Номер 348, страница 212 - гдз по алгебре 11 класс учебник Арефьева, Пирютко

Алгебра, 11 класс Учебник, авторы: Арефьева Ирина Глебовна, Пирютко Ольга Николаевна, издательство Народная асвета, Минск, 2020, бирюзового цвета

Авторы: Арефьева И. Г., Пирютко О. Н.

Тип: Учебник

Издательство: Народная асвета

Год издания: 2020 - 2026

Цвет обложки: бирюзовый, зелёный с графиком

ISBN: 978-985-03-3165-6

Популярные ГДЗ в 11 классе

Упражнения для итогового повторения. Функции и их свойства - номер 348, страница 212.

№348 (с. 212)
Условие. №348 (с. 212)
скриншот условия
Алгебра, 11 класс Учебник, авторы: Арефьева Ирина Глебовна, Пирютко Ольга Николаевна, издательство Народная асвета, Минск, 2020, бирюзового цвета, страница 212, номер 348, Условие

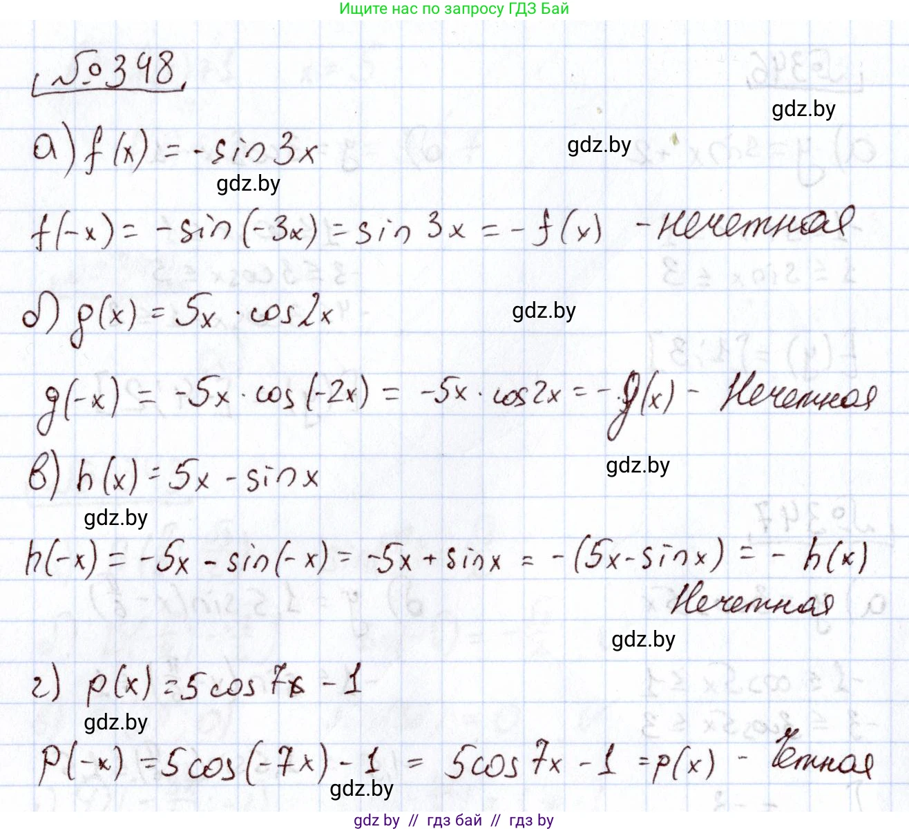
348. Исследуйте функцию на четность (нечетность):

а) $f(x) = -\sin 3x$;

б) $g(x) = 5x \cdot \cos 2x$;

в) $h(x) = 5x - \sin x$;

г) $p(x) = 5\cos 7x - 1$.

Решение. №348 (с. 212)
Алгебра, 11 класс Учебник, авторы: Арефьева Ирина Глебовна, Пирютко Ольга Николаевна, издательство Народная асвета, Минск, 2020, бирюзового цвета, страница 212, номер 348, Решение
Решение 2. №348 (с. 212)

Для определения четности или нечетности функции $y=f(x)$ необходимо проверить выполнение двух условий:

  1. Область определения функции должна быть симметрична относительно точки $x=0$.
  2. Для любого $x$ из области определения должно выполняться одно из равенств:
    • $f(-x) = f(x)$ — в этом случае функция является четной.
    • $f(-x) = -f(x)$ — в этом случае функция является нечетной.

Если ни одно из этих равенств не выполняется, функция является ни четной, ни нечетной (функцией общего вида).

Все представленные в задании функции определены на всей числовой прямой $\mathbb{R}$, которая симметрична относительно нуля. Поэтому для них достаточно проверить второе условие.

а) $f(x) = -\sin{3x}$

Найдем значение функции для аргумента $-x$:

$f(-x) = -\sin(3(-x)) = -\sin(-3x)$

Воспользуемся свойством нечетности функции синус: $\sin(-\alpha) = -\sin(\alpha)$.

$f(-x) = -(-\sin(3x)) = \sin(3x)$

Теперь сравним полученное выражение с $-f(x)$:

$-f(x) = -(-\sin(3x)) = \sin(3x)$

Поскольку выполняется равенство $f(-x) = -f(x)$, данная функция является нечетной.

Ответ: нечетная.

б) $g(x) = 5x \cdot \cos{2x}$

Найдем значение функции для аргумента $-x$:

$g(-x) = 5(-x) \cdot \cos(2(-x)) = -5x \cdot \cos(-2x)$

Воспользуемся свойством четности функции косинус: $\cos(-\alpha) = \cos(\alpha)$.

$g(-x) = -5x \cdot \cos(2x)$

Сравним полученное выражение с $-g(x)$:

$-g(x) = -(5x \cdot \cos(2x)) = -5x \cdot \cos(2x)$

Поскольку выполняется равенство $g(-x) = -g(x)$, данная функция является нечетной. (Также можно заметить, что это произведение нечетной функции $y=5x$ и четной функции $y=\cos{2x}$, что в результате дает нечетную функцию).

Ответ: нечетная.

в) $h(x) = 5x - \sin{x}$

Найдем значение функции для аргумента $-x$:

$h(-x) = 5(-x) - \sin(-x)$

Используя свойство нечетности синуса $\sin(-\alpha) = -\sin(\alpha)$, получаем:

$h(-x) = -5x - (-\sin x) = -5x + \sin x$

Сравним полученное выражение с $-h(x)$:

$-h(x) = -(5x - \sin x) = -5x + \sin x$

Поскольку выполняется равенство $h(-x) = -h(x)$, данная функция является нечетной. (Также можно заметить, что это разность двух нечетных функций $y=5x$ и $y=\sin x$, что в результате дает нечетную функцию).

Ответ: нечетная.

г) $p(x) = 5\cos{7x} - 1$

Найдем значение функции для аргумента $-x$:

$p(-x) = 5\cos(7(-x)) - 1 = 5\cos(-7x) - 1$

Воспользуемся свойством четности функции косинус: $\cos(-\alpha) = \cos(\alpha)$.

$p(-x) = 5\cos(7x) - 1$

Сравним полученное выражение с $p(x)$:

$p(x) = 5\cos(7x) - 1$

Поскольку выполняется равенство $p(-x) = p(x)$, данная функция является четной. (Также можно заметить, что это разность двух четных функций $y=5\cos{7x}$ и $y=1$, что в результате дает четную функцию).

Ответ: четная.

Помогло решение? Оставьте отзыв в комментариях ниже.

Присоединяйтесь к Телеграм-группе @gdz_by_belarus

Присоединиться

Мы подготовили для вас ответ c подробным объяснением домашего задания по алгебре за 11 класс, для упражнения номер 348 расположенного на странице 212 к учебнику 2020 года издания для учащихся школ и гимназий.

Теперь на нашем сайте ГДЗ.ТОП вы всегда легко и бесплатно найдёте условие с правильным ответом на вопрос «Как решить ДЗ» и «Как сделать» задание по алгебре к упражнению №348 (с. 212), авторов: Арефьева (Ирина Глебовна), Пирютко (Ольга Николаевна), учебного пособия издательства Народная асвета.