Номер 143, страница 183 - гдз по алгебре 11 класс учебник Арефьева, Пирютко

Алгебра, 11 класс Учебник, авторы: Арефьева Ирина Глебовна, Пирютко Ольга Николаевна, издательство Народная асвета, Минск, 2020, бирюзового цвета

Авторы: Арефьева И. Г., Пирютко О. Н.

Тип: Учебник

Издательство: Народная асвета

Год издания: 2020 - 2026

Цвет обложки: бирюзовый, зелёный с графиком

ISBN: 978-985-03-3165-6

Популярные ГДЗ в 11 классе

Упражнения для итогового повторения. Выражения и их преобразования - номер 143, страница 183.

№143 (с. 183)
Условие. №143 (с. 183)
скриншот условия
Алгебра, 11 класс Учебник, авторы: Арефьева Ирина Глебовна, Пирютко Ольга Николаевна, издательство Народная асвета, Минск, 2020, бирюзового цвета, страница 183, номер 143, Условие

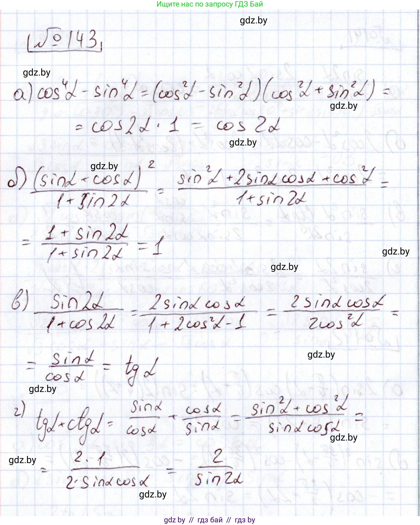
143. Докажите тождество:

а) $ \cos^4 \alpha - \sin^4 \alpha = \cos2\alpha; $

б) $ \frac{(\sin \alpha + \cos \alpha)^2}{1 + \sin2\alpha} = 1; $

В) $ \frac{\sin2\alpha}{1 + \cos2\alpha} = \operatorname{tg}\alpha; $

Г) $ \operatorname{tg}\alpha + \operatorname{ctg}\alpha = \frac{2}{\sin2\alpha}. $

Решение. №143 (с. 183)
Алгебра, 11 класс Учебник, авторы: Арефьева Ирина Глебовна, Пирютко Ольга Николаевна, издательство Народная асвета, Минск, 2020, бирюзового цвета, страница 183, номер 143, Решение
Решение 2. №143 (с. 183)

а) Докажем тождество $cos^4 \alpha - sin^4 \alpha = cos2\alpha$.

Преобразуем левую часть равенства. Заметим, что выражение является разностью квадратов, и применим соответствующую формулу $a^2 - b^2 = (a-b)(a+b)$:

$cos^4 \alpha - sin^4 \alpha = (cos^2 \alpha)^2 - (sin^2 \alpha)^2 = (cos^2 \alpha - sin^2 \alpha)(cos^2 \alpha + sin^2 \alpha)$.

Теперь воспользуемся двумя основными тригонометрическими формулами:

1. Формула косинуса двойного угла: $cos2\alpha = cos^2 \alpha - sin^2 \alpha$.

2. Основное тригонометрическое тождество: $cos^2 \alpha + sin^2 \alpha = 1$.

Подставим эти выражения в нашу формулу:

$(cos^2 \alpha - sin^2 \alpha)(cos^2 \alpha + sin^2 \alpha) = (cos2\alpha) \cdot 1 = cos2\alpha$.

Таким образом, левая часть тождества равна правой: $cos2\alpha = cos2\alpha$. Что и требовалось доказать.

Ответ: Тождество доказано.


б) Докажем тождество $\frac{(sin \alpha + cos \alpha)^2}{1 + sin2\alpha} = 1$.

Преобразуем левую часть равенства. Начнем с числителя. Раскроем скобки, используя формулу квадрата суммы $(a+b)^2 = a^2 + 2ab + b^2$:

$(sin \alpha + cos \alpha)^2 = sin^2 \alpha + 2sin \alpha cos \alpha + cos^2 \alpha$.

Сгруппируем слагаемые и применим основное тригонометрическое тождество $sin^2 \alpha + cos^2 \alpha = 1$ и формулу синуса двойного угла $sin2\alpha = 2sin \alpha cos \alpha$:

$(sin^2 \alpha + cos^2 \alpha) + 2sin \alpha cos \alpha = 1 + sin2\alpha$.

Теперь подставим полученное выражение для числителя обратно в дробь:

$\frac{1 + sin2\alpha}{1 + sin2\alpha} = 1$.

Левая часть тождества равна правой. Что и требовалось доказать (при условии, что знаменатель $1 + sin2\alpha \neq 0$).

Ответ: Тождество доказано.


в) Докажем тождество $\frac{sin2\alpha}{1 + cos2\alpha} = tg\alpha$.

Преобразуем левую часть равенства, используя формулы двойного угла.

Для числителя используем формулу синуса двойного угла:

$sin2\alpha = 2sin \alpha cos \alpha$.

Для знаменателя используем формулу косинуса двойного угла в виде $cos2\alpha = 2cos^2 \alpha - 1$. Это удобно, так как единица в знаменателе сократится:

$1 + cos2\alpha = 1 + (2cos^2 \alpha - 1) = 2cos^2 \alpha$.

Подставим преобразованные числитель и знаменатель обратно в дробь:

$\frac{2sin \alpha cos \alpha}{2cos^2 \alpha}$.

Сократим дробь на $2cos \alpha$ (при условии, что $cos \alpha \neq 0$):

$\frac{sin \alpha}{cos \alpha} = tg\alpha$.

Левая часть тождества равна правой. Что и требовалось доказать.

Ответ: Тождество доказано.


г) Докажем тождество $tg\alpha + ctg\alpha = \frac{2}{sin2\alpha}$.

Преобразуем левую часть равенства. Выразим тангенс и котангенс через синус и косинус:

$tg\alpha + ctg\alpha = \frac{sin \alpha}{cos \alpha} + \frac{cos \alpha}{sin \alpha}$.

Приведем дроби к общему знаменателю $sin \alpha cos \alpha$:

$\frac{sin \alpha \cdot sin \alpha + cos \alpha \cdot cos \alpha}{sin \alpha cos \alpha} = \frac{sin^2 \alpha + cos^2 \alpha}{sin \alpha cos \alpha}$.

Применим основное тригонометрическое тождество $sin^2 \alpha + cos^2 \alpha = 1$ в числителе:

$\frac{1}{sin \alpha cos \alpha}$.

Чтобы получить в знаменателе $sin2\alpha$, воспользуемся формулой синуса двойного угла $sin2\alpha = 2sin \alpha cos \alpha$. Для этого умножим числитель и знаменатель нашей дроби на 2:

$\frac{1 \cdot 2}{2sin \alpha cos \alpha} = \frac{2}{sin2\alpha}$.

Левая часть тождества равна правой. Что и требовалось доказать (при условии, что $sin2\alpha \neq 0$).

Ответ: Тождество доказано.

Помогло решение? Оставьте отзыв в комментариях ниже.

Присоединяйтесь к Телеграм-группе @gdz_by_belarus

Присоединиться

Мы подготовили для вас ответ c подробным объяснением домашего задания по алгебре за 11 класс, для упражнения номер 143 расположенного на странице 183 к учебнику 2020 года издания для учащихся школ и гимназий.

Теперь на нашем сайте ГДЗ.ТОП вы всегда легко и бесплатно найдёте условие с правильным ответом на вопрос «Как решить ДЗ» и «Как сделать» задание по алгебре к упражнению №143 (с. 183), авторов: Арефьева (Ирина Глебовна), Пирютко (Ольга Николаевна), учебного пособия издательства Народная асвета.