Номер 150, страница 183 - гдз по алгебре 11 класс учебник Арефьева, Пирютко

Алгебра, 11 класс Учебник, авторы: Арефьева Ирина Глебовна, Пирютко Ольга Николаевна, издательство Народная асвета, Минск, 2020, бирюзового цвета

Авторы: Арефьева И. Г., Пирютко О. Н.

Тип: Учебник

Издательство: Народная асвета

Год издания: 2020 - 2026

Цвет обложки: бирюзовый, зелёный с графиком

ISBN: 978-985-03-3165-6

Популярные ГДЗ в 11 классе

Упражнения для итогового повторения. Выражения и их преобразования - номер 150, страница 183.

№150 (с. 183)
Условие. №150 (с. 183)
скриншот условия
Алгебра, 11 класс Учебник, авторы: Арефьева Ирина Глебовна, Пирютко Ольга Николаевна, издательство Народная асвета, Минск, 2020, бирюзового цвета, страница 183, номер 150, Условие

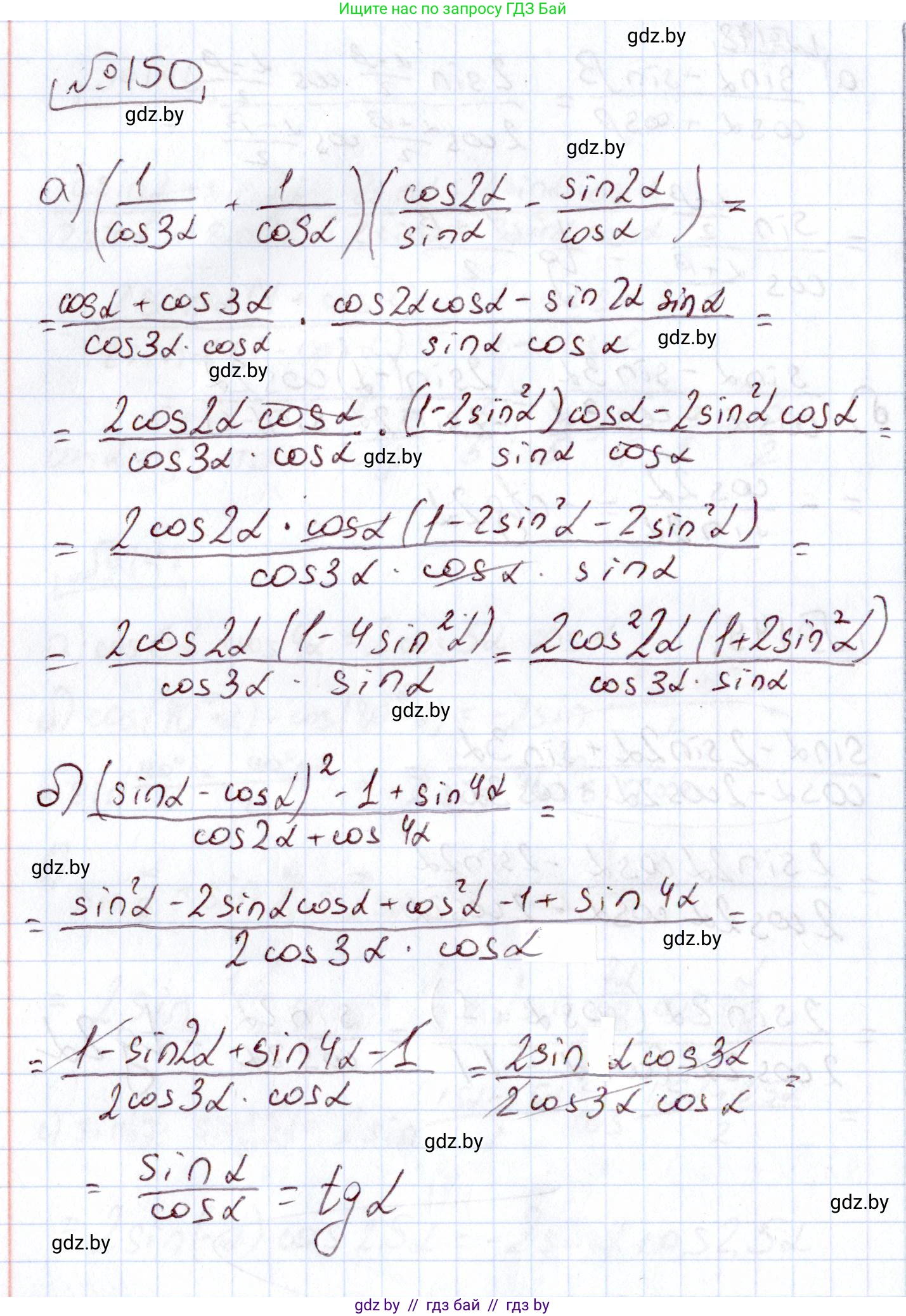
150. Упростите выражение:

a) $\left(\frac{1}{\cos3\alpha} + \frac{1}{\cos\alpha}\right)\left(\frac{\cos2\alpha}{\sin\alpha} - \frac{\sin2\alpha}{\cos\alpha}\right);$

б) $\frac{(\sin\alpha - \cos\alpha)^2 - 1 + \sin4\alpha}{\cos2\alpha + \cos4\alpha}.$

Решение. №150 (с. 183)
Алгебра, 11 класс Учебник, авторы: Арефьева Ирина Глебовна, Пирютко Ольга Николаевна, издательство Народная асвета, Минск, 2020, бирюзового цвета, страница 183, номер 150, Решение
Решение 2. №150 (с. 183)

а) Упростим выражение $(\frac{1}{\cos3\alpha} + \frac{1}{\cos\alpha})(\frac{\cos2\alpha}{\sin\alpha} - \frac{\sin2\alpha}{\cos\alpha})$.

Сначала приведем к общему знаменателю выражения в каждой скобке.

Первая скобка:
$\frac{1}{\cos3\alpha} + \frac{1}{\cos\alpha} = \frac{\cos\alpha + \cos3\alpha}{\cos3\alpha \cos\alpha}$

Используем формулу суммы косинусов $\cos x + \cos y = 2\cos(\frac{x+y}{2})\cos(\frac{x-y}{2})$ для числителя:
$\cos3\alpha + \cos\alpha = 2\cos(\frac{3\alpha+\alpha}{2})\cos(\frac{3\alpha-\alpha}{2}) = 2\cos(2\alpha)\cos\alpha$

Тогда первая скобка равна:
$\frac{2\cos(2\alpha)\cos\alpha}{\cos3\alpha \cos\alpha} = \frac{2\cos2\alpha}{\cos3\alpha}$

Вторая скобка:
$\frac{\cos2\alpha}{\sin\alpha} - \frac{\sin2\alpha}{\cos\alpha} = \frac{\cos2\alpha\cos\alpha - \sin2\alpha\sin\alpha}{\sin\alpha\cos\alpha}$

Используем формулу косинуса суммы $\cos(x+y) = \cos x \cos y - \sin x \sin y$ для числителя:
$\cos2\alpha\cos\alpha - \sin2\alpha\sin\alpha = \cos(2\alpha+\alpha) = \cos3\alpha$

Для знаменателя используем формулу синуса двойного угла $\sin(2x) = 2\sin x \cos x$, откуда $\sin\alpha\cos\alpha = \frac{1}{2}\sin2\alpha$.
Тогда вторая скобка равна:
$\frac{\cos3\alpha}{\frac{1}{2}\sin2\alpha} = \frac{2\cos3\alpha}{\sin2\alpha}$

Теперь перемножим упрощенные выражения из скобок:
$(\frac{2\cos2\alpha}{\cos3\alpha}) \cdot (\frac{2\cos3\alpha}{\sin2\alpha}) = \frac{4\cos2\alpha \cdot \cos3\alpha}{\cos3\alpha \cdot \sin2\alpha}$

Сокращаем $\cos3\alpha$ и получаем:
$\frac{4\cos2\alpha}{\sin2\alpha} = 4\cot(2\alpha)$

Ответ: $4\cot(2\alpha)$

б) Упростим выражение $\frac{(\sin\alpha - \cos\alpha)^2 - 1 + \sin4\alpha}{\cos2\alpha + \cos4\alpha}$.

Рассмотрим числитель. Раскроем квадрат разности:
$(\sin\alpha - \cos\alpha)^2 = \sin^2\alpha - 2\sin\alpha\cos\alpha + \cos^2\alpha$

Используя основное тригонометрическое тождество $\sin^2\alpha + \cos^2\alpha = 1$ и формулу синуса двойного угла $2\sin\alpha\cos\alpha = \sin(2\alpha)$, получаем:
$(\sin\alpha - \cos\alpha)^2 = (\sin^2\alpha + \cos^2\alpha) - 2\sin\alpha\cos\alpha = 1 - \sin(2\alpha)$

Подставим это в числитель исходного выражения:
$(1 - \sin(2\alpha)) - 1 + \sin4\alpha = \sin4\alpha - \sin2\alpha$

Теперь применим к числителю формулу разности синусов $\sin x - \sin y = 2\cos(\frac{x+y}{2})\sin(\frac{x-y}{2})$:
$\sin4\alpha - \sin2\alpha = 2\cos(\frac{4\alpha+2\alpha}{2})\sin(\frac{4\alpha-2\alpha}{2}) = 2\cos(3\alpha)\sin\alpha$

Рассмотрим знаменатель. Применим формулу суммы косинусов $\cos x + \cos y = 2\cos(\frac{x+y}{2})\cos(\frac{x-y}{2})$:
$\cos2\alpha + \cos4\alpha = 2\cos(\frac{2\alpha+4\alpha}{2})\cos(\frac{4\alpha-2\alpha}{2}) = 2\cos(3\alpha)\cos\alpha$

Подставим упрощенные числитель и знаменатель обратно в дробь:
$\frac{2\cos(3\alpha)\sin\alpha}{2\cos(3\alpha)\cos\alpha}$

Сокращаем общие множители $2$ и $\cos(3\alpha)$:
$\frac{\sin\alpha}{\cos\alpha} = \tan\alpha$

Ответ: $\tan\alpha$

Помогло решение? Оставьте отзыв в комментариях ниже.

Присоединяйтесь к Телеграм-группе @gdz_by_belarus

Присоединиться

Мы подготовили для вас ответ c подробным объяснением домашего задания по алгебре за 11 класс, для упражнения номер 150 расположенного на странице 183 к учебнику 2020 года издания для учащихся школ и гимназий.

Теперь на нашем сайте ГДЗ.ТОП вы всегда легко и бесплатно найдёте условие с правильным ответом на вопрос «Как решить ДЗ» и «Как сделать» задание по алгебре к упражнению №150 (с. 183), авторов: Арефьева (Ирина Глебовна), Пирютко (Ольга Николаевна), учебного пособия издательства Народная асвета.