Номер 354, страница 213 - гдз по алгебре 11 класс учебник Арефьева, Пирютко

Алгебра, 11 класс Учебник, авторы: Арефьева Ирина Глебовна, Пирютко Ольга Николаевна, издательство Народная асвета, Минск, 2020, бирюзового цвета

Авторы: Арефьева И. Г., Пирютко О. Н.

Тип: Учебник

Издательство: Народная асвета

Год издания: 2020 - 2026

Цвет обложки: бирюзовый, зелёный с графиком

ISBN: 978-985-03-3165-6

Популярные ГДЗ в 11 классе

Упражнения для итогового повторения. Функции и их свойства - номер 354, страница 213.

№354 (с. 213)
Условие. №354 (с. 213)
скриншот условия
Алгебра, 11 класс Учебник, авторы: Арефьева Ирина Глебовна, Пирютко Ольга Николаевна, издательство Народная асвета, Минск, 2020, бирюзового цвета, страница 213, номер 354, Условие

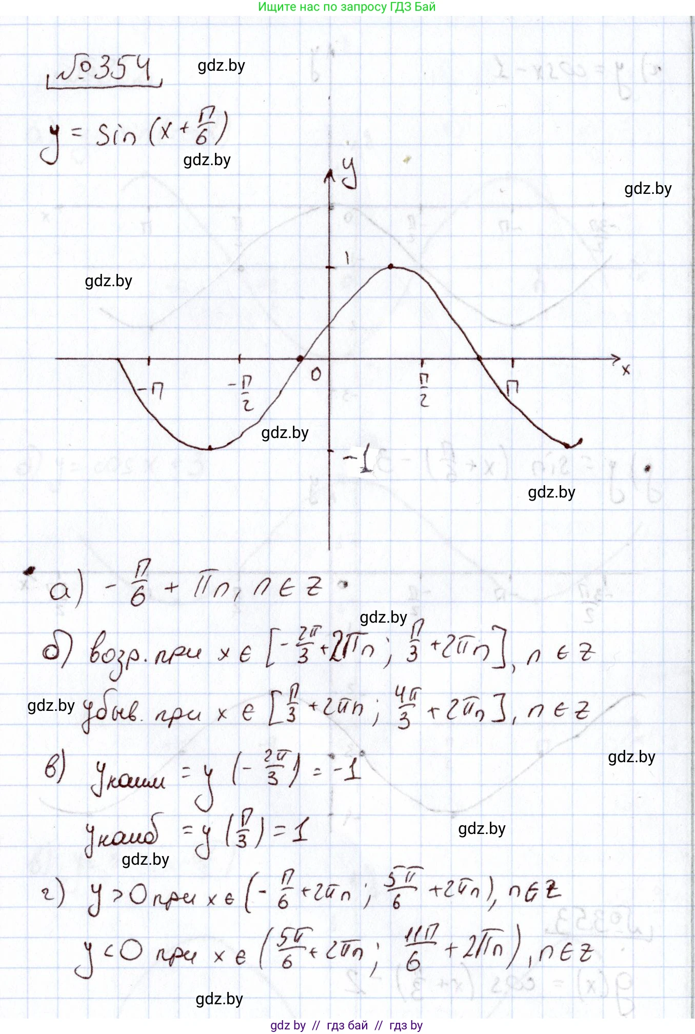
354. Постройте график функции $y = \sin \left(x + \frac{\pi}{6}\right)$. Пользуясь графиком, определите:

а) нули функции;

б) промежутки монотонности функции;

в) наибольшее и наименьшее значения функции и значения аргумента, при которых они достигаются;

г) промежутки знакопостоянства функции.

Решение. №354 (с. 213)
Алгебра, 11 класс Учебник, авторы: Арефьева Ирина Глебовна, Пирютко Ольга Николаевна, издательство Народная асвета, Минск, 2020, бирюзового цвета, страница 213, номер 354, Решение
Решение 2. №354 (с. 213)

График функции $y = \sin(x + \frac{\pi}{6})$ строится на основе графика функции $y = \sin(x)$ путем его сдвига. Данное преобразование является параллельным переносом графика $y = \sin(x)$ вдоль оси абсцисс (оси Ox) влево на $\frac{\pi}{6}$ единиц. Каждая точка $(x_0, y_0)$ на графике $y = \sin(x)$ перемещается в точку $(x_0 - \frac{\pi}{6}, y_0)$ на новом графике. Период функции при этом не изменяется и остается равным $2\pi$. Ключевые точки синусоиды $y = \sin(x)$ на одном периоде $[0, 2\pi]$ смещаются следующим образом:

  • Точка $(0, 0)$ смещается в точку $(-\frac{\pi}{6}, 0)$.
  • Точка максимума $(\frac{\pi}{2}, 1)$ смещается в точку $(\frac{\pi}{2} - \frac{\pi}{6}, 1) = (\frac{\pi}{3}, 1)$.
  • Точка пересечения с осью Ox $(\pi, 0)$ смещается в точку $(\pi - \frac{\pi}{6}, 0) = (\frac{5\pi}{6}, 0)$.
  • Точка минимума $(\frac{3\pi}{2}, -1)$ смещается в точку $(\frac{3\pi}{2} - \frac{\pi}{6}, -1) = (\frac{4\pi}{3}, -1)$.
  • Конец периода $(2\pi, 0)$ смещается в точку $(2\pi - \frac{\pi}{6}, 0) = (\frac{11\pi}{6}, 0)$.

Используя эти точки и зная форму синусоиды, можно построить график. Далее, анализируя полученный график, определим его свойства.

а) нули функции;

Нули функции — это значения $x$, при которых $y=0$. На графике это точки пересечения с осью абсцисс. Для их нахождения решим уравнение: $ \sin(x + \frac{\pi}{6}) = 0 $ Это выполняется, когда аргумент синуса равен $k\pi$, где $k$ — любое целое число. $ x + \frac{\pi}{6} = k\pi, \quad k \in \mathbb{Z} $ $ x = -\frac{\pi}{6} + k\pi, \quad k \in \mathbb{Z} $
Ответ: $x = -\frac{\pi}{6} + k\pi, k \in \mathbb{Z}$.

б) промежутки монотонности функции;

Из графика видно, что функция периодически возрастает и убывает. Возрастание происходит на участках от точки минимума до точки максимума. Минимум достигается при $x = -\frac{2\pi}{3} + 2k\pi$, максимум — при $x = \frac{\pi}{3} + 2k\pi$. Значит, функция возрастает на промежутках $ [-\frac{2\pi}{3} + 2k\pi, \frac{\pi}{3} + 2k\pi], k \in \mathbb{Z} $. Убывание происходит на участках от точки максимума до точки минимума. Максимум достигается при $x = \frac{\pi}{3} + 2k\pi$, а следующий минимум — при $x = -\frac{2\pi}{3} + 2(k+1)\pi = \frac{4\pi}{3} + 2k\pi$. Значит, функция убывает на промежутках $ [\frac{\pi}{3} + 2k\pi, \frac{4\pi}{3} + 2k\pi], k \in \mathbb{Z} $.
Ответ: функция возрастает на промежутках $ [-\frac{2\pi}{3} + 2k\pi, \frac{\pi}{3} + 2k\pi], k \in \mathbb{Z} $; функция убывает на промежутках $ [\frac{\pi}{3} + 2k\pi, \frac{4\pi}{3} + 2k\pi], k \in \mathbb{Z} $.

в) наибольшее и наименьшее значения функции и значения аргумента, при которых они достигаются;

Наибольшее значение функции синус равно 1. На графике это вершины "волн". $y_{max} = 1$ достигается при $ \sin(x + \frac{\pi}{6}) = 1 $. $ x + \frac{\pi}{6} = \frac{\pi}{2} + 2k\pi \implies x = \frac{\pi}{3} + 2k\pi, k \in \mathbb{Z} $. Наименьшее значение функции синус равно -1. На графике это нижние точки "впадин". $y_{min} = -1$ достигается при $ \sin(x + \frac{\pi}{6}) = -1 $. $ x + \frac{\pi}{6} = -\frac{\pi}{2} + 2k\pi \implies x = -\frac{2\pi}{3} + 2k\pi, k \in \mathbb{Z} $.
Ответ: наибольшее значение $y_{max} = 1$ достигается при $x = \frac{\pi}{3} + 2k\pi, k \in \mathbb{Z}$; наименьшее значение $y_{min} = -1$ достигается при $x = -\frac{2\pi}{3} + 2k\pi, k \in \mathbb{Z}$.

г) промежутки знакопостоянства функции.

Промежутки знакопостоянства — это интервалы, где функция положительна ($y>0$) или отрицательна ($y<0$). Функция положительна, когда ее график находится выше оси Ox. $ \sin(x + \frac{\pi}{6}) > 0 $ $ 2k\pi < x + \frac{\pi}{6} < \pi + 2k\pi \implies -\frac{\pi}{6} + 2k\pi < x < \frac{5\pi}{6} + 2k\pi, k \in \mathbb{Z} $. Функция отрицательна, когда ее график находится ниже оси Ox. $ \sin(x + \frac{\pi}{6}) < 0 $ $ \pi + 2k\pi < x + \frac{\pi}{6} < 2\pi + 2k\pi \implies \frac{5\pi}{6} + 2k\pi < x < \frac{11\pi}{6} + 2k\pi, k \in \mathbb{Z} $.
Ответ: функция положительна на интервалах $ (-\frac{\pi}{6} + 2k\pi, \frac{5\pi}{6} + 2k\pi), k \in \mathbb{Z} $; функция отрицательна на интервалах $ (\frac{5\pi}{6} + 2k\pi, \frac{11\pi}{6} + 2k\pi), k \in \mathbb{Z} $.

Помогло решение? Оставьте отзыв в комментариях ниже.

Присоединяйтесь к Телеграм-группе @gdz_by_belarus

Присоединиться

Мы подготовили для вас ответ c подробным объяснением домашего задания по алгебре за 11 класс, для упражнения номер 354 расположенного на странице 213 к учебнику 2020 года издания для учащихся школ и гимназий.

Теперь на нашем сайте ГДЗ.ТОП вы всегда легко и бесплатно найдёте условие с правильным ответом на вопрос «Как решить ДЗ» и «Как сделать» задание по алгебре к упражнению №354 (с. 213), авторов: Арефьева (Ирина Глебовна), Пирютко (Ольга Николаевна), учебного пособия издательства Народная асвета.