Номер 3.26, страница 109 - гдз по алгебре 11 класс учебник Арефьева, Пирютко

Алгебра, 11 класс Учебник, авторы: Арефьева Ирина Глебовна, Пирютко Ольга Николаевна, издательство Народная асвета, Минск, 2020, бирюзового цвета

Авторы: Арефьева И. Г., Пирютко О. Н.

Тип: Учебник

Издательство: Народная асвета

Год издания: 2020 - 2026

Цвет обложки: бирюзовый, зелёный с графиком

ISBN: 978-985-03-3165-6

Популярные ГДЗ в 11 классе

Глава 3. Логарифмическая функция. Параграф 7. Свойства логарифмов - номер 3.26, страница 109.

№3.26 (с. 109)
Условие. №3.26 (с. 109)
скриншот условия
Алгебра, 11 класс Учебник, авторы: Арефьева Ирина Глебовна, Пирютко Ольга Николаевна, издательство Народная асвета, Минск, 2020, бирюзового цвета, страница 109, номер 3.26, Условие

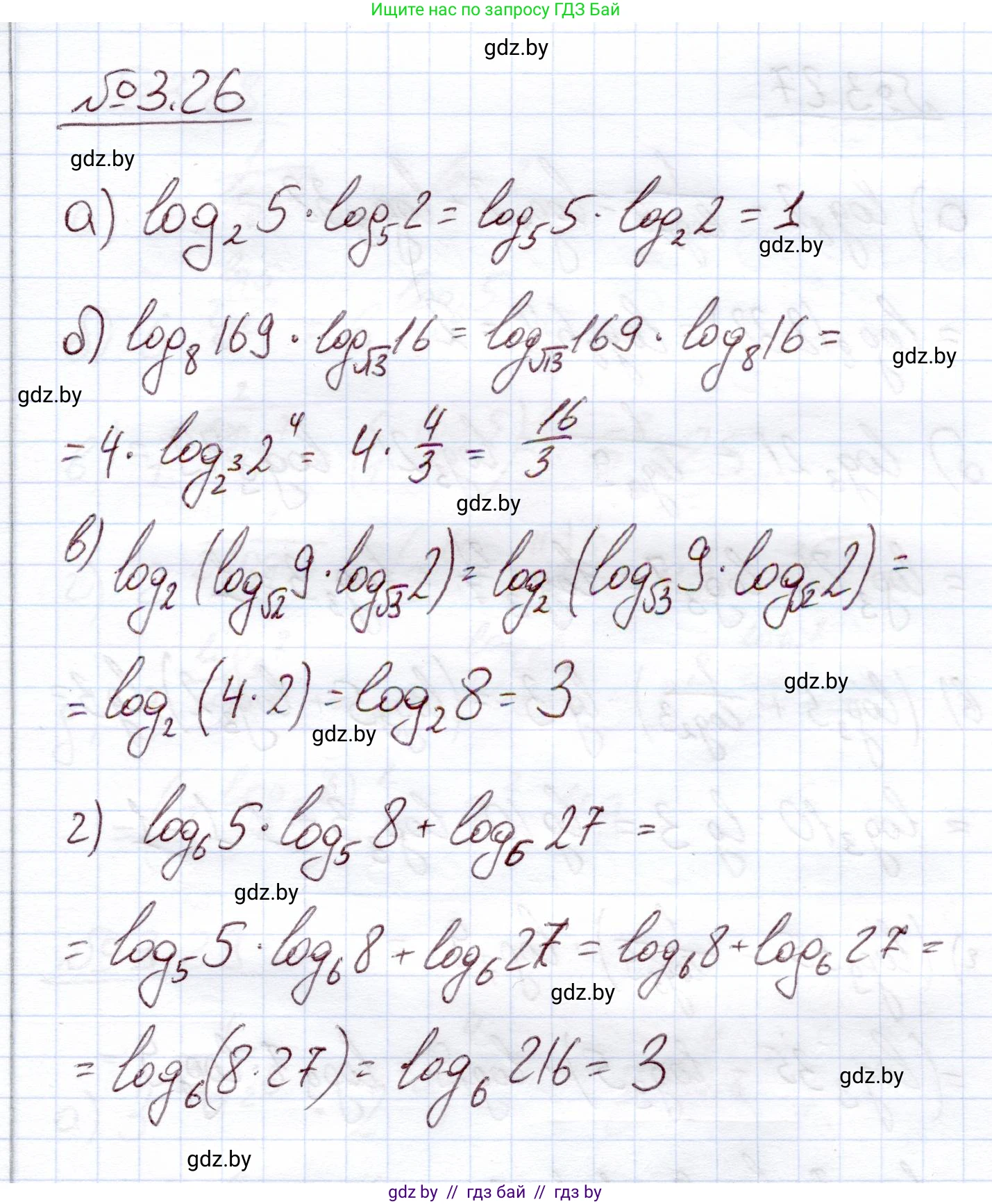
3.26. Найдите значение выражения:

а) $\log_2 5 \cdot \log_5 2;$

б) $\log_8 169 \cdot \log_{\sqrt{13}} 16;$

в) $\log_2(\log_{\sqrt{2}} 9 \cdot \log_{\sqrt{3}} 2);$

г) $\log_6 5 \cdot \log_5 8 + \log_6 27.$

Решение. №3.26 (с. 109)
Алгебра, 11 класс Учебник, авторы: Арефьева Ирина Глебовна, Пирютко Ольга Николаевна, издательство Народная асвета, Минск, 2020, бирюзового цвета, страница 109, номер 3.26, Решение
Решение 2. №3.26 (с. 109)

а) $ \log_2 5 \cdot \log_5 2 $

Для решения воспользуемся свойством логарифмов, которое является следствием формулы перехода к новому основанию: $ \log_a b \cdot \log_b a = 1 $.

В данном случае $ a = 2 $ и $ b = 5 $.

Следовательно, выражение равно:

$ \log_2 5 \cdot \log_5 2 = 1 $

Альтернативный способ решения — использовать формулу перехода к новому основанию $ \log_b a = \frac{1}{\log_a b} $:

$ \log_2 5 \cdot \log_5 2 = \log_2 5 \cdot \frac{1}{\log_2 5} = 1 $

Ответ: 1.

б) $ \log_8 169 \cdot \log_{\sqrt{13}} 16 $

Упростим каждый множитель по отдельности, используя свойство логарифма $ \log_{a^k} b^m = \frac{m}{k} \log_a b $.

Преобразуем первый множитель, учитывая, что $ 8 = 2^3 $ и $ 169 = 13^2 $:

$ \log_8 169 = \log_{2^3} 13^2 = \frac{2}{3} \log_2 13 $

Преобразуем второй множитель, учитывая, что $ \sqrt{13} = 13^{1/2} $ и $ 16 = 2^4 $:

$ \log_{\sqrt{13}} 16 = \log_{13^{1/2}} 2^4 = \frac{4}{1/2} \log_{13} 2 = 8 \log_{13} 2 $

Теперь перемножим полученные выражения:

$ (\frac{2}{3} \log_2 13) \cdot (8 \log_{13} 2) = \frac{2}{3} \cdot 8 \cdot (\log_2 13 \cdot \log_{13} 2) $

Используя свойство $ \log_a b \cdot \log_b a = 1 $, получаем:

$ \frac{16}{3} \cdot 1 = \frac{16}{3} $

Ответ: $ \frac{16}{3} $.

в) $ \log_2(\log_{\sqrt{2}} 9 \cdot \log_{\sqrt{3}} 2) $

Сначала найдем значение выражения в скобках: $ \log_{\sqrt{2}} 9 \cdot \log_{\sqrt{3}} 2 $.

Упростим каждый множитель в скобках, используя свойство $ \log_{a^k} b^m = \frac{m}{k} \log_a b $.

Первый множитель: $ \sqrt{2} = 2^{1/2} $, $ 9 = 3^2 $.

$ \log_{\sqrt{2}} 9 = \log_{2^{1/2}} 3^2 = \frac{2}{1/2} \log_2 3 = 4 \log_2 3 $

Второй множитель: $ \sqrt{3} = 3^{1/2} $.

$ \log_{\sqrt{3}} 2 = \log_{3^{1/2}} 2^1 = \frac{1}{1/2} \log_3 2 = 2 \log_3 2 $

Перемножим упрощенные множители:

$ (4 \log_2 3) \cdot (2 \log_3 2) = 8 \cdot (\log_2 3 \cdot \log_3 2) $

Поскольку $ \log_2 3 \cdot \log_3 2 = 1 $, то выражение в скобках равно $ 8 \cdot 1 = 8 $.

Подставим найденное значение в исходное выражение:

$ \log_2(8) = \log_2(2^3) = 3 $

Ответ: 3.

г) $ \log_6 5 \cdot \log_5 8 + \log_6 27 $

Рассмотрим первое слагаемое $ \log_6 5 \cdot \log_5 8 $. Применим формулу $ \log_a b \cdot \log_b c = \log_a c $:

$ \log_6 5 \cdot \log_5 8 = \log_6 8 $

Теперь исходное выражение можно записать в виде суммы логарифмов с одинаковым основанием:

$ \log_6 8 + \log_6 27 $

Воспользуемся свойством суммы логарифмов $ \log_a b + \log_a c = \log_a (b \cdot c) $:

$ \log_6 8 + \log_6 27 = \log_6 (8 \cdot 27) $

Вычислим произведение под знаком логарифма:

$ 8 \cdot 27 = 216 $

Так как $ 216 = 6^3 $, получаем:

$ \log_6(216) = \log_6(6^3) = 3 $

Ответ: 3.

Помогло решение? Оставьте отзыв в комментариях ниже.

Присоединяйтесь к Телеграм-группе @gdz_by_belarus

Присоединиться

Мы подготовили для вас ответ c подробным объяснением домашего задания по алгебре за 11 класс, для упражнения номер 3.26 расположенного на странице 109 к учебнику 2020 года издания для учащихся школ и гимназий.

Теперь на нашем сайте ГДЗ.ТОП вы всегда легко и бесплатно найдёте условие с правильным ответом на вопрос «Как решить ДЗ» и «Как сделать» задание по алгебре к упражнению №3.26 (с. 109), авторов: Арефьева (Ирина Глебовна), Пирютко (Ольга Николаевна), учебного пособия издательства Народная асвета.