Номер 3.28, страница 109 - гдз по алгебре 11 класс учебник Арефьева, Пирютко

Алгебра, 11 класс Учебник, авторы: Арефьева Ирина Глебовна, Пирютко Ольга Николаевна, издательство Народная асвета, Минск, 2020, бирюзового цвета

Авторы: Арефьева И. Г., Пирютко О. Н.

Тип: Учебник

Издательство: Народная асвета

Год издания: 2020 - 2026

Цвет обложки: бирюзовый, зелёный с графиком

ISBN: 978-985-03-3165-6

Популярные ГДЗ в 11 классе

Глава 3. Логарифмическая функция. Параграф 7. Свойства логарифмов - номер 3.28, страница 109.

№3.28 (с. 109)
Условие. №3.28 (с. 109)
скриншот условия
Алгебра, 11 класс Учебник, авторы: Арефьева Ирина Глебовна, Пирютко Ольга Николаевна, издательство Народная асвета, Минск, 2020, бирюзового цвета, страница 109, номер 3.28, Условие

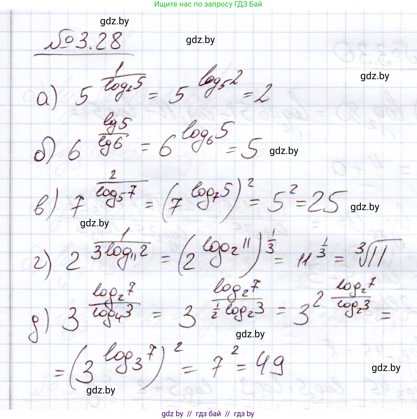
3.28. Используйте свойства логарифмов и вычислите:

а) $5^{\frac{1}{\log_2 5}};$

б) $6^{\frac{\lg 5}{\lg 6}};$

в) $7^{\frac{2}{\log_5 7}};$

г) $2^{\frac{1}{3\log_{11} 2}};$

д) $3^{\frac{\log_2 7}{\log_4 3}}.$

Решение. №3.28 (с. 109)
Алгебра, 11 класс Учебник, авторы: Арефьева Ирина Глебовна, Пирютко Ольга Николаевна, издательство Народная асвета, Минск, 2020, бирюзового цвета, страница 109, номер 3.28, Решение
Решение 2. №3.28 (с. 109)

Для решения данных задач мы будем использовать следующие свойства логарифмов:

  • Основное логарифмическое тождество: $a^{\log_a b} = b$
  • Формула перехода к новому основанию: $\log_b a = \frac{\log_c a}{\log_c b}$
  • Частный случай формулы перехода: $\log_b a = \frac{1}{\log_a b}$
  • Свойство степени логарифма: $c \cdot \log_a b = \log_a (b^c)$
  • Свойство логарифма от основания в степени: $\log_{a^k} b = \frac{1}{k} \log_a b$
а)

В выражении $5^{\frac{1}{\log_2 5}}$ сначала преобразуем показатель степени, используя свойство $\frac{1}{\log_b a} = \log_a b$.
$ \frac{1}{\log_2 5} = \log_5 2 $
Теперь подставим это обратно в исходное выражение:
$ 5^{\frac{1}{\log_2 5}} = 5^{\log_5 2} $
Применим основное логарифмическое тождество $a^{\log_a b} = b$:
$ 5^{\log_5 2} = 2 $

Ответ: 2

б)

В выражении $6^{\frac{\lg 5}{\lg 6}}$ преобразуем показатель степени. Здесь $\lg$ обозначает десятичный логарифм (логарифм по основанию 10). Используем формулу перехода к новому основанию $\frac{\log_c a}{\log_c b} = \log_b a$:
$ \frac{\lg 5}{\lg 6} = \frac{\log_{10} 5}{\log_{10} 6} = \log_6 5 $
Подставим полученное значение в исходное выражение:
$ 6^{\frac{\lg 5}{\lg 6}} = 6^{\log_6 5} $
По основному логарифмическому тождеству $a^{\log_a b} = b$:
$ 6^{\log_6 5} = 5 $

Ответ: 5

в)

Рассмотрим выражение $7^{\frac{2}{\log_5 7}}$. Сначала упростим показатель степени:
$ \frac{2}{\log_5 7} = 2 \cdot \frac{1}{\log_5 7} $
Используя свойство $\frac{1}{\log_b a} = \log_a b$:
$ 2 \cdot \frac{1}{\log_5 7} = 2 \cdot \log_7 5 $
Теперь применим свойство степени логарифма $c \cdot \log_a b = \log_a (b^c)$:
$ 2 \log_7 5 = \log_7 (5^2) = \log_7 25 $
Подставим это в исходное выражение:
$ 7^{\frac{2}{\log_5 7}} = 7^{\log_7 25} $
По основному логарифмическому тождеству $a^{\log_a b} = b$:
$ 7^{\log_7 25} = 25 $

Ответ: 25

г)

Рассмотрим выражение $2^{\frac{1}{3\log_{11} 2}}$. Упростим показатель степени:
$ \frac{1}{3\log_{11} 2} = \frac{1}{3} \cdot \frac{1}{\log_{11} 2} $
Применяем свойство $\frac{1}{\log_b a} = \log_a b$:
$ \frac{1}{3} \cdot \frac{1}{\log_{11} 2} = \frac{1}{3} \log_2 11 $
Используем свойство степени логарифма $c \cdot \log_a b = \log_a (b^c)$:
$ \frac{1}{3} \log_2 11 = \log_2 (11^{\frac{1}{3}}) = \log_2 \sqrt[3]{11} $
Подставляем в исходное выражение:
$ 2^{\frac{1}{3\log_{11} 2}} = 2^{\log_2 \sqrt[3]{11}} $
По основному логарифмическому тождеству $a^{\log_a b} = b$:
$ 2^{\log_2 \sqrt[3]{11}} = \sqrt[3]{11} $

Ответ: $\sqrt[3]{11}$

д)

В выражении $3^{\frac{\log_2 7}{\log_4 3}}$ преобразуем показатель степени. Приведем логарифмы к одному основанию 2. Для знаменателя используем свойство $\log_{a^k} b = \frac{1}{k} \log_a b$:
$ \log_4 3 = \log_{2^2} 3 = \frac{1}{2} \log_2 3 $
Теперь показатель степени выглядит так:
$ \frac{\log_2 7}{\frac{1}{2}\log_2 3} = 2 \cdot \frac{\log_2 7}{\log_2 3} $
По формуле перехода к новому основанию $\frac{\log_c a}{\log_c b} = \log_b a$:
$ 2 \cdot \frac{\log_2 7}{\log_2 3} = 2 \log_3 7 $
Используем свойство степени логарифма $c \cdot \log_a b = \log_a (b^c)$:
$ 2 \log_3 7 = \log_3 (7^2) = \log_3 49 $
Подставляем в исходное выражение:
$ 3^{\frac{\log_2 7}{\log_4 3}} = 3^{\log_3 49} $
По основному логарифмическому тождеству $a^{\log_a b} = b$:
$ 3^{\log_3 49} = 49 $

Ответ: 49

Помогло решение? Оставьте отзыв в комментариях ниже.

Присоединяйтесь к Телеграм-группе @gdz_by_belarus

Присоединиться

Мы подготовили для вас ответ c подробным объяснением домашего задания по алгебре за 11 класс, для упражнения номер 3.28 расположенного на странице 109 к учебнику 2020 года издания для учащихся школ и гимназий.

Теперь на нашем сайте ГДЗ.ТОП вы всегда легко и бесплатно найдёте условие с правильным ответом на вопрос «Как решить ДЗ» и «Как сделать» задание по алгебре к упражнению №3.28 (с. 109), авторов: Арефьева (Ирина Глебовна), Пирютко (Ольга Николаевна), учебного пособия издательства Народная асвета.