Номер 246, страница 196 - гдз по алгебре 11 класс учебник Арефьева, Пирютко

Алгебра, 11 класс Учебник, авторы: Арефьева Ирина Глебовна, Пирютко Ольга Николаевна, издательство Народная асвета, Минск, 2020, бирюзового цвета

Авторы: Арефьева И. Г., Пирютко О. Н.

Тип: Учебник

Издательство: Народная асвета

Год издания: 2020 - 2026

Цвет обложки: бирюзовый, зелёный с графиком

ISBN: 978-985-03-3165-6

Популярные ГДЗ в 11 классе

Упражнения для итогового повторения. Выражения и их преобразования - номер 246, страница 196.

№246 (с. 196)
Условие. №246 (с. 196)
скриншот условия
Алгебра, 11 класс Учебник, авторы: Арефьева Ирина Глебовна, Пирютко Ольга Николаевна, издательство Народная асвета, Минск, 2020, бирюзового цвета, страница 196, номер 246, Условие

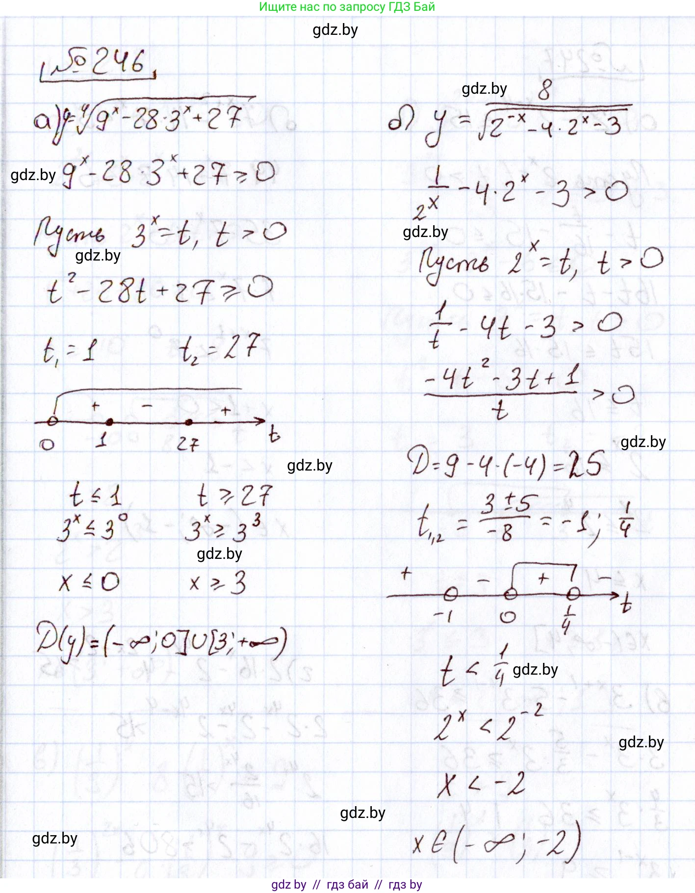
246. Найдите область определения функции:

а) $y = \sqrt[4]{9^x - 28 \cdot 3^x + 27}$;

б) $y = \frac{8}{\sqrt{2^{-x} - 4 \cdot 2^x - 3}}$.

Решение. №246 (с. 196)
Алгебра, 11 класс Учебник, авторы: Арефьева Ирина Глебовна, Пирютко Ольга Николаевна, издательство Народная асвета, Минск, 2020, бирюзового цвета, страница 196, номер 246, Решение
Решение 2. №246 (с. 196)

а) Область определения функции $y = \sqrt[4]{9^x - 28 \cdot 3^x + 27}$ находится из условия, что подкоренное выражение корня четной степени (в данном случае, четвертой) должно быть неотрицательным.

Запишем и решим соответствующее неравенство:

$9^x - 28 \cdot 3^x + 27 \ge 0$

Поскольку $9^x = (3^2)^x = (3^x)^2$, введем замену переменной: пусть $t = 3^x$. Так как показательная функция $y=3^x$ принимает только положительные значения, то $t > 0$.

Неравенство принимает вид квадратного неравенства относительно $t$:

$t^2 - 28t + 27 \ge 0$

Найдем корни квадратного уравнения $t^2 - 28t + 27 = 0$. По теореме Виета, корни уравнения равны $t_1 = 1$ и $t_2 = 27$.

Графиком функции $f(t) = t^2 - 28t + 27$ является парабола, ветви которой направлены вверх. Следовательно, неравенство $f(t) \ge 0$ выполняется при $t \le 1$ или $t \ge 27$.

С учетом ограничения $t > 0$, получаем совокупность неравенств:

$\left[ \begin{gathered} 0 < t \le 1, \\ t \ge 27. \end{gathered} \right.$

Выполним обратную замену, вернувшись к переменной $x$:

1) $0 < 3^x \le 1$. Это неравенство равносильно $3^x \le 1$. Представим $1$ как $3^0$. Получаем $3^x \le 3^0$. Так как основание степени $3 > 1$, показательная функция является возрастающей, поэтому можно перейти к неравенству для показателей: $x \le 0$.

2) $3^x \ge 27$. Представим $27$ как $3^3$. Получаем $3^x \ge 3^3$. Так как основание степени $3 > 1$, то $x \ge 3$.

Объединяя полученные решения $x \le 0$ и $x \ge 3$, находим область определения исходной функции.

Ответ: $x \in (-\infty, 0] \cup [3, +\infty)$.

б) Область определения функции $y = \frac{8}{\sqrt{2^{-x} - 4 \cdot 2^x - 3}}$ находится из условия, что подкоренное выражение, находящееся в знаменателе дроби, должно быть строго положительным (больше нуля, так как на ноль делить нельзя и извлекать корень из отрицательного числа нельзя).

Запишем и решим соответствующее неравенство:

$2^{-x} - 4 \cdot 2^x - 3 > 0$

Преобразуем $2^{-x} = \frac{1}{2^x}$ и введем замену переменной: пусть $t = 2^x$. Так как $2^x > 0$ для любого действительного $x$, то $t > 0$.

Неравенство принимает вид:

$\frac{1}{t} - 4t - 3 > 0$

Умножим обе части неравенства на $t$. Так как $t > 0$, знак неравенства не изменится:

$1 - 4t^2 - 3t > 0$

Умножим на $-1$ и сменим знак неравенства:

$4t^2 + 3t - 1 < 0$

Найдем корни квадратного уравнения $4t^2 + 3t - 1 = 0$.

Дискриминант $D = b^2 - 4ac = 3^2 - 4 \cdot 4 \cdot (-1) = 9 + 16 = 25$.

Корни уравнения: $t_1 = \frac{-b - \sqrt{D}}{2a} = \frac{-3 - 5}{2 \cdot 4} = -1$ и $t_2 = \frac{-b + \sqrt{D}}{2a} = \frac{-3 + 5}{2 \cdot 4} = \frac{2}{8} = \frac{1}{4}$.

Графиком функции $f(t) = 4t^2 + 3t - 1$ является парабола с ветвями вверх. Следовательно, неравенство $f(t) < 0$ выполняется на интервале между корнями: $-1 < t < \frac{1}{4}$.

С учетом ограничения $t > 0$, получаем двойное неравенство: $0 < t < \frac{1}{4}$.

Выполним обратную замену:

$0 < 2^x < \frac{1}{4}$

Неравенство $0 < 2^x$ выполняется всегда. Решим неравенство $2^x < \frac{1}{4}$.

$2^x < 2^{-2}$

Так как основание степени $2 > 1$, показательная функция является возрастающей, поэтому переходим к неравенству для показателей: $x < -2$.

Таким образом, область определения исходной функции есть интервал $(-\infty, -2)$.

Ответ: $x \in (-\infty, -2)$.

Помогло решение? Оставьте отзыв в комментариях ниже.

Присоединяйтесь к Телеграм-группе @gdz_by_belarus

Присоединиться

Мы подготовили для вас ответ c подробным объяснением домашего задания по алгебре за 11 класс, для упражнения номер 246 расположенного на странице 196 к учебнику 2020 года издания для учащихся школ и гимназий.

Теперь на нашем сайте ГДЗ.ТОП вы всегда легко и бесплатно найдёте условие с правильным ответом на вопрос «Как решить ДЗ» и «Как сделать» задание по алгебре к упражнению №246 (с. 196), авторов: Арефьева (Ирина Глебовна), Пирютко (Ольга Николаевна), учебного пособия издательства Народная асвета.