Номер 125, страница 180 - гдз по алгебре 11 класс учебник Арефьева, Пирютко

Алгебра, 11 класс Учебник, авторы: Арефьева Ирина Глебовна, Пирютко Ольга Николаевна, издательство Народная асвета, Минск, 2020, бирюзового цвета

Авторы: Арефьева И. Г., Пирютко О. Н.

Тип: Учебник

Издательство: Народная асвета

Год издания: 2020 - 2026

Цвет обложки: бирюзовый, зелёный с графиком

ISBN: 978-985-03-3165-6

Популярные ГДЗ в 11 классе

Упражнения для итогового повторения. Выражения и их преобразования - номер 125, страница 180.

№125 (с. 180)
Условие. №125 (с. 180)
скриншот условия
Алгебра, 11 класс Учебник, авторы: Арефьева Ирина Глебовна, Пирютко Ольга Николаевна, издательство Народная асвета, Минск, 2020, бирюзового цвета, страница 180, номер 125, Условие

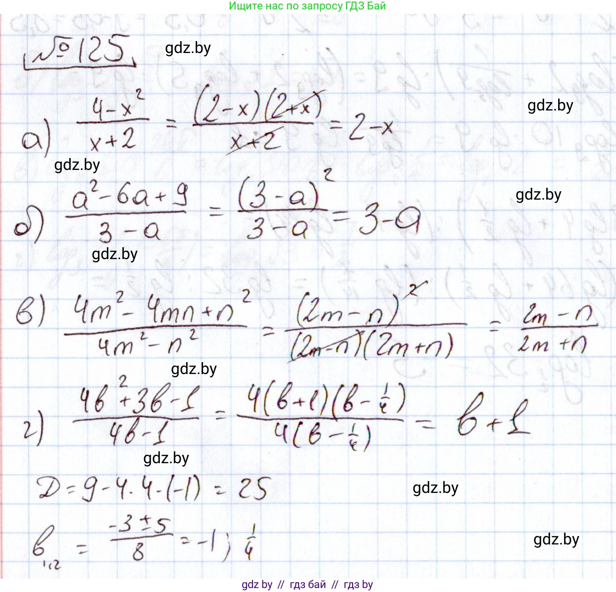
125. Сократите рациональную дробь:

а) $\frac{4 - x^2}{x + 2}$;

б) $\frac{a^2 - 6a + 9}{3 - a}$;

в) $\frac{4m^2 - 4mn + n^2}{4m^2 - n^2}$;

г) $\frac{4b^2 + 3b - 1}{4b - 1}$.

Решение. №125 (с. 180)
Алгебра, 11 класс Учебник, авторы: Арефьева Ирина Глебовна, Пирютко Ольга Николаевна, издательство Народная асвета, Минск, 2020, бирюзового цвета, страница 180, номер 125, Решение
Решение 2. №125 (с. 180)

а) Чтобы сократить дробь $ \frac{4 - x^2}{x + 2} $, разложим числитель на множители.

Числитель $4 - x^2$ представляет собой разность квадратов, так как $4 = 2^2$. Воспользуемся формулой разности квадратов: $a^2 - b^2 = (a - b)(a + b)$.

Применяя эту формулу, получаем: $4 - x^2 = 2^2 - x^2 = (2 - x)(2 + x)$.

Теперь подставим разложенный числитель обратно в дробь: $ \frac{4 - x^2}{x + 2} = \frac{(2 - x)(2 + x)}{x + 2} $

Сократим общий множитель $(x + 2)$ в числителе и знаменателе (при условии, что $x + 2 \neq 0$, то есть $x \neq -2$): $ \frac{(2 - x)(2 + x)}{x + 2} = 2 - x $

Ответ: $2 - x$.

б) Чтобы сократить дробь $ \frac{a^2 - 6a + 9}{3 - a} $, разложим числитель на множители.

Числитель $a^2 - 6a + 9$ является полным квадратом разности. Воспользуемся формулой квадрата разности: $(x - y)^2 = x^2 - 2xy + y^2$.

В данном случае $x = a$ и $y = 3$, поэтому: $a^2 - 2 \cdot a \cdot 3 + 3^2 = (a - 3)^2$.

Подставим разложенный числитель в дробь: $ \frac{a^2 - 6a + 9}{3 - a} = \frac{(a - 3)^2}{3 - a} $

Заметим, что $3 - a = -(a - 3)$. Перепишем знаменатель: $ \frac{(a - 3)^2}{-(a - 3)} $

Сократим общий множитель $(a - 3)$ (при условии, что $a - 3 \neq 0$, то есть $a \neq 3$): $ \frac{a - 3}{-1} = -(a - 3) = 3 - a $

Ответ: $3 - a$.

в) Чтобы сократить дробь $ \frac{4m^2 - 4mn + n^2}{4m^2 - n^2} $, разложим на множители и числитель, и знаменатель.

Числитель $4m^2 - 4mn + n^2$ является полным квадратом разности. Применяя формулу $(x - y)^2 = x^2 - 2xy + y^2$, где $x = 2m$ и $y = n$, получаем: $ (2m)^2 - 2 \cdot (2m) \cdot n + n^2 = (2m - n)^2 $.

Знаменатель $4m^2 - n^2$ является разностью квадратов. Применяя формулу $a^2 - b^2 = (a - b)(a + b)$, где $a = 2m$ и $b = n$, получаем: $ (2m)^2 - n^2 = (2m - n)(2m + n) $.

Подставим разложенные выражения в дробь: $ \frac{(2m - n)^2}{(2m - n)(2m + n)} = \frac{(2m - n)(2m - n)}{(2m - n)(2m + n)} $

Сократим общий множитель $(2m - n)$ (при условии, что $2m - n \neq 0$): $ \frac{2m - n}{2m + n} $

Ответ: $ \frac{2m - n}{2m + n} $.

г) Чтобы сократить дробь $ \frac{4b^2 + 3b - 1}{4b - 1} $, разложим числитель на множители.

Числитель $4b^2 + 3b - 1$ — это квадратный трехчлен. Для его разложения на множители найдем корни уравнения $4b^2 + 3b - 1 = 0$.

Вычислим дискриминант $D = B^2 - 4AC$: $ D = 3^2 - 4 \cdot 4 \cdot (-1) = 9 + 16 = 25 $.

Найдем корни по формуле $b = \frac{-B \pm \sqrt{D}}{2A}$: $ b_1 = \frac{-3 + \sqrt{25}}{2 \cdot 4} = \frac{-3 + 5}{8} = \frac{2}{8} = \frac{1}{4} $ $ b_2 = \frac{-3 - \sqrt{25}}{2 \cdot 4} = \frac{-3 - 5}{8} = \frac{-8}{8} = -1 $

Разложим трехчлен на множители по формуле $A(x - x_1)(x - x_2)$: $ 4b^2 + 3b - 1 = 4(b - \frac{1}{4})(b - (-1)) = 4(b - \frac{1}{4})(b + 1) $. Внесем множитель 4 в первую скобку: $ (4b - 1)(b + 1) $.

Подставим разложенный числитель в дробь: $ \frac{(4b - 1)(b + 1)}{4b - 1} $

Сократим общий множитель $(4b - 1)$ (при условии, что $4b - 1 \neq 0$, то есть $b \neq \frac{1}{4}$): $ b + 1 $

Ответ: $b + 1$.

Помогло решение? Оставьте отзыв в комментариях ниже.

Присоединяйтесь к Телеграм-группе @gdz_by_belarus

Присоединиться

Мы подготовили для вас ответ c подробным объяснением домашего задания по алгебре за 11 класс, для упражнения номер 125 расположенного на странице 180 к учебнику 2020 года издания для учащихся школ и гимназий.

Теперь на нашем сайте ГДЗ.ТОП вы всегда легко и бесплатно найдёте условие с правильным ответом на вопрос «Как решить ДЗ» и «Как сделать» задание по алгебре к упражнению №125 (с. 180), авторов: Арефьева (Ирина Глебовна), Пирютко (Ольга Николаевна), учебного пособия издательства Народная асвета.