Номер 134, страница 181 - гдз по алгебре 11 класс учебник Арефьева, Пирютко

Алгебра, 11 класс Учебник, авторы: Арефьева Ирина Глебовна, Пирютко Ольга Николаевна, издательство Народная асвета, Минск, 2020, бирюзового цвета

Авторы: Арефьева И. Г., Пирютко О. Н.

Тип: Учебник

Издательство: Народная асвета

Год издания: 2020 - 2026

Цвет обложки: бирюзовый, зелёный с графиком

ISBN: 978-985-03-3165-6

Популярные ГДЗ в 11 классе

Упражнения для итогового повторения. Выражения и их преобразования - номер 134, страница 181.

№134 (с. 181)
Условие. №134 (с. 181)
скриншот условия
Алгебра, 11 класс Учебник, авторы: Арефьева Ирина Глебовна, Пирютко Ольга Николаевна, издательство Народная асвета, Минск, 2020, бирюзового цвета, страница 181, номер 134, Условие

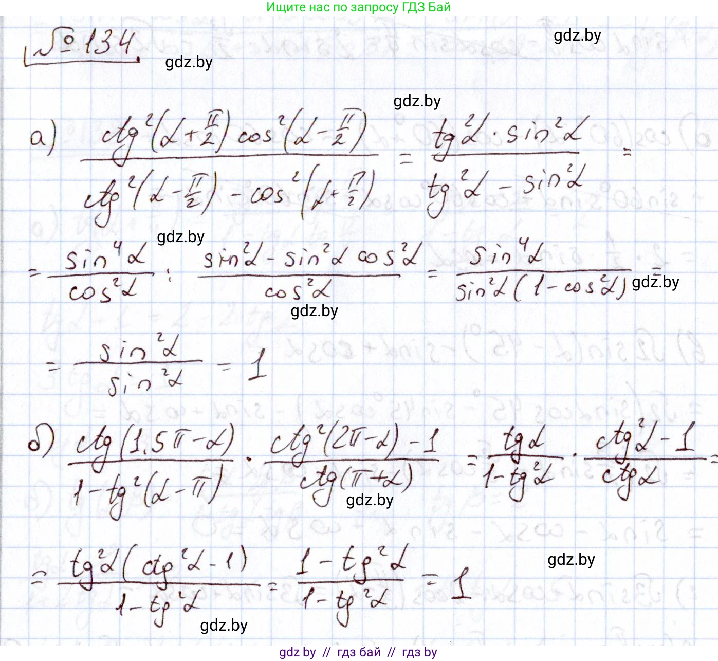
134. Найдите значение выражения:

a) $\frac{\operatorname{ctg}^2 \left(\alpha + \frac{\pi}{2}\right) \cos^2 \left(\alpha - \frac{\pi}{2}\right)}{\operatorname{ctg}^2 \left(\alpha - \frac{\pi}{2}\right) - \cos^2 \left(\alpha + \frac{\pi}{2}\right)};$

б) $\frac{\operatorname{ctg}(1.5\pi - \alpha)}{1 - \operatorname{tg}^2 (\alpha - \pi)} \cdot \frac{\operatorname{ctg}^2 (2\pi - \alpha) - 1}{\operatorname{ctg}(\pi + \alpha)}.$

Решение. №134 (с. 181)
Алгебра, 11 класс Учебник, авторы: Арефьева Ирина Глебовна, Пирютко Ольга Николаевна, издательство Народная асвета, Минск, 2020, бирюзового цвета, страница 181, номер 134, Решение
Решение 2. №134 (с. 181)

а) Для нахождения значения выражения воспользуемся формулами приведения для тригонометрических функций.

Исходное выражение: $ \frac{\text{ctg}^2(\alpha + \frac{\pi}{2})\cos^2(\alpha - \frac{\pi}{2})}{\text{ctg}^2(\alpha - \frac{\pi}{2}) - \cos^2(\alpha + \frac{\pi}{2})} $

Упростим каждый член выражения по отдельности:

1. Используя формулу приведения, $ \text{ctg}(\alpha + \frac{\pi}{2}) = -\text{tg}(\alpha) $. Аргумент $ \alpha + \frac{\pi}{2} $ находится во II четверти, где котангенс отрицателен, а функция меняется на кофункцию. Следовательно, $ \text{ctg}^2(\alpha + \frac{\pi}{2}) = (-\text{tg}(\alpha))^2 = \text{tg}^2(\alpha) $.

2. Так как косинус — четная функция, $ \cos(\alpha - \frac{\pi}{2}) = \cos(\frac{\pi}{2} - \alpha) $. По формуле приведения, $ \cos(\frac{\pi}{2} - \alpha) = \sin(\alpha) $. Следовательно, $ \cos^2(\alpha - \frac{\pi}{2}) = \sin^2(\alpha) $.

3. Так как котангенс — нечетная функция, $ \text{ctg}(\alpha - \frac{\pi}{2}) = -\text{ctg}(\frac{\pi}{2} - \alpha) $. По формуле приведения, $ \text{ctg}(\frac{\pi}{2} - \alpha) = \text{tg}(\alpha) $. Следовательно, $ \text{ctg}(\alpha - \frac{\pi}{2}) = -\text{tg}(\alpha) $, а $ \text{ctg}^2(\alpha - \frac{\pi}{2}) = (-\text{tg}(\alpha))^2 = \text{tg}^2(\alpha) $.

4. По формуле приведения, $ \cos(\alpha + \frac{\pi}{2}) = -\sin(\alpha) $. Аргумент $ \alpha + \frac{\pi}{2} $ находится во II четверти, где косинус отрицателен, а функция меняется на кофункцию. Следовательно, $ \cos^2(\alpha + \frac{\pi}{2}) = (-\sin(\alpha))^2 = \sin^2(\alpha) $.

Теперь подставим упрощенные выражения обратно в исходную дробь:

$ \frac{\text{tg}^2(\alpha) \cdot \sin^2(\alpha)}{\text{tg}^2(\alpha) - \sin^2(\alpha)} $

Выразим тангенс через синус и косинус, используя тождество $ \text{tg}(\alpha) = \frac{\sin(\alpha)}{\cos(\alpha)} $, и упростим числитель и знаменатель.

Числитель: $ \text{tg}^2(\alpha) \cdot \sin^2(\alpha) = \frac{\sin^2(\alpha)}{\cos^2(\alpha)} \cdot \sin^2(\alpha) = \frac{\sin^4(\alpha)}{\cos^2(\alpha)} $.

Знаменатель: $ \text{tg}^2(\alpha) - \sin^2(\alpha) = \frac{\sin^2(\alpha)}{\cos^2(\alpha)} - \sin^2(\alpha) = \frac{\sin^2(\alpha) - \sin^2(\alpha)\cos^2(\alpha)}{\cos^2(\alpha)} = \frac{\sin^2(\alpha)(1 - \cos^2(\alpha))}{\cos^2(\alpha)} $.

Используя основное тригонометрическое тождество $ \sin^2(\alpha) + \cos^2(\alpha) = 1 $, из которого следует, что $ 1 - \cos^2(\alpha) = \sin^2(\alpha) $, получаем для знаменателя:

$ \frac{\sin^2(\alpha) \cdot \sin^2(\alpha)}{\cos^2(\alpha)} = \frac{\sin^4(\alpha)}{\cos^2(\alpha)} $.

Разделим полученный числитель на знаменатель:

$ \frac{\frac{\sin^4(\alpha)}{\cos^2(\alpha)}}{\frac{\sin^4(\alpha)}{\cos^2(\alpha)}} = 1 $

Ответ: 1

б) Для нахождения значения выражения воспользуемся формулами приведения и свойствами периодичности тригонометрических функций.

Исходное выражение: $ \frac{\text{ctg}(1.5\pi - \alpha)}{1 - \text{tg}^2(\alpha - \pi)} \cdot \frac{\text{ctg}^2(2\pi - \alpha) - 1}{\text{ctg}(\pi + \alpha)} $

Упростим каждый член выражения по отдельности, учитывая, что $ 1.5\pi = \frac{3\pi}{2} $:

1. $ \text{ctg}(1.5\pi - \alpha) = \text{ctg}(\frac{3\pi}{2} - \alpha) = \text{tg}(\alpha) $. Аргумент $ \frac{3\pi}{2} - \alpha $ находится в III четверти, где котангенс положителен, а функция меняется на кофункцию.

2. $ \text{tg}(\alpha - \pi) = \text{tg}(\alpha) $, так как $ \pi $ является периодом тангенса. Тогда $ \text{tg}^2(\alpha - \pi) = \text{tg}^2(\alpha) $.

3. $ \text{ctg}(2\pi - \alpha) = \text{ctg}(-\alpha) = -\text{ctg}(\alpha) $, так как $ 2\pi $ является периодом котангенса, и котангенс — нечетная функция. Тогда $ \text{ctg}^2(2\pi - \alpha) = (-\text{ctg}(\alpha))^2 = \text{ctg}^2(\alpha) $.

4. $ \text{ctg}(\pi + \alpha) = \text{ctg}(\alpha) $, так как $ \pi $ является периодом котангенса.

Подставим упрощенные выражения в исходное произведение:

$ \frac{\text{tg}(\alpha)}{1 - \text{tg}^2(\alpha)} \cdot \frac{\text{ctg}^2(\alpha) - 1}{\text{ctg}(\alpha)} $

Для дальнейшего упрощения выразим котангенс через тангенс $ \text{ctg}(\alpha) = \frac{1}{\text{tg}(\alpha)} $. Преобразуем второй множитель:

$ \frac{\text{ctg}^2(\alpha) - 1}{\text{ctg}(\alpha)} = \frac{(\frac{1}{\text{tg}\alpha})^2 - 1}{\frac{1}{\text{tg}\alpha}} = \frac{\frac{1 - \text{tg}^2\alpha}{\text{tg}^2\alpha}}{\frac{1}{\text{tg}\alpha}} = \frac{1 - \text{tg}^2\alpha}{\text{tg}^2\alpha} \cdot \frac{\text{tg}\alpha}{1} = \frac{1 - \text{tg}^2\alpha}{\text{tg}\alpha} $

Теперь перемножим полученные дроби:

$ \frac{\text{tg}(\alpha)}{1 - \text{tg}^2(\alpha)} \cdot \frac{1 - \text{tg}^2(\alpha)}{\text{tg}(\alpha)} $

Сокращая одинаковые множители в числителе и знаменателе, получаем:

$ \frac{\cancel{\text{tg}(\alpha)}}{\cancel{1 - \text{tg}^2(\alpha)}} \cdot \frac{\cancel{1 - \text{tg}^2(\alpha)}}{\cancel{\text{tg}(\alpha)}} = 1 $

Ответ: 1

Помогло решение? Оставьте отзыв в комментариях ниже.

Присоединяйтесь к Телеграм-группе @gdz_by_belarus

Присоединиться

Мы подготовили для вас ответ c подробным объяснением домашего задания по алгебре за 11 класс, для упражнения номер 134 расположенного на странице 181 к учебнику 2020 года издания для учащихся школ и гимназий.

Теперь на нашем сайте ГДЗ.ТОП вы всегда легко и бесплатно найдёте условие с правильным ответом на вопрос «Как решить ДЗ» и «Как сделать» задание по алгебре к упражнению №134 (с. 181), авторов: Арефьева (Ирина Глебовна), Пирютко (Ольга Николаевна), учебного пособия издательства Народная асвета.