Номер 3.77, страница 114 - гдз по алгебре 11 класс учебник Арефьева, Пирютко

Алгебра, 11 класс Учебник, авторы: Арефьева Ирина Глебовна, Пирютко Ольга Николаевна, издательство Народная асвета, Минск, 2020, бирюзового цвета

Авторы: Арефьева И. Г., Пирютко О. Н.

Тип: Учебник

Издательство: Народная асвета

Год издания: 2020 - 2026

Цвет обложки: бирюзовый, зелёный с графиком

ISBN: 978-985-03-3165-6

Популярные ГДЗ в 11 классе

Глава 3. Логарифмическая функция. Параграф 7. Свойства логарифмов - номер 3.77, страница 114.

№3.77 (с. 114)
Условие. №3.77 (с. 114)
скриншот условия
Алгебра, 11 класс Учебник, авторы: Арефьева Ирина Глебовна, Пирютко Ольга Николаевна, издательство Народная асвета, Минск, 2020, бирюзового цвета, страница 114, номер 3.77, Условие

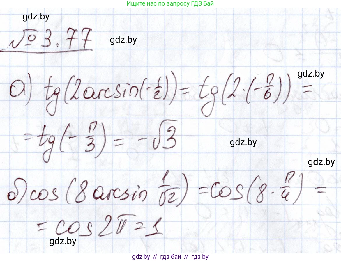
3.77. Установите порядок действий и найдите значение выражения:

a) $ \text{tg}\left(2\arcsin\left(-\frac{1}{2}\right)\right); $

б) $ \cos\left(8\arcsin\frac{1}{\sqrt{2}}\right). $

Решение. №3.77 (с. 114)
Алгебра, 11 класс Учебник, авторы: Арефьева Ирина Глебовна, Пирютко Ольга Николаевна, издательство Народная асвета, Минск, 2020, бирюзового цвета, страница 114, номер 3.77, Решение
Решение 2. №3.77 (с. 114)

а) Для того чтобы найти значение выражения $\text{tg}(2\arcsin(-\frac{1}{2}))$, установим и выполним следующий порядок действий:

1. Сначала вычислим значение самой внутренней функции — арксинуса. По определению, $\arcsin(x)$ это угол, лежащий в промежутке $[-\frac{\pi}{2}, \frac{\pi}{2}]$, синус которого равен $x$.
Известно, что $\sin(\frac{\pi}{6}) = \frac{1}{2}$. Так как синус является нечетной функцией, то есть $\sin(-y) = -\sin(y)$, получаем $\sin(-\frac{\pi}{6}) = -\sin(\frac{\pi}{6}) = -\frac{1}{2}$.
Поскольку угол $-\frac{\pi}{6}$ принадлежит промежутку $[-\frac{\pi}{2}, \frac{\pi}{2}]$, то:
$\arcsin(-\frac{1}{2}) = -\frac{\pi}{6}$.

2. Следующим шагом умножим полученный результат на 2:
$2 \cdot \arcsin(-\frac{1}{2}) = 2 \cdot (-\frac{\pi}{6}) = -\frac{2\pi}{6} = -\frac{\pi}{3}$.

3. Наконец, найдем тангенс полученного угла. Тангенс также является нечетной функцией, поэтому $\text{tg}(-y) = -\text{tg}(y)$.
$\text{tg}(-\frac{\pi}{3}) = -\text{tg}(\frac{\pi}{3}) = -\sqrt{3}$.

Ответ: $-\sqrt{3}$.

б) Для того чтобы найти значение выражения $\cos(8\arcsin\frac{1}{\sqrt{2}})$, выполним действия в следующем порядке:

1. Сначала вычислим значение арксинуса. Нам нужно найти угол из промежутка $[-\frac{\pi}{2}, \frac{\pi}{2}]$, синус которого равен $\frac{1}{\sqrt{2}}$.
Из таблицы значений тригонометрических функций мы знаем, что $\sin(\frac{\pi}{4}) = \frac{\sqrt{2}}{2} = \frac{1}{\sqrt{2}}$. Угол $\frac{\pi}{4}$ принадлежит промежутку $[-\frac{\pi}{2}, \frac{\pi}{2}]$.
Следовательно, $\arcsin\frac{1}{\sqrt{2}} = \frac{\pi}{4}$.

2. Теперь умножим полученное значение на 8:
$8 \cdot \arcsin\frac{1}{\sqrt{2}} = 8 \cdot \frac{\pi}{4} = \frac{8\pi}{4} = 2\pi$.

3. На последнем шаге найдем косинус полученного угла. Косинус — периодическая функция с периодом $2\pi$, поэтому $\cos(x+2\pi k) = \cos(x)$ для любого целого $k$.
$\cos(2\pi) = \cos(0 + 2\pi) = \cos(0) = 1$.

Ответ: $1$.

Помогло решение? Оставьте отзыв в комментариях ниже.

Присоединяйтесь к Телеграм-группе @gdz_by_belarus

Присоединиться

Мы подготовили для вас ответ c подробным объяснением домашего задания по алгебре за 11 класс, для упражнения номер 3.77 расположенного на странице 114 к учебнику 2020 года издания для учащихся школ и гимназий.

Теперь на нашем сайте ГДЗ.ТОП вы всегда легко и бесплатно найдёте условие с правильным ответом на вопрос «Как решить ДЗ» и «Как сделать» задание по алгебре к упражнению №3.77 (с. 114), авторов: Арефьева (Ирина Глебовна), Пирютко (Ольга Николаевна), учебного пособия издательства Народная асвета.