Номер 168, страница 186 - гдз по алгебре 11 класс учебник Арефьева, Пирютко

Алгебра, 11 класс Учебник, авторы: Арефьева Ирина Глебовна, Пирютко Ольга Николаевна, издательство Народная асвета, Минск, 2020, бирюзового цвета

Авторы: Арефьева И. Г., Пирютко О. Н.

Тип: Учебник

Издательство: Народная асвета

Год издания: 2020 - 2026

Цвет обложки: бирюзовый, зелёный с графиком

ISBN: 978-985-03-3165-6

Популярные ГДЗ в 11 классе

Упражнения для итогового повторения. Выражения и их преобразования - номер 168, страница 186.

№168 (с. 186)
Условие. №168 (с. 186)
скриншот условия
Алгебра, 11 класс Учебник, авторы: Арефьева Ирина Глебовна, Пирютко Ольга Николаевна, издательство Народная асвета, Минск, 2020, бирюзового цвета, страница 186, номер 168, Условие

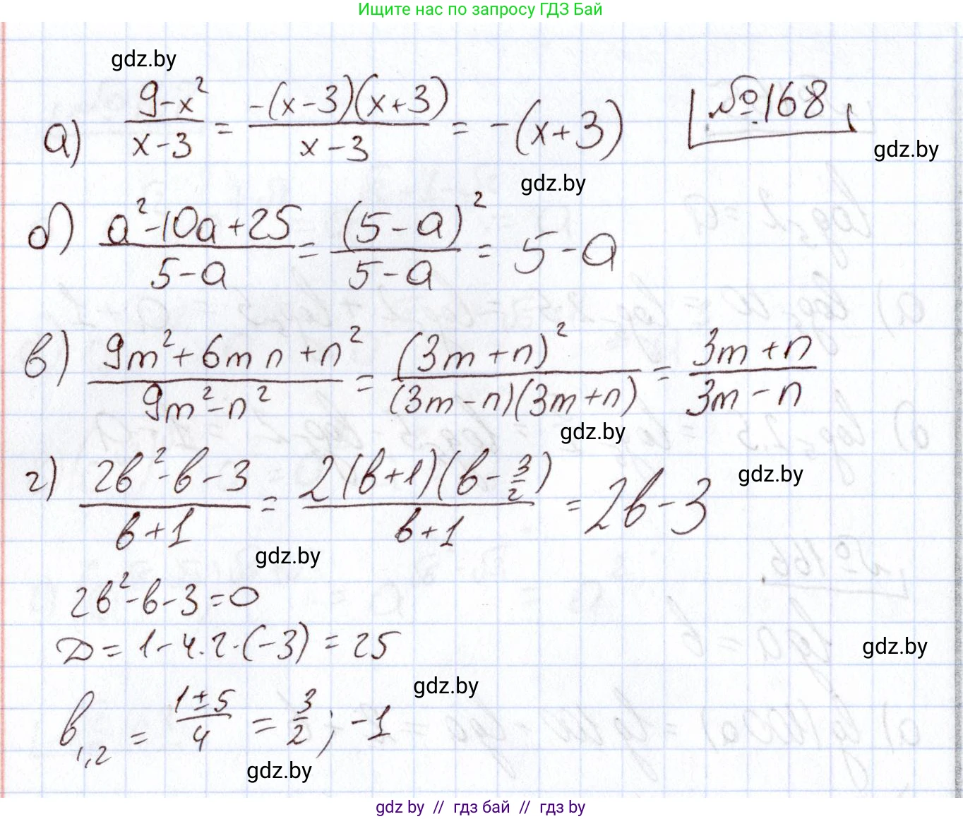
168. Сократите рациональную дробь:

a) $ \frac{9 - x^2}{x - 3} $;

б) $ \frac{a^2 - 10a + 25}{5 - a} $;

в) $ \frac{9m^2 + 6mn + n^2}{9m^2 - n^2} $;

г) $ \frac{2b^2 - b - 3}{b + 1} $.

Решение. №168 (с. 186)
Алгебра, 11 класс Учебник, авторы: Арефьева Ирина Глебовна, Пирютко Ольга Николаевна, издательство Народная асвета, Минск, 2020, бирюзового цвета, страница 186, номер 168, Решение
Решение 2. №168 (с. 186)

а) Чтобы сократить дробь $\frac{9 - x^2}{x - 3}$, разложим числитель на множители, используя формулу разности квадратов $a^2 - b^2 = (a - b)(a + b)$.
В нашем случае $a=3$ и $b=x$, поэтому числитель $9 - x^2$ раскладывается как $(3 - x)(3 + x)$.
Подставим разложение в дробь:
$\frac{(3 - x)(3 + x)}{x - 3}$
Заметим, что выражения $(3 - x)$ и $(x - 3)$ являются противоположными. Мы можем вынести знак минус за скобки в одном из выражений: $(3 - x) = -(x - 3)$.
Получаем:
$\frac{-(x - 3)(3 + x)}{x - 3}$
Теперь можно сократить общий множитель $(x - 3)$, при условии, что $x \neq 3$.
$-(3 + x) = -3 - x$.
Ответ: $-3 - x$.

б) Чтобы сократить дробь $\frac{a^2 - 10a + 25}{5 - a}$, разложим числитель на множители. Числитель представляет собой полный квадрат разности по формуле $(x - y)^2 = x^2 - 2xy + y^2$.
В нашем случае $x=a$ и $y=5$, поэтому $a^2 - 10a + 25 = a^2 - 2 \cdot a \cdot 5 + 5^2 = (a - 5)^2$.
Подставим разложение в дробь:
$\frac{(a - 5)^2}{5 - a} = \frac{(a - 5)(a - 5)}{5 - a}$
Как и в предыдущем примере, выражения $(a - 5)$ и $(5 - a)$ являются противоположными: $(5 - a) = -(a - 5)$.
Получаем:
$\frac{(a - 5)(a - 5)}{-(a - 5)}$
Сокращаем общий множитель $(a - 5)$, при условии, что $a \neq 5$.
$\frac{a - 5}{-1} = -(a - 5) = 5 - a$.
Ответ: $5 - a$.

в) Чтобы сократить дробь $\frac{9m^2 + 6mn + n^2}{9m^2 - n^2}$, разложим на множители числитель и знаменатель.
Числитель $9m^2 + 6mn + n^2$ — это полный квадрат суммы: $(3m)^2 + 2 \cdot (3m) \cdot n + n^2 = (3m + n)^2$.
Знаменатель $9m^2 - n^2$ — это разность квадратов: $(3m)^2 - n^2 = (3m - n)(3m + n)$.
Подставим разложения в дробь:
$\frac{(3m + n)^2}{(3m - n)(3m + n)} = \frac{(3m + n)(3m + n)}{(3m - n)(3m + n)}$
Сокращаем общий множитель $(3m + n)$, при условии, что $3m + n \neq 0$.
$\frac{3m + n}{3m - n}$.
Ответ: $\frac{3m + n}{3m - n}$.

г) Чтобы сократить дробь $\frac{2b^2 - b - 3}{b + 1}$, разложим на множители числитель $2b^2 - b - 3$. Для этого найдем корни соответствующего квадратного уравнения $2b^2 - b - 3 = 0$.
Вычислим дискриминант:
$D = b^2 - 4ac = (-1)^2 - 4 \cdot 2 \cdot (-3) = 1 + 24 = 25$.
Найдем корни:
$b_1 = \frac{-b + \sqrt{D}}{2a} = \frac{-(-1) + \sqrt{25}}{2 \cdot 2} = \frac{1 + 5}{4} = \frac{6}{4} = \frac{3}{2}$.
$b_2 = \frac{-b - \sqrt{D}}{2a} = \frac{-(-1) - \sqrt{25}}{2 \cdot 2} = \frac{1 - 5}{4} = \frac{-4}{4} = -1$.
Теперь разложим квадратный трехчлен на множители по формуле $ax^2 + bx + c = a(x - x_1)(x - x_2)$:
$2b^2 - b - 3 = 2(b - \frac{3}{2})(b - (-1)) = 2(b - \frac{3}{2})(b + 1) = (2b - 3)(b + 1)$.
Подставим разложение в исходную дробь:
$\frac{(2b - 3)(b + 1)}{b + 1}$
Сокращаем общий множитель $(b + 1)$, при условии, что $b \neq -1$.
$2b - 3$.
Ответ: $2b - 3$.

Помогло решение? Оставьте отзыв в комментариях ниже.

Присоединяйтесь к Телеграм-группе @gdz_by_belarus

Присоединиться

Мы подготовили для вас ответ c подробным объяснением домашего задания по алгебре за 11 класс, для упражнения номер 168 расположенного на странице 186 к учебнику 2020 года издания для учащихся школ и гимназий.

Теперь на нашем сайте ГДЗ.ТОП вы всегда легко и бесплатно найдёте условие с правильным ответом на вопрос «Как решить ДЗ» и «Как сделать» задание по алгебре к упражнению №168 (с. 186), авторов: Арефьева (Ирина Глебовна), Пирютко (Ольга Николаевна), учебного пособия издательства Народная асвета.