Номер 122, страница 179 - гдз по алгебре 11 класс учебник Арефьева, Пирютко

Алгебра, 11 класс Учебник, авторы: Арефьева Ирина Глебовна, Пирютко Ольга Николаевна, издательство Народная асвета, Минск, 2020, бирюзового цвета

Авторы: Арефьева И. Г., Пирютко О. Н.

Тип: Учебник

Издательство: Народная асвета

Год издания: 2020 - 2026

Цвет обложки: бирюзовый, зелёный с графиком

ISBN: 978-985-03-3165-6

Популярные ГДЗ в 11 классе

Упражнения для итогового повторения. Числа и вычисления - номер 122, страница 179.

№122 (с. 179)
Условие. №122 (с. 179)
скриншот условия
Алгебра, 11 класс Учебник, авторы: Арефьева Ирина Глебовна, Пирютко Ольга Николаевна, издательство Народная асвета, Минск, 2020, бирюзового цвета, страница 179, номер 122, Условие

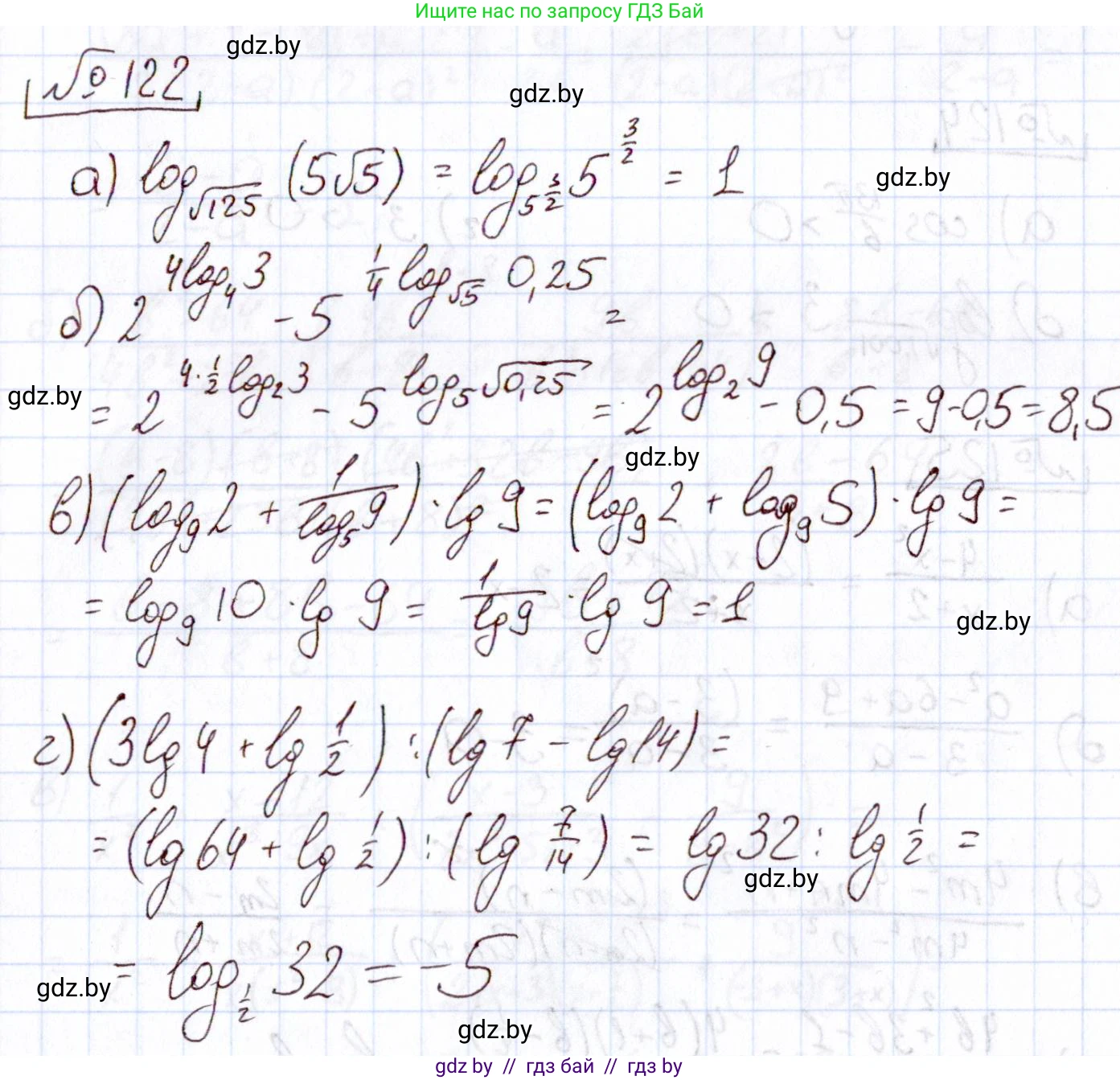
122. Вычислите:

а) $\log_{\sqrt{125}}(5\sqrt{5});$

б) $2^{4\log_4 3} - 5^{\frac{1}{4}\log_{\sqrt{5}}0,25};$

в) $(\log_9 2 + \frac{1}{\log_5 9}) \cdot \lg9;$

г) $(3\lg4 + \lg\frac{1}{2}): (\lg7 - \lg14).$

Решение. №122 (с. 179)
Алгебра, 11 класс Учебник, авторы: Арефьева Ирина Глебовна, Пирютко Ольга Николаевна, издательство Народная асвета, Минск, 2020, бирюзового цвета, страница 179, номер 122, Решение
Решение 2. №122 (с. 179)

а) Для вычисления значения выражения $ \log_{\sqrt{125}}(5\sqrt{5}) $ представим основание и аргумент логарифма в виде степеней числа 5.
Основание логарифма: $ \sqrt{125} = \sqrt{5^3} = (5^3)^{\frac{1}{2}} = 5^{\frac{3}{2}} $.
Аргумент логарифма: $ 5\sqrt{5} = 5^1 \cdot 5^{\frac{1}{2}} = 5^{1+\frac{1}{2}} = 5^{\frac{3}{2}} $.
Теперь подставим полученные значения в исходное выражение:
$ \log_{\sqrt{125}}(5\sqrt{5}) = \log_{5^{\frac{3}{2}}}(5^{\frac{3}{2}}) $.
Используя свойство логарифма $ \log_a a = 1 $, получаем, что значение выражения равно 1, так как основание и аргумент равны.
Ответ: 1.

б) Для вычисления значения выражения $ 2^{4\log_4 3} - 5^{\frac{1}{4}\log_{\sqrt{5}} 0.25} $ рассмотрим каждое слагаемое по отдельности.
1. Упростим первое слагаемое $ 2^{4\log_4 3} $.
Используя свойства степеней и логарифмов, преобразуем выражение: $ 2^{4\log_4 3} = (2^2)^{2\log_4 3} = 4^{2\log_4 3} $.
Применим свойство $ n\log_a b = \log_a b^n $:
$ 4^{2\log_4 3} = 4^{\log_4 3^2} = 4^{\log_4 9} $.
По основному логарифмическому тождеству $ a^{\log_a b} = b $, получаем:
$ 4^{\log_4 9} = 9 $.
2. Упростим второе слагаемое $ 5^{\frac{1}{4}\log_{\sqrt{5}} 0.25} $.
Сначала преобразуем логарифм в показателе степени, используя свойство $ \log_{a^k} b = \frac{1}{k}\log_a b $:
$ \log_{\sqrt{5}} 0.25 = \log_{5^{1/2}} 0.25 = \frac{1}{1/2} \log_5 0.25 = 2\log_5 0.25 $.
Теперь весь показатель степени выглядит так:
$ \frac{1}{4} \cdot (2\log_5 0.25) = \frac{1}{2}\log_5 0.25 $.
Применим свойство $ n\log_a b = \log_a b^n $:
$ \frac{1}{2}\log_5 0.25 = \log_5 (0.25^{\frac{1}{2}}) = \log_5 \sqrt{0.25} = \log_5 0.5 = \log_5 \frac{1}{2} $.
Подставим в слагаемое: $ 5^{\log_5 \frac{1}{2}} $.
По основному логарифмическому тождеству: $ 5^{\log_5 \frac{1}{2}} = \frac{1}{2} $.
3. Вычислим разность: $ 9 - \frac{1}{2} = 8.5 $.
Ответ: 8.5.

в) Для вычисления значения выражения $ (\log_9 2 + \frac{1}{\log_5 9}) \cdot \lg 9 $ сначала упростим выражение в скобках.
Используем свойство $ \frac{1}{\log_b a} = \log_a b $ для второго слагаемого в скобках:
$ \frac{1}{\log_5 9} = \log_9 5 $.
Теперь выражение в скобках равно сумме логарифмов с одинаковым основанием:
$ \log_9 2 + \log_9 5 = \log_9 (2 \cdot 5) = \log_9 10 $.
Исходное выражение принимает вид:
$ \log_9 10 \cdot \lg 9 $.
Заметим, что $ \lg 9 = \log_{10} 9 $. Используем свойство $ \log_a b \cdot \log_b c = \log_a c $ (переставив множители):
$ \lg 9 \cdot \log_9 10 = \log_{10} 9 \cdot \log_9 10 = \log_{10} 10 = 1 $.
Альтернативно, можно использовать формулу перехода к новому основанию $ \log_a b = \frac{\log_c b}{\log_c a} $:
$ \log_9 10 = \frac{\lg 10}{\lg 9} = \frac{1}{\lg 9} $.
Тогда произведение равно $ \frac{1}{\lg 9} \cdot \lg 9 = 1 $.
Ответ: 1.

г) Для вычисления значения выражения $ (3\lg 4 + \lg \frac{1}{2}) : (\lg 7 - \lg 14) $ упростим числитель и знаменатель по отдельности.
1. Упростим числитель $ 3\lg 4 + \lg \frac{1}{2} $.
Используя свойство $ n\lg b = \lg b^n $:
$ 3\lg 4 = \lg 4^3 = \lg 64 $.
Теперь используем свойство $ \lg b + \lg c = \lg(bc) $:
$ \lg 64 + \lg \frac{1}{2} = \lg(64 \cdot \frac{1}{2}) = \lg 32 $.
2. Упростим знаменатель $ \lg 7 - \lg 14 $.
Используя свойство $ \lg b - \lg c = \lg(\frac{b}{c}) $:
$ \lg 7 - \lg 14 = \lg(\frac{7}{14}) = \lg(\frac{1}{2}) $.
3. Исходное выражение теперь представляет собой частное:
$ \frac{\lg 32}{\lg(1/2)} $.
Представим аргументы логарифмов как степени числа 2: $ 32 = 2^5 $ и $ \frac{1}{2} = 2^{-1} $.
$ \frac{\lg(2^5)}{\lg(2^{-1})} $.
Вынесем показатели степени за знак логарифма, используя свойство $ \lg b^n = n\lg b $:
$ \frac{5\lg 2}{-1\lg 2} $.
Сократим $ \lg 2 $ в числителе и знаменателе:
$ \frac{5}{-1} = -5 $.
Ответ: -5.

Помогло решение? Оставьте отзыв в комментариях ниже.

Присоединяйтесь к Телеграм-группе @gdz_by_belarus

Присоединиться

Мы подготовили для вас ответ c подробным объяснением домашего задания по алгебре за 11 класс, для упражнения номер 122 расположенного на странице 179 к учебнику 2020 года издания для учащихся школ и гимназий.

Теперь на нашем сайте ГДЗ.ТОП вы всегда легко и бесплатно найдёте условие с правильным ответом на вопрос «Как решить ДЗ» и «Как сделать» задание по алгебре к упражнению №122 (с. 179), авторов: Арефьева (Ирина Глебовна), Пирютко (Ольга Николаевна), учебного пособия издательства Народная асвета.