Номер 169, страница 186 - гдз по алгебре 11 класс учебник Арефьева, Пирютко

Алгебра, 11 класс Учебник, авторы: Арефьева Ирина Глебовна, Пирютко Ольга Николаевна, издательство Народная асвета, Минск, 2020, бирюзового цвета

Авторы: Арефьева И. Г., Пирютко О. Н.

Тип: Учебник

Издательство: Народная асвета

Год издания: 2020 - 2026

Цвет обложки: бирюзовый, зелёный с графиком

ISBN: 978-985-03-3165-6

Популярные ГДЗ в 11 классе

Упражнения для итогового повторения. Выражения и их преобразования - номер 169, страница 186.

№169 (с. 186)
Условие. №169 (с. 186)
скриншот условия
Алгебра, 11 класс Учебник, авторы: Арефьева Ирина Глебовна, Пирютко Ольга Николаевна, издательство Народная асвета, Минск, 2020, бирюзового цвета, страница 186, номер 169, Условие

169. Выполните действия:

a) $\frac{x}{1-x} - \frac{1-x^2}{x^2+1} \cdot \left(\frac{1}{x^2-2x+1} - \frac{x}{1-x^2}\right);$

б) $\left(\frac{1}{x+2} + \frac{5}{x^2-x-6} + \frac{2x}{x-3}\right) : \frac{2x+1}{x} - \frac{x-9}{6-2x}.$

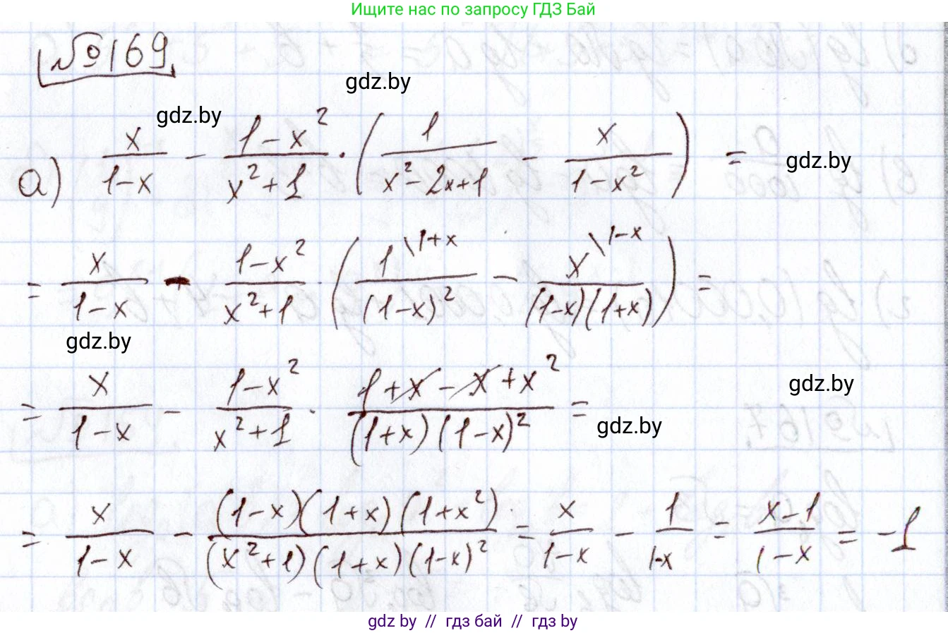
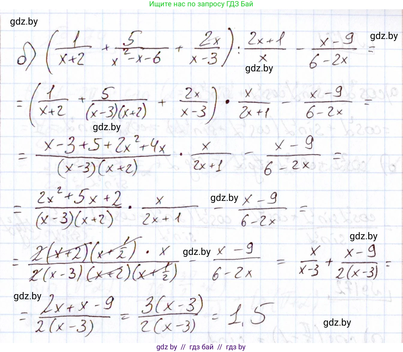
Решение. №169 (с. 186)
Алгебра, 11 класс Учебник, авторы: Арефьева Ирина Глебовна, Пирютко Ольга Николаевна, издательство Народная асвета, Минск, 2020, бирюзового цвета, страница 186, номер 169, Решение Алгебра, 11 класс Учебник, авторы: Арефьева Ирина Глебовна, Пирютко Ольга Николаевна, издательство Народная асвета, Минск, 2020, бирюзового цвета, страница 186, номер 169, Решение (продолжение 2)
Решение 2. №169 (с. 186)

а) $ \frac{x}{1-x} - \frac{1-x^2}{x^2+1} \cdot \left( \frac{1}{x^2-2x+1} - \frac{x}{1-x^2} \right) $

Решим по действиям. Сначала выполним действие в скобках.

1. Упростим выражение в скобках: $ \frac{1}{x^2-2x+1} - \frac{x}{1-x^2} $. Для этого разложим знаменатели на множители, используя формулы сокращенного умножения: квадрат разности $ a^2-2ab+b^2=(a-b)^2 $ и разность квадратов $ a^2-b^2=(a-b)(a+b) $.

$ x^2-2x+1 = (x-1)^2 = (-(1-x))^2 = (1-x)^2 $

$ 1-x^2 = (1-x)(1+x) $

Подставим разложенные знаменатели в выражение:

$ \frac{1}{(1-x)^2} - \frac{x}{(1-x)(1+x)} $

Приведем дроби к общему знаменателю $ (1-x)^2(1+x) $:

$ \frac{1(1+x)}{(1-x)^2(1+x)} - \frac{x(1-x)}{(1-x)^2(1+x)} = \frac{1+x - x(1-x)}{(1-x)^2(1+x)} = \frac{1+x-x+x^2}{(1-x)^2(1+x)} = \frac{1+x^2}{(1-x)^2(1+x)} $

2. Теперь выполним умножение:

$ \frac{1-x^2}{x^2+1} \cdot \frac{1+x^2}{(1-x)^2(1+x)} $

Разложим числитель первой дроби на множители и сократим одинаковые множители в числителях и знаменателях:

$ \frac{(1-x)(1+x)}{x^2+1} \cdot \frac{1+x^2}{(1-x)^2(1+x)} = \frac{\cancel{(1-x)}\cancel{(1+x)}}{\cancel{x^2+1}} \cdot \frac{\cancel{1+x^2}}{(1-x)^{\cancel{2}}\cancel{(1+x)}} = \frac{1}{1-x} $

3. Выполним последнее действие — вычитание:

$ \frac{x}{1-x} - \frac{1}{1-x} = \frac{x-1}{1-x} $

Вынесем в числителе -1 за скобки, чтобы сократить дробь:

$ \frac{-(1-x)}{1-x} = -1 $

Ответ: $ -1 $

б) $ \left( \frac{1}{x+2} + \frac{5}{x^2-x-6} + \frac{2x}{x-3} \right) : \frac{2x+1}{x} - \frac{x-9}{6-2x} $

Решим по действиям. Сначала выполним действие в скобках.

1. Упростим выражение в скобках: $ \frac{1}{x+2} + \frac{5}{x^2-x-6} + \frac{2x}{x-3} $. Для этого разложим знаменатель $ x^2-x-6 $ на множители. Решим квадратное уравнение $ x^2-x-6=0 $. По теореме Виета, корни $ x_1=3 $ и $ x_2=-2 $. Тогда $ x^2-x-6 = (x-3)(x+2) $.

Подставим разложенный знаменатель в выражение:

$ \frac{1}{x+2} + \frac{5}{(x-3)(x+2)} + \frac{2x}{x-3} $

Приводим дроби к общему знаменателю $ (x-3)(x+2) $:

$ \frac{1(x-3)}{(x-3)(x+2)} + \frac{5}{(x-3)(x+2)} + \frac{2x(x+2)}{(x-3)(x+2)} = \frac{x-3+5+2x^2+4x}{(x-3)(x+2)} = \frac{2x^2+5x+2}{(x-3)(x+2)} $

Разложим числитель $ 2x^2+5x+2 $ на множители. Решим уравнение $ 2x^2+5x+2=0 $. Дискриминант $ D = 5^2 - 4 \cdot 2 \cdot 2 = 25 - 16 = 9 $. Корни $ x_1 = \frac{-5+3}{4} = -\frac{1}{2} $ и $ x_2 = \frac{-5-3}{4} = -2 $. Тогда $ 2x^2+5x+2 = 2(x+\frac{1}{2})(x+2) = (2x+1)(x+2) $.

Выражение в скобках равно:

$ \frac{(2x+1)(x+2)}{(x-3)(x+2)} = \frac{2x+1}{x-3} $

2. Теперь выполним деление. Деление на дробь эквивалентно умножению на перевернутую дробь:

$ \frac{2x+1}{x-3} : \frac{2x+1}{x} = \frac{2x+1}{x-3} \cdot \frac{x}{2x+1} = \frac{x}{x-3} $

3. Выполним вычитание:

$ \frac{x}{x-3} - \frac{x-9}{6-2x} $

Преобразуем знаменатель второй дроби: $ 6-2x = -2(x-3) $. Знак минуса перед знаменателем можно перенести перед дробью.

$ \frac{x}{x-3} - \frac{x-9}{-2(x-3)} = \frac{x}{x-3} + \frac{x-9}{2(x-3)} $

Приводим к общему знаменателю $ 2(x-3) $:

$ \frac{2x}{2(x-3)} + \frac{x-9}{2(x-3)} = \frac{2x+x-9}{2(x-3)} = \frac{3x-9}{2(x-3)} $

Вынесем в числителе 3 за скобки и сократим дробь:

$ \frac{3(x-3)}{2(x-3)} = \frac{3}{2} $

Ответ: $ \frac{3}{2} $

Помогло решение? Оставьте отзыв в комментариях ниже.

Присоединяйтесь к Телеграм-группе @gdz_by_belarus

Присоединиться

Мы подготовили для вас ответ c подробным объяснением домашего задания по алгебре за 11 класс, для упражнения номер 169 расположенного на странице 186 к учебнику 2020 года издания для учащихся школ и гимназий.

Теперь на нашем сайте ГДЗ.ТОП вы всегда легко и бесплатно найдёте условие с правильным ответом на вопрос «Как решить ДЗ» и «Как сделать» задание по алгебре к упражнению №169 (с. 186), авторов: Арефьева (Ирина Глебовна), Пирютко (Ольга Николаевна), учебного пособия издательства Народная асвета.