Номер 253, страница 197 - гдз по алгебре 11 класс учебник Арефьева, Пирютко

Алгебра, 11 класс Учебник, авторы: Арефьева Ирина Глебовна, Пирютко Ольга Николаевна, издательство Народная асвета, Минск, 2020, бирюзового цвета

Авторы: Арефьева И. Г., Пирютко О. Н.

Тип: Учебник

Издательство: Народная асвета

Год издания: 2020 - 2026

Цвет обложки: бирюзовый, зелёный с графиком

ISBN: 978-985-03-3165-6

Популярные ГДЗ в 11 классе

Упражнения для итогового повторения. Выражения и их преобразования - номер 253, страница 197.

№253 (с. 197)
Условие. №253 (с. 197)
скриншот условия
Алгебра, 11 класс Учебник, авторы: Арефьева Ирина Глебовна, Пирютко Ольга Николаевна, издательство Народная асвета, Минск, 2020, бирюзового цвета, страница 197, номер 253, Условие

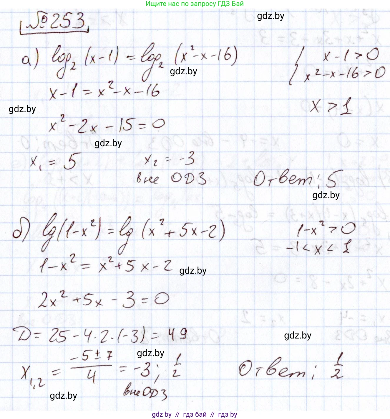
253. Найдите абсциссы точек пересечения графиков функций:

a) $y = \log_2(x-1)$ и $y = \log_2(x^2 - x - 16)$;

б) $y = \lg(1-x^2)$ и $y = \lg(x^2 + 5x - 2).$

Решение. №253 (с. 197)
Алгебра, 11 класс Учебник, авторы: Арефьева Ирина Глебовна, Пирютко Ольга Николаевна, издательство Народная асвета, Минск, 2020, бирюзового цвета, страница 197, номер 253, Решение
Решение 2. №253 (с. 197)

а) Чтобы найти абсциссы точек пересечения графиков функций $y = \log_2(x-1)$ и $y = \log_2(x^2 - x - 16)$, необходимо приравнять их правые части, так как в точках пересечения значения $y$ равны:
$\log_2(x-1) = \log_2(x^2 - x - 16)$

Так как основания логарифмов одинаковы, мы можем приравнять подлогарифмические выражения. При этом необходимо учесть область допустимых значений (ОДЗ), по которой подлогарифмические выражения должны быть строго положительными. Уравнение равносильно системе:
$ \begin{cases} x - 1 = x^2 - x - 16 \\ x - 1 > 0 \end{cases} $
Достаточно проверить выполнение только одного неравенства ($x - 1 > 0$), так как из равенства $x - 1 = x^2 - x - 16$ автоматически следует, что и второе выражение будет положительным.
Из неравенства $x - 1 > 0$ получаем условие: $x > 1$.

Теперь решим уравнение:
$x - 1 = x^2 - x - 16$
Перенесем все члены в одну сторону, чтобы получить стандартное квадратное уравнение:
$x^2 - x - x - 16 + 1 = 0$
$x^2 - 2x - 15 = 0$
Найдем корни этого уравнения по теореме Виета: сумма корней равна 2, а их произведение равно -15. Подбором находим корни:
$x_1 = 5$
$x_2 = -3$

Проверим, удовлетворяют ли найденные корни условию ОДЗ $x > 1$:
Корень $x_1 = 5$ удовлетворяет условию, так как $5 > 1$.
Корень $x_2 = -3$ не удовлетворяет условию, так как $-3 \ngtr 1$, следовательно, это посторонний корень.
Таким образом, графики функций пересекаются в одной точке, абсцисса которой равна 5.

Ответ: 5.

б) Чтобы найти абсциссы точек пересечения графиков функций $y = \lg(1 - x^2)$ и $y = \lg(x^2 + 5x - 2)$, приравняем их правые части:
$\lg(1 - x^2) = \lg(x^2 + 5x - 2)$

Это логарифмическое уравнение равносильно системе, в которой мы приравниваем подлогарифмические выражения и учитываем ОДЗ (оба выражения должны быть больше нуля).
$ \begin{cases} 1 - x^2 = x^2 + 5x - 2 \\ 1 - x^2 > 0 \end{cases} $
Решим сначала уравнение:
$1 - x^2 = x^2 + 5x - 2$
$2x^2 + 5x - 3 = 0$
Найдем корни этого квадратного уравнения с помощью дискриминанта:
$D = b^2 - 4ac = 5^2 - 4 \cdot 2 \cdot (-3) = 25 + 24 = 49 = 7^2$
$x = \frac{-b \pm \sqrt{D}}{2a} = \frac{-5 \pm 7}{2 \cdot 2} = \frac{-5 \pm 7}{4}$
Получаем два корня:
$x_1 = \frac{-5 + 7}{4} = \frac{2}{4} = \frac{1}{2}$
$x_2 = \frac{-5 - 7}{4} = \frac{-12}{4} = -3$

Теперь проверим найденные корни на соответствие ОДЗ. Достаточно проверить выполнение неравенства $1 - x^2 > 0$.
Проверяем корень $x_1 = \frac{1}{2}$:
$1 - (\frac{1}{2})^2 = 1 - \frac{1}{4} = \frac{3}{4}$. Так как $\frac{3}{4} > 0$, этот корень является решением.
Проверяем корень $x_2 = -3$:
$1 - (-3)^2 = 1 - 9 = -8$. Так как $-8 < 0$, этот корень не удовлетворяет ОДЗ и является посторонним.
Следовательно, единственная абсцисса точки пересечения равна $\frac{1}{2}$.

Ответ: $\frac{1}{2}$.

Помогло решение? Оставьте отзыв в комментариях ниже.

Присоединяйтесь к Телеграм-группе @gdz_by_belarus

Присоединиться

Мы подготовили для вас ответ c подробным объяснением домашего задания по алгебре за 11 класс, для упражнения номер 253 расположенного на странице 197 к учебнику 2020 года издания для учащихся школ и гимназий.

Теперь на нашем сайте ГДЗ.ТОП вы всегда легко и бесплатно найдёте условие с правильным ответом на вопрос «Как решить ДЗ» и «Как сделать» задание по алгебре к упражнению №253 (с. 197), авторов: Арефьева (Ирина Глебовна), Пирютко (Ольга Николаевна), учебного пособия издательства Народная асвета.