Номер 242, страница 196 - гдз по алгебре 11 класс учебник Арефьева, Пирютко

Алгебра, 11 класс Учебник, авторы: Арефьева Ирина Глебовна, Пирютко Ольга Николаевна, издательство Народная асвета, Минск, 2020, бирюзового цвета

Авторы: Арефьева И. Г., Пирютко О. Н.

Тип: Учебник

Издательство: Народная асвета

Год издания: 2020 - 2026

Цвет обложки: бирюзовый, зелёный с графиком

ISBN: 978-985-03-3165-6

Популярные ГДЗ в 11 классе

Упражнения для итогового повторения. Выражения и их преобразования - номер 242, страница 196.

№242 (с. 196)
Условие. №242 (с. 196)
скриншот условия
Алгебра, 11 класс Учебник, авторы: Арефьева Ирина Глебовна, Пирютко Ольга Николаевна, издательство Народная асвета, Минск, 2020, бирюзового цвета, страница 196, номер 242, Условие

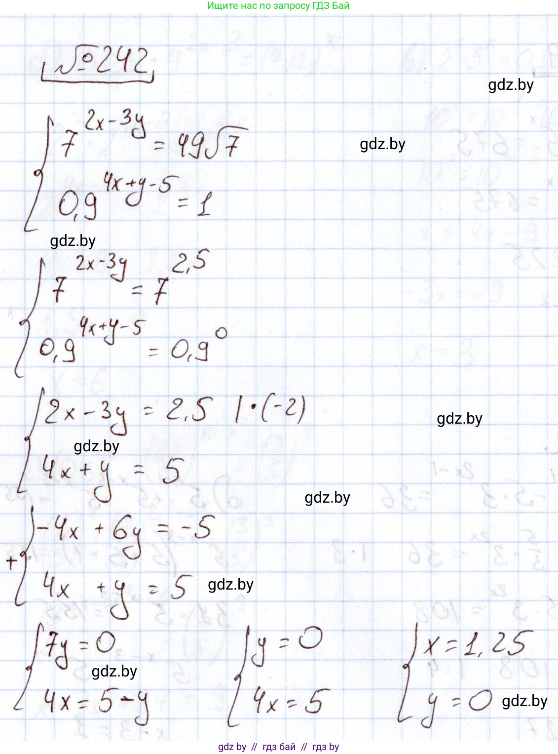
242. Решите систему уравнений $\begin{cases} 7^{2x-3y} = 49\sqrt{7}, \\ 0,9^{4x+y-5} = 1. \end{cases}$

Решение. №242 (с. 196)
Алгебра, 11 класс Учебник, авторы: Арефьева Ирина Глебовна, Пирютко Ольга Николаевна, издательство Народная асвета, Минск, 2020, бирюзового цвета, страница 196, номер 242, Решение
Решение 2. №242 (с. 196)

Для решения данной системы уравнений необходимо преобразовать каждое из них к более простому виду. В результате мы получим систему линейных уравнений, которую затем решим.

Исходная система: $$ \begin{cases} 7^{2x-3y} = 49\sqrt{7} \\ 0.9^{4x+y-5} = 1 \end{cases} $$

1. Преобразование первого уравнения

Рассмотрим первое уравнение: $7^{2x-3y} = 49\sqrt{7}$.

Чтобы его решить, приведем правую часть к основанию 7. Мы знаем, что $49 = 7^2$ и $\sqrt{7} = 7^{1/2}$.

Используя свойство степеней $a^m \cdot a^n = a^{m+n}$, получаем:

$49\sqrt{7} = 7^2 \cdot 7^{1/2} = 7^{2 + 1/2} = 7^{5/2}$.

Теперь уравнение выглядит так: $7^{2x-3y} = 7^{5/2}$.

Так как основания степеней равны, мы можем приравнять их показатели:

$2x - 3y = \frac{5}{2}$

Для удобства дальнейших вычислений умножим обе части уравнения на 2, чтобы избавиться от дроби:

$4x - 6y = 5$.

2. Преобразование второго уравнения

Рассмотрим второе уравнение: $0.9^{4x+y-5} = 1$.

Любое число (кроме нуля) в нулевой степени равно единице. Поэтому мы можем представить 1 как $0.9^0$.

Уравнение принимает вид: $0.9^{4x+y-5} = 0.9^0$.

Приравниваем показатели степеней, поскольку основания одинаковы:

$4x + y - 5 = 0$

Перенесем 5 в правую часть:

$4x + y = 5$.

3. Решение системы линейных уравнений

В результате преобразований мы получили систему из двух линейных уравнений:

$$ \begin{cases} 4x - 6y = 5 \\ 4x + y = 5 \end{cases} $$

Эту систему удобно решить методом алгебраического сложения (в данном случае вычитания). Вычтем первое уравнение из второго:

$(4x + y) - (4x - 6y) = 5 - 5$

Раскроем скобки:

$4x + y - 4x + 6y = 0$

$7y = 0$

Отсюда находим $y$:

$y = 0$

Теперь подставим найденное значение $y=0$ в любое из уравнений системы, например, во второе ($4x + y = 5$):

$4x + 0 = 5$

$4x = 5$

Отсюда находим $x$:

$x = \frac{5}{4}$

Таким образом, решением системы является пара чисел $(\frac{5}{4}; 0)$.

Ответ: $(\frac{5}{4}; 0)$.

Помогло решение? Оставьте отзыв в комментариях ниже.

Присоединяйтесь к Телеграм-группе @gdz_by_belarus

Присоединиться

Мы подготовили для вас ответ c подробным объяснением домашего задания по алгебре за 11 класс, для упражнения номер 242 расположенного на странице 196 к учебнику 2020 года издания для учащихся школ и гимназий.

Теперь на нашем сайте ГДЗ.ТОП вы всегда легко и бесплатно найдёте условие с правильным ответом на вопрос «Как решить ДЗ» и «Как сделать» задание по алгебре к упражнению №242 (с. 196), авторов: Арефьева (Ирина Глебовна), Пирютко (Ольга Николаевна), учебного пособия издательства Народная асвета.