1. Найдем область допустимых значений (ОДЗ). Аргументы логарифмов должны быть строго положительными:
$\begin{cases} x + 5 > 0 \\ x + 3 > 0 \end{cases} \Rightarrow \begin{cases} x > -5 \\ x > -3 \end{cases}$
Пересечением этих условий является $x > -3$. Таким образом, ОДЗ: $x \in (-3, +\infty)$.

2. Преобразуем правую часть неравенства, используя свойство логарифма $n \log_b a = \log_b a^n$:
$2\log_2(x + 3) = \log_2((x + 3)^2)$.
Неравенство принимает вид:
$\log_2(x + 5) < \log_2((x + 3)^2)$.

3. Так как основание логарифма $2 > 1$, логарифмическая функция является возрастающей. Поэтому при переходе к неравенству для аргументов знак неравенства сохраняется:
$x + 5 < (x + 3)^2$.

4. Решим полученное квадратное неравенство:
$x + 5 < x^2 + 6x + 9$
$0 < x^2 + 5x + 4$
$x^2 + 5x + 4 > 0$.
Найдем корни уравнения $x^2 + 5x + 4 = 0$. По теореме Виета, $x_1 = -4$, $x_2 = -1$.
Так как ветви параболы $y = x^2 + 5x + 4$ направлены вверх, неравенство выполняется при $x \in (-\infty, -4) \cup (-1, +\infty)$.

5. Найдем пересечение полученного решения с ОДЗ ($x > -3$):
$((-\infty, -4) \cup (-1, +\infty)) \cap (-3, +\infty) = (-1, +\infty)$.

Ответ: $x \in (-1, +\infty)$.

б) $\frac{1}{2}\log_{0,1}(6 + x) \le \log_{0,1}x$

1. Найдем ОДЗ:
$\begin{cases} 6 + x > 0 \\ x > 0 \end{cases} \Rightarrow \begin{cases} x > -6 \\ x > 0 \end{cases}$
ОДЗ: $x \in (0, +\infty)$.

2. Преобразуем левую часть неравенства:
$\frac{1}{2}\log_{0,1}(6 + x) = \log_{0,1}((6+x)^{1/2}) = \log_{0,1}(\sqrt{6+x})$.
Неравенство принимает вид:
$\log_{0,1}(\sqrt{6+x}) \le \log_{0,1}x$.

3. Так как основание логарифма $0,1 < 1$, логарифмическая функция является убывающей. Поэтому при переходе к неравенству для аргументов знак неравенства меняется на противоположный:
$\sqrt{6+x} \ge x$.

4. Решим полученное иррациональное неравенство. С учетом ОДЗ ($x>0$), обе части неравенства неотрицательны. Можно возвести обе части в квадрат:
$6 + x \ge x^2$
$0 \ge x^2 - x - 6$
$x^2 - x - 6 \le 0$.
Найдем корни уравнения $x^2 - x - 6 = 0$. По теореме Виета, $x_1 = -2$, $x_2 = 3$.
Так как ветви параболы $y = x^2 - x - 6$ направлены вверх, неравенство выполняется при $x \in [-2, 3]$.

5. Найдем пересечение полученного решения с ОДЗ ($x > 0$):
$[-2, 3] \cap (0, +\infty) = (0, 3]$.

Ответ: $x \in (0, 3]$.

в) $\log_{49}(2x - 1) > \log_7(x - 2)$

1. Найдем ОДЗ:
$\begin{cases} 2x - 1 > 0 \\ x - 2 > 0 \end{cases} \Rightarrow \begin{cases} x > 1/2 \\ x > 2 \end{cases}$
ОДЗ: $x \in (2, +\infty)$.

2. Приведем логарифмы к одному основанию 7, используя формулу $\log_{a^k}b = \frac{1}{k}\log_a b$:
$\log_{49}(2x-1) = \log_{7^2}(2x-1) = \frac{1}{2}\log_7(2x-1)$.
Неравенство принимает вид:
$\frac{1}{2}\log_7(2x-1) > \log_7(x-2)$.
Умножим обе части на 2:
$\log_7(2x-1) > 2\log_7(x-2)$.
$\log_7(2x-1) > \log_7((x-2)^2)$.

3. Так как основание логарифма $7 > 1$, переходим к неравенству для аргументов, сохраняя знак:
$2x - 1 > (x-2)^2$.

4. Решим полученное квадратное неравенство:
$2x - 1 > x^2 - 4x + 4$
$0 > x^2 - 6x + 5$
$x^2 - 6x + 5 < 0$.
Найдем корни уравнения $x^2 - 6x + 5 = 0$. По теореме Виета, $x_1 = 1$, $x_2 = 5$.
Так как ветви параболы $y = x^2 - 6x + 5$ направлены вверх, неравенство выполняется при $x \in (1, 5)$.

5. Найдем пересечение полученного решения с ОДЗ ($x > 2$):
$(1, 5) \cap (2, +\infty) = (2, 5)$.

Ответ: $x \in (2, 5)$.

г)* $\log_9(3 - 4x)^2 \le \log_3 x$

1. Найдем ОДЗ:
$\begin{cases} (3 - 4x)^2 > 0 \\ x > 0 \end{cases} \Rightarrow \begin{cases} 3 - 4x \ne 0 \\ x > 0 \end{cases} \Rightarrow \begin{cases} x \ne 3/4 \\ x > 0 \end{cases}$
ОДЗ: $x \in (0, 3/4) \cup (3/4, +\infty)$.

2. Приведем логарифмы к основанию 3:
$\log_9(3 - 4x)^2 = \log_{3^2}(3 - 4x)^2 = \frac{1}{2}\log_3((3-4x)^2)$.
Неравенство принимает вид:
$\frac{1}{2}\log_3((3-4x)^2) \le \log_3 x$.
$\log_3((3-4x)^2) \le 2\log_3 x$.
$\log_3((3-4x)^2) \le \log_3(x^2)$.

3. Так как основание логарифма $3 > 1$, переходим к неравенству для аргументов, сохраняя знак:
$(3-4x)^2 \le x^2$.

4. Решим полученное квадратное неравенство:
$9 - 24x + 16x^2 \le x^2$
$15x^2 - 24x + 9 \le 0$.
Разделим обе части на 3:
$5x^2 - 8x + 3 \le 0$.
Найдем корни уравнения $5x^2 - 8x + 3 = 0$.
$D = (-8)^2 - 4 \cdot 5 \cdot 3 = 64 - 60 = 4$.
$x_{1,2} = \frac{8 \pm \sqrt{4}}{2 \cdot 5} = \frac{8 \pm 2}{10}$.
$x_1 = \frac{6}{10} = \frac{3}{5}$, $x_2 = \frac{10}{10} = 1$.
Так как ветви параболы $y = 5x^2 - 8x + 3$ направлены вверх, неравенство выполняется при $x \in [3/5, 1]$.

5. Найдем пересечение полученного решения с ОДЗ ($x \in (0, 3/4) \cup (3/4, +\infty)$).
Поскольку $3/5 = 0,6$ и $3/4 = 0,75$, точка $x=3/4$ лежит внутри отрезка $[3/5, 1]$. Эту точку необходимо исключить.
Пересечение: $[3/5, 3/4) \cup (3/4, 1]$.

Ответ: $x \in [3/5, 3/4) \cup (3/4, 1]$.

Помогло решение? Оставьте отзыв в комментариях ниже.

Присоединяйтесь к Телеграм-группе @gdz_by_belarus

Присоединиться

Мы подготовили для вас ответ c подробным объяснением домашего задания по алгебре за 11 класс, для упражнения номер 3.235 расположенного на странице 157 к учебнику 2020 года издания для учащихся школ и гимназий.

Теперь на нашем сайте ГДЗ.ТОП вы всегда легко и бесплатно найдёте условие с правильным ответом на вопрос «Как решить ДЗ» и «Как сделать» задание по алгебре к упражнению №3.235 (с. 157), авторов: Арефьева (Ирина Глебовна), Пирютко (Ольга Николаевна), учебного пособия издательства Народная асвета.