Номер 3.71, страница 114 - гдз по алгебре 11 класс учебник Арефьева, Пирютко

Алгебра, 11 класс Учебник, авторы: Арефьева Ирина Глебовна, Пирютко Ольга Николаевна, издательство Народная асвета, Минск, 2020, бирюзового цвета

Авторы: Арефьева И. Г., Пирютко О. Н.

Тип: Учебник

Издательство: Народная асвета

Год издания: 2020 - 2026

Цвет обложки: бирюзовый, зелёный с графиком

ISBN: 978-985-03-3165-6

Популярные ГДЗ в 11 классе

Глава 3. Логарифмическая функция. Параграф 7. Свойства логарифмов - номер 3.71, страница 114.

№3.71 (с. 114)
Условие. №3.71 (с. 114)
скриншот условия
Алгебра, 11 класс Учебник, авторы: Арефьева Ирина Глебовна, Пирютко Ольга Николаевна, издательство Народная асвета, Минск, 2020, бирюзового цвета, страница 114, номер 3.71, Условие

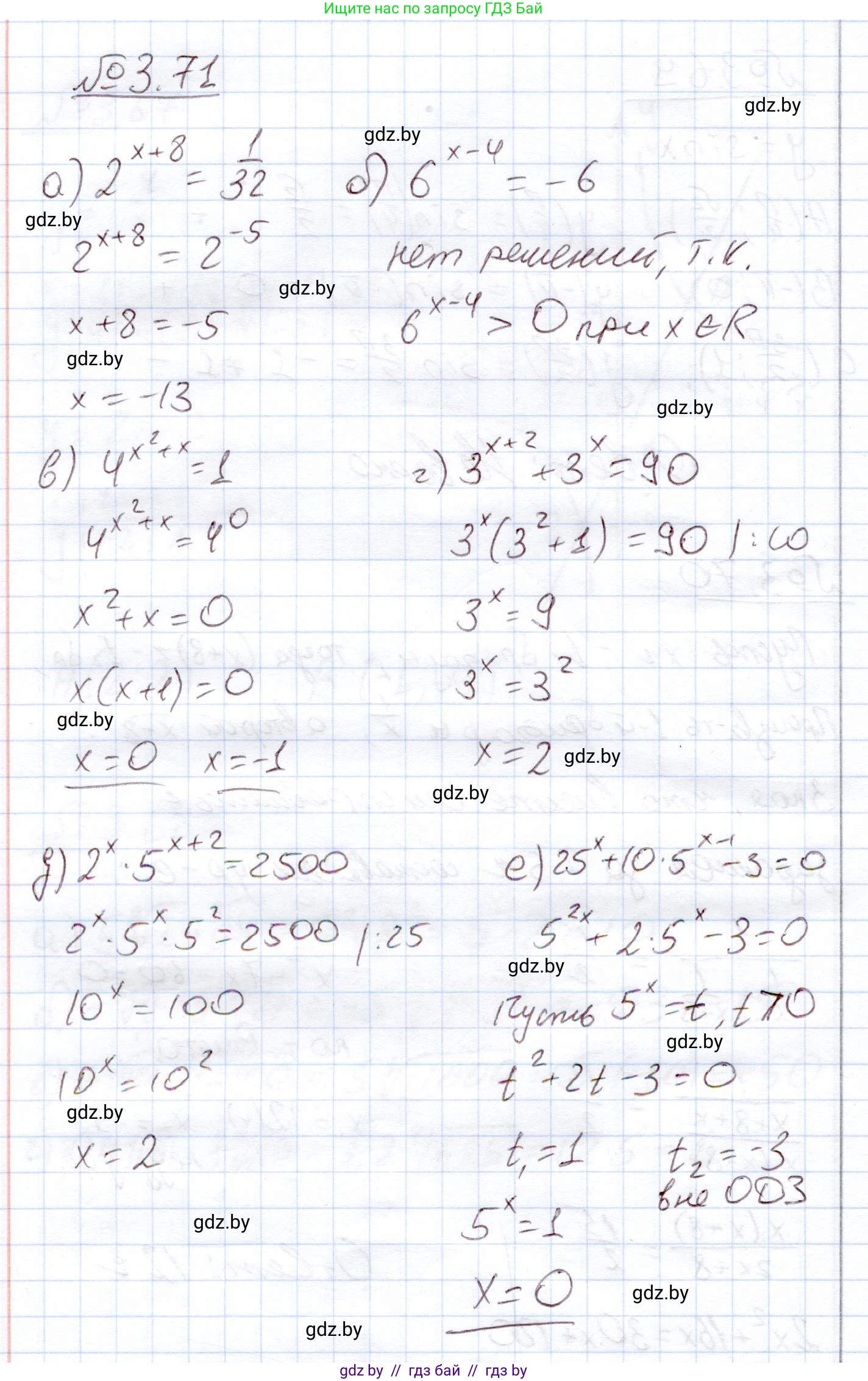
3.71. Решите показательное уравнение:

a) $2^{x+8} = \frac{1}{32};$

б) $6^{x-4} = -6;$

в) $4^{x^2+x} = 1;$

г) $3^{x+2} + 3^x = 90;$

д) $2^x \cdot 5^{x+2} = 2500;$

е) $25^x + 10 \cdot 5^{x-1} - 3 = 0.$

Решение. №3.71 (с. 114)
Алгебра, 11 класс Учебник, авторы: Арефьева Ирина Глебовна, Пирютко Ольга Николаевна, издательство Народная асвета, Минск, 2020, бирюзового цвета, страница 114, номер 3.71, Решение
Решение 2. №3.71 (с. 114)

а) Дано уравнение $2^{x+8} = \frac{1}{32}$.
Чтобы решить показательное уравнение, приведем обе его части к одному основанию. В данном случае это основание 2.
Знаем, что $32 = 2^5$. Тогда $\frac{1}{32} = \frac{1}{2^5} = 2^{-5}$.
Получаем уравнение: $2^{x+8} = 2^{-5}$.
Так как основания степеней равны, можем приравнять их показатели:
$x + 8 = -5$
$x = -5 - 8$
$x = -13$
Ответ: $-13$.

б) Дано уравнение $6^{x-4} = -6$.
По определению, показательная функция $y=a^z$ с основанием $a > 0$ (в данном случае $a=6$) принимает только положительные значения для любого действительного показателя $z$.
Следовательно, выражение $6^{x-4}$ всегда больше нуля.
Уравнение $6^{x-4} = -6$ не имеет действительных решений, так как положительное число не может быть равно отрицательному.
Ответ: решений нет.

в) Дано уравнение $4^{x^2+x} = 1$.
Приведем обе части к основанию 4. Любое ненулевое число в степени 0 равно 1, поэтому $1 = 4^0$.
Уравнение принимает вид: $4^{x^2+x} = 4^0$.
Приравниваем показатели степеней:
$x^2 + x = 0$
Это неполное квадратное уравнение. Вынесем общий множитель $x$ за скобки:
$x(x + 1) = 0$
Произведение равно нулю, если хотя бы один из множителей равен нулю. Отсюда получаем два корня:
$x_1 = 0$
$x_2 + 1 = 0 \implies x_2 = -1$
Ответ: $0; -1$.

г) Дано уравнение $3^{x+2} + 3^x = 90$.
Используем свойство степеней $a^{m+n} = a^m \cdot a^n$ для преобразования первого слагаемого:
$3^x \cdot 3^2 + 3^x = 90$
$9 \cdot 3^x + 1 \cdot 3^x = 90$
Вынесем общий множитель $3^x$ за скобки:
$3^x(9 + 1) = 90$
$10 \cdot 3^x = 90$
Разделим обе части уравнения на 10:
$3^x = 9$
Представим 9 в виде степени с основанием 3: $9=3^2$.
$3^x = 3^2$
Отсюда $x = 2$.
Ответ: $2$.

д) Дано уравнение $2^x \cdot 5^{x+2} = 2500$.
Используем свойство степеней $a^{m+n} = a^m \cdot a^n$:
$2^x \cdot (5^x \cdot 5^2) = 2500$
$2^x \cdot 5^x \cdot 25 = 2500$
Теперь используем свойство $a^n \cdot b^n = (ab)^n$:
$(2 \cdot 5)^x \cdot 25 = 2500$
$10^x \cdot 25 = 2500$
Разделим обе части на 25:
$10^x = \frac{2500}{25}$
$10^x = 100$
Представим 100 в виде степени с основанием 10: $100 = 10^2$.
$10^x = 10^2$
Отсюда $x = 2$.
Ответ: $2$.

е) Дано уравнение $25^x + 10 \cdot 5^{x-1} - 3 = 0$.
Приведем все степени к одному основанию 5.
$25^x = (5^2)^x = 5^{2x} = (5^x)^2$
$5^{x-1} = 5^x \cdot 5^{-1} = \frac{5^x}{5}$
Подставим эти выражения в исходное уравнение:
$(5^x)^2 + 10 \cdot \frac{5^x}{5} - 3 = 0$
$(5^x)^2 + 2 \cdot 5^x - 3 = 0$
Введем замену переменной. Пусть $t = 5^x$. Так как показательная функция всегда положительна, то $t > 0$.
Уравнение примет вид квадратного уравнения относительно $t$:
$t^2 + 2t - 3 = 0$
Решим его. Дискриминант $D = b^2 - 4ac = 2^2 - 4 \cdot 1 \cdot (-3) = 4 + 12 = 16$.
Корни уравнения: $t_{1,2} = \frac{-b \pm \sqrt{D}}{2a} = \frac{-2 \pm \sqrt{16}}{2} = \frac{-2 \pm 4}{2}$.
$t_1 = \frac{-2 + 4}{2} = 1$
$t_2 = \frac{-2 - 4}{2} = -3$
Корень $t_2 = -3$ не удовлетворяет условию $t>0$, поэтому он является посторонним.
Вернемся к замене для $t_1 = 1$:
$5^x = 1$
$5^x = 5^0$
$x = 0$
Ответ: $0$.

Помогло решение? Оставьте отзыв в комментариях ниже.

Присоединяйтесь к Телеграм-группе @gdz_by_belarus

Присоединиться

Мы подготовили для вас ответ c подробным объяснением домашего задания по алгебре за 11 класс, для упражнения номер 3.71 расположенного на странице 114 к учебнику 2020 года издания для учащихся школ и гимназий.

Теперь на нашем сайте ГДЗ.ТОП вы всегда легко и бесплатно найдёте условие с правильным ответом на вопрос «Как решить ДЗ» и «Как сделать» задание по алгебре к упражнению №3.71 (с. 114), авторов: Арефьева (Ирина Глебовна), Пирютко (Ольга Николаевна), учебного пособия издательства Народная асвета.