Номер 138, страница 182 - гдз по алгебре 11 класс учебник Арефьева, Пирютко

Алгебра, 11 класс Учебник, авторы: Арефьева Ирина Глебовна, Пирютко Ольга Николаевна, издательство Народная асвета, Минск, 2020, бирюзового цвета

Авторы: Арефьева И. Г., Пирютко О. Н.

Тип: Учебник

Издательство: Народная асвета

Год издания: 2020 - 2026

Цвет обложки: бирюзовый, зелёный с графиком

ISBN: 978-985-03-3165-6

Популярные ГДЗ в 11 классе

Упражнения для итогового повторения. Выражения и их преобразования - номер 138, страница 182.

№138 (с. 182)
Условие. №138 (с. 182)
скриншот условия
Алгебра, 11 класс Учебник, авторы: Арефьева Ирина Глебовна, Пирютко Ольга Николаевна, издательство Народная асвета, Минск, 2020, бирюзового цвета, страница 182, номер 138, Условие

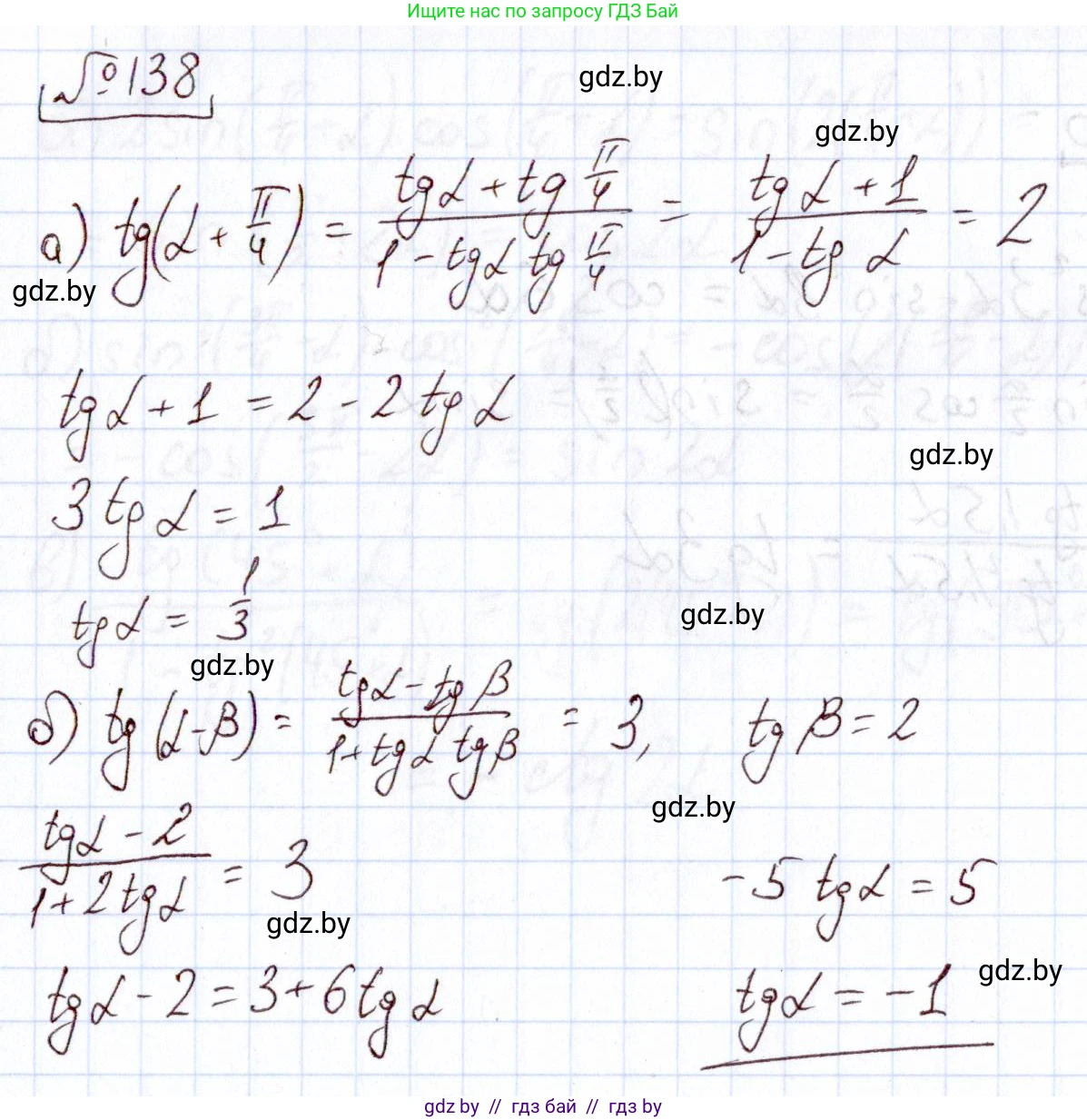
138. Найдите $tg\alpha$, если известно, что:

а) $tg(\alpha + \frac{\pi}{4}) = 2;$

б) $tg(\alpha - \beta) = 3$ и $tg\alpha = 2.$

Решение. №138 (с. 182)
Алгебра, 11 класс Учебник, авторы: Арефьева Ирина Глебовна, Пирютко Ольга Николаевна, издательство Народная асвета, Минск, 2020, бирюзового цвета, страница 182, номер 138, Решение
Решение 2. №138 (с. 182)

а) Для решения используем формулу тангенса суммы двух углов: $\text{tg}(x + y) = \frac{\text{tg}x + \text{tg}y}{1 - \text{tg}x \cdot \text{tg}y}$. В данном случае нам дано $\text{tg}(\alpha + \frac{\pi}{4}) = 2$. Применим формулу, учитывая, что $\text{tg}(\frac{\pi}{4}) = 1$. Получаем:$\text{tg}(\alpha + \frac{\pi}{4}) = \frac{\text{tg}\alpha + \text{tg}(\frac{\pi}{4})}{1 - \text{tg}\alpha \cdot \text{tg}(\frac{\pi}{4})} = \frac{\text{tg}\alpha + 1}{1 - \text{tg}\alpha}$. Согласно условию, это выражение равно 2. Составим уравнение и найдем $\text{tg}\alpha$:$\frac{\text{tg}\alpha + 1}{1 - \text{tg}\alpha} = 2$. Умножим обе части на $(1 - \text{tg}\alpha)$, при условии, что $1 - \text{tg}\alpha \neq 0$:$\text{tg}\alpha + 1 = 2(1 - \text{tg}\alpha)$$\text{tg}\alpha + 1 = 2 - 2\text{tg}\alpha$$\text{tg}\alpha + 2\text{tg}\alpha = 2 - 1$$3\text{tg}\alpha = 1$$\text{tg}\alpha = \frac{1}{3}$. Ответ: $\frac{1}{3}$.

б) В условии этого пункта, по-видимому, допущена опечатка. Задание просит найти $\text{tg}\alpha$, но при этом в условии дано, что $\text{tg}\alpha = 2$. Такая постановка задачи некорректна. Наиболее вероятно, что условие должно было звучать так: "Найдите $\text{tg}\alpha$, если известно, что $\text{tg}(\alpha - \beta) = 3$ и $\text{tg}\beta = 2$". Решим задачу в такой формулировке. Используем формулу тангенса разности двух углов: $\text{tg}(x - y) = \frac{\text{tg}x - \text{tg}y}{1 + \text{tg}x \cdot \text{tg}y}$. Подставим известные значения $\text{tg}(\alpha - \beta) = 3$ и $\text{tg}\beta = 2$:$3 = \frac{\text{tg}\alpha - \text{tg}\beta}{1 + \text{tg}\alpha \cdot \text{tg}\beta} = \frac{\text{tg}\alpha - 2}{1 + \text{tg}\alpha \cdot 2}$. Решим полученное уравнение относительно $\text{tg}\alpha$:$3 = \frac{\text{tg}\alpha - 2}{1 + 2\text{tg}\alpha}$$3(1 + 2\text{tg}\alpha) = \text{tg}\alpha - 2$$3 + 6\text{tg}\alpha = \text{tg}\alpha - 2$$6\text{tg}\alpha - \text{tg}\alpha = -2 - 3$$5\text{tg}\alpha = -5$$\text{tg}\alpha = -1$. Ответ: -1.

Помогло решение? Оставьте отзыв в комментариях ниже.

Присоединяйтесь к Телеграм-группе @gdz_by_belarus

Присоединиться

Мы подготовили для вас ответ c подробным объяснением домашего задания по алгебре за 11 класс, для упражнения номер 138 расположенного на странице 182 к учебнику 2020 года издания для учащихся школ и гимназий.

Теперь на нашем сайте ГДЗ.ТОП вы всегда легко и бесплатно найдёте условие с правильным ответом на вопрос «Как решить ДЗ» и «Как сделать» задание по алгебре к упражнению №138 (с. 182), авторов: Арефьева (Ирина Глебовна), Пирютко (Ольга Николаевна), учебного пособия издательства Народная асвета.