Номер 147, страница 183 - гдз по алгебре 11 класс учебник Арефьева, Пирютко

Алгебра, 11 класс Учебник, авторы: Арефьева Ирина Глебовна, Пирютко Ольга Николаевна, издательство Народная асвета, Минск, 2020, бирюзового цвета

Авторы: Арефьева И. Г., Пирютко О. Н.

Тип: Учебник

Издательство: Народная асвета

Год издания: 2020 - 2026

Цвет обложки: бирюзовый, зелёный с графиком

ISBN: 978-985-03-3165-6

Популярные ГДЗ в 11 классе

Упражнения для итогового повторения. Выражения и их преобразования - номер 147, страница 183.

№147 (с. 183)
Условие. №147 (с. 183)
скриншот условия
Алгебра, 11 класс Учебник, авторы: Арефьева Ирина Глебовна, Пирютко Ольга Николаевна, издательство Народная асвета, Минск, 2020, бирюзового цвета, страница 183, номер 147, Условие

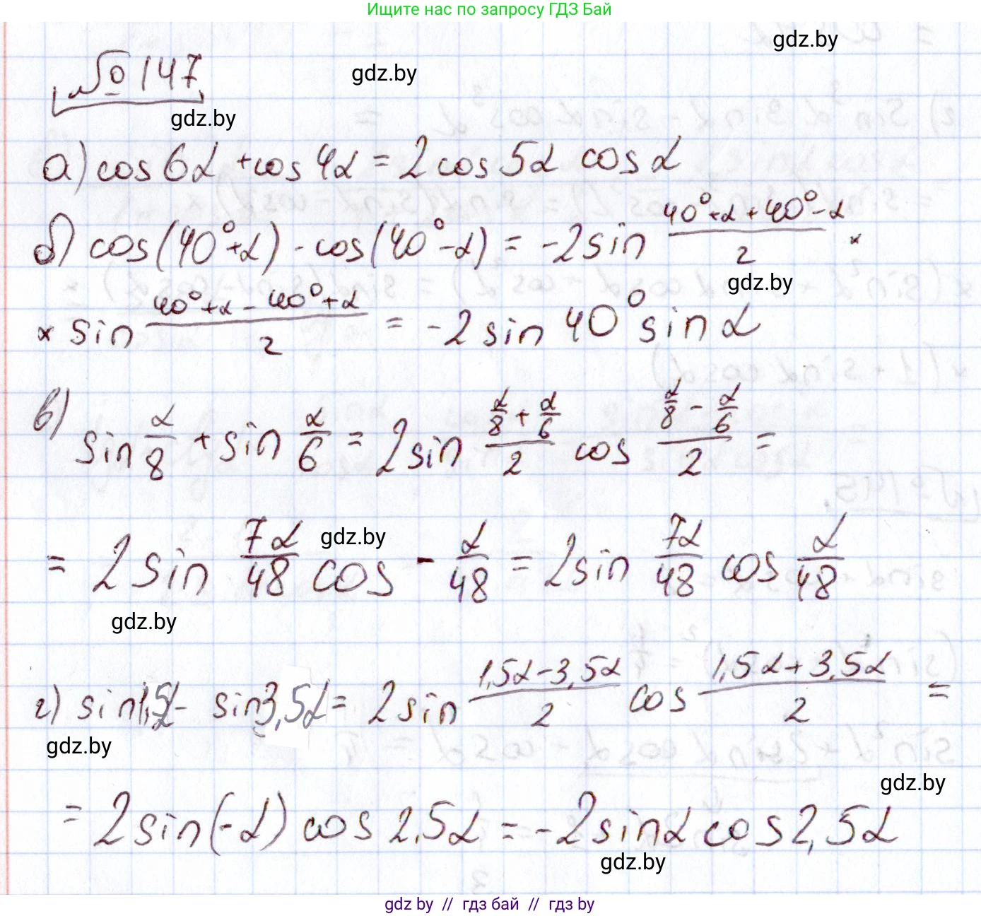
147. Преобразуйте сумму тригонометрических функций в произведение и упростите выражение:

а) $ \cos 6\alpha + \cos 4\alpha $;

б) $ \cos(40^{\circ} + \alpha) - \cos(40^{\circ} - \alpha) $;

в) $ \sin \frac{\alpha}{8} + \sin \frac{\alpha}{6} $;

г) $ \sin 1.5\alpha - \sin 3.5\alpha $.

Решение. №147 (с. 183)
Алгебра, 11 класс Учебник, авторы: Арефьева Ирина Глебовна, Пирютко Ольга Николаевна, издательство Народная асвета, Минск, 2020, бирюзового цвета, страница 183, номер 147, Решение
Решение 2. №147 (с. 183)

а) Для преобразования суммы косинусов $ \cos(6\alpha) + \cos(4\alpha) $ в произведение используется формула суммы косинусов: $ \cos x + \cos y = 2\cos\frac{x+y}{2}\cos\frac{x-y}{2} $.
В данном случае $ x = 6\alpha $ и $ y = 4\alpha $. Подставив эти значения в формулу, получим:
$ \cos(6\alpha) + \cos(4\alpha) = 2\cos\frac{6\alpha + 4\alpha}{2}\cos\frac{6\alpha - 4\alpha}{2} = 2\cos\frac{10\alpha}{2}\cos\frac{2\alpha}{2} = 2\cos(5\alpha)\cos(\alpha) $.
Ответ: $2\cos(5\alpha)\cos(\alpha)$.

б) Для преобразования разности косинусов $ \cos(40^\circ + \alpha) - \cos(40^\circ - \alpha) $ в произведение используется формула разности косинусов: $ \cos x - \cos y = -2\sin\frac{x+y}{2}\sin\frac{x-y}{2} $.
Здесь $ x = 40^\circ + \alpha $ и $ y = 40^\circ - \alpha $. Подставим значения:
$ -2\sin\frac{(40^\circ + \alpha) + (40^\circ - \alpha)}{2}\sin\frac{(40^\circ + \alpha) - (40^\circ - \alpha)}{2} = -2\sin\frac{80^\circ}{2}\sin\frac{2\alpha}{2} = -2\sin(40^\circ)\sin(\alpha) $.
Ответ: $-2\sin(40^\circ)\sin(\alpha)$.

в) Для преобразования суммы синусов $ \sin\frac{\alpha}{8} + \sin\frac{\alpha}{6} $ в произведение используется формула суммы синусов: $ \sin x + \sin y = 2\sin\frac{x+y}{2}\cos\frac{x-y}{2} $.
Примем $ x = \frac{\alpha}{8} $ и $ y = \frac{\alpha}{6} $. Вычислим полусумму и полуразность аргументов и подставим в формулу:
$ 2\sin\frac{\frac{\alpha}{8} + \frac{\alpha}{6}}{2}\cos\frac{\frac{\alpha}{8} - \frac{\alpha}{6}}{2} = 2\sin\frac{\frac{3\alpha + 4\alpha}{24}}{2}\cos\frac{\frac{3\alpha - 4\alpha}{24}}{2} = 2\sin\left(\frac{7\alpha}{48}\right)\cos\left(-\frac{\alpha}{48}\right) $.
Используя свойство чётности косинуса $ \cos(-z) = \cos(z) $, упрощаем выражение: $ 2\sin\left(\frac{7\alpha}{48}\right)\cos\left(\frac{\alpha}{48}\right) $.
Ответ: $2\sin\left(\frac{7\alpha}{48}\right)\cos\left(\frac{\alpha}{48}\right)$.

г) Для преобразования разности синусов $ \sin(1,5\alpha) - \sin(3,5\alpha) $ в произведение используется формула разности синусов: $ \sin x - \sin y = 2\cos\frac{x+y}{2}\sin\frac{x-y}{2} $.
Пусть $ x = 1,5\alpha $ и $ y = 3,5\alpha $. Подставим в формулу:
$ 2\cos\frac{1,5\alpha + 3,5\alpha}{2}\sin\frac{1,5\alpha - 3,5\alpha}{2} = 2\cos\frac{5\alpha}{2}\sin\frac{-2\alpha}{2} = 2\cos(2,5\alpha)\sin(-\alpha) $.
Используя свойство нечётности синуса $ \sin(-z) = -\sin(z) $, получаем: $ -2\cos(2,5\alpha)\sin(\alpha) $.
Ответ: $-2\cos(2,5\alpha)\sin(\alpha)$.

Помогло решение? Оставьте отзыв в комментариях ниже.

Присоединяйтесь к Телеграм-группе @gdz_by_belarus

Присоединиться

Мы подготовили для вас ответ c подробным объяснением домашего задания по алгебре за 11 класс, для упражнения номер 147 расположенного на странице 183 к учебнику 2020 года издания для учащихся школ и гимназий.

Теперь на нашем сайте ГДЗ.ТОП вы всегда легко и бесплатно найдёте условие с правильным ответом на вопрос «Как решить ДЗ» и «Как сделать» задание по алгебре к упражнению №147 (с. 183), авторов: Арефьева (Ирина Глебовна), Пирютко (Ольга Николаевна), учебного пособия издательства Народная асвета.